水稻(Oryza sativa)栽培品种叶片草酸盐积累的代谢多样性分析和全基因组评估。

IF 1.1 4区 生物学 Q4 BIOTECHNOLOGY & APPLIED MICROBIOLOGY
Atsuko Miyagi, Nobuhiro Tanaka, Matthew Shenton, Kaworu Ebana, Satoshi Ohkubo, Shunsuke Adachi, Taiichiro Ookawa, Maki Kawai-Yamada
{"title":"水稻(Oryza sativa)栽培品种叶片草酸盐积累的代谢多样性分析和全基因组评估。","authors":"Atsuko Miyagi, Nobuhiro Tanaka, Matthew Shenton, Kaworu Ebana, Satoshi Ohkubo, Shunsuke Adachi, Taiichiro Ookawa, Maki Kawai-Yamada","doi":"10.5511/plantbiotechnology.23.1025a","DOIUrl":null,"url":null,"abstract":"<p><p>Soluble oxalate accumulates in rice leaves, and it causes mineral deficiency and urinary syndrome in livestock that consume the leaves. In our previous study, we found that the oxalate content was higher in the leaves of Koshihikari (<i>japonica</i> type cultivar) than in those of Takanari (<i>indica</i> type cultivar). This difference was seen even when the two cultivars were grown under a high CO<sub>2</sub> concentration, which inhibits oxalate synthesis via photorespiration, suggesting that the difference resulted from genetic factors rather than environmental factors. To clarify whether genetic factors affect the oxalate content of rice leaves, we measured the contents of oxalate and oxalate-related organic acids in the leaves of various rice cultivars the Rice Core Collection (WRC) and Japan Rice Core Collection (JRC) by capillary electrophoresis-mass spectrometry. Results showed that <i>japonica</i> type cultivars tended to accumulate more oxalate than <i>aus</i> or <i>indica</i> type cultivars. Correlation analysis revealed a positive correlation between oxalate accumulation and the citrate content, suggesting that the isocitrate pathway is involved in oxalate accumulation. On the other hand, a genome-wide association study for the oxalate content of the WRC and JRC cultivars did not reveal significant loci directly related to oxalate accumulation. This indicates that the combination of various loci may affect the oxalate contents of rice leaves.</p>","PeriodicalId":20411,"journal":{"name":"Plant Biotechnology","volume":"41 1","pages":"1-7"},"PeriodicalIF":1.1000,"publicationDate":"2024-03-25","publicationTypes":"Journal Article","fieldsOfStudy":null,"isOpenAccess":false,"openAccessPdf":"https://www.ncbi.nlm.nih.gov/pmc/articles/PMC11500591/pdf/","citationCount":"0","resultStr":"{\"title\":\"Metabolic diversity analysis and genome wide assessment of oxalate accumulation in the leaves of rice (<i>Oryza sativa</i>) cultivars.\",\"authors\":\"Atsuko Miyagi, Nobuhiro Tanaka, Matthew Shenton, Kaworu Ebana, Satoshi Ohkubo, Shunsuke Adachi, Taiichiro Ookawa, Maki Kawai-Yamada\",\"doi\":\"10.5511/plantbiotechnology.23.1025a\",\"DOIUrl\":null,\"url\":null,\"abstract\":\"<p><p>Soluble oxalate accumulates in rice leaves, and it causes mineral deficiency and urinary syndrome in livestock that consume the leaves. In our previous study, we found that the oxalate content was higher in the leaves of Koshihikari (<i>japonica</i> type cultivar) than in those of Takanari (<i>indica</i> type cultivar). This difference was seen even when the two cultivars were grown under a high CO<sub>2</sub> concentration, which inhibits oxalate synthesis via photorespiration, suggesting that the difference resulted from genetic factors rather than environmental factors. To clarify whether genetic factors affect the oxalate content of rice leaves, we measured the contents of oxalate and oxalate-related organic acids in the leaves of various rice cultivars the Rice Core Collection (WRC) and Japan Rice Core Collection (JRC) by capillary electrophoresis-mass spectrometry. Results showed that <i>japonica</i> type cultivars tended to accumulate more oxalate than <i>aus</i> or <i>indica</i> type cultivars. Correlation analysis revealed a positive correlation between oxalate accumulation and the citrate content, suggesting that the isocitrate pathway is involved in oxalate accumulation. On the other hand, a genome-wide association study for the oxalate content of the WRC and JRC cultivars did not reveal significant loci directly related to oxalate accumulation. This indicates that the combination of various loci may affect the oxalate contents of rice leaves.</p>\",\"PeriodicalId\":20411,\"journal\":{\"name\":\"Plant Biotechnology\",\"volume\":\"41 1\",\"pages\":\"1-7\"},\"PeriodicalIF\":1.1000,\"publicationDate\":\"2024-03-25\",\"publicationTypes\":\"Journal Article\",\"fieldsOfStudy\":null,\"isOpenAccess\":false,\"openAccessPdf\":\"https://www.ncbi.nlm.nih.gov/pmc/articles/PMC11500591/pdf/\",\"citationCount\":\"0\",\"resultStr\":null,\"platform\":\"Semanticscholar\",\"paperid\":null,\"PeriodicalName\":\"Plant Biotechnology\",\"FirstCategoryId\":\"5\",\"ListUrlMain\":\"https://doi.org/10.5511/plantbiotechnology.23.1025a\",\"RegionNum\":4,\"RegionCategory\":\"生物学\",\"ArticlePicture\":[],\"TitleCN\":null,\"AbstractTextCN\":null,\"PMCID\":null,\"EPubDate\":\"\",\"PubModel\":\"\",\"JCR\":\"Q4\",\"JCRName\":\"BIOTECHNOLOGY & APPLIED MICROBIOLOGY\",\"Score\":null,\"Total\":0}","platform":"Semanticscholar","paperid":null,"PeriodicalName":"Plant Biotechnology","FirstCategoryId":"5","ListUrlMain":"https://doi.org/10.5511/plantbiotechnology.23.1025a","RegionNum":4,"RegionCategory":"生物学","ArticlePicture":[],"TitleCN":null,"AbstractTextCN":null,"PMCID":null,"EPubDate":"","PubModel":"","JCR":"Q4","JCRName":"BIOTECHNOLOGY & APPLIED MICROBIOLOGY","Score":null,"Total":0}
引用次数: 0

摘要

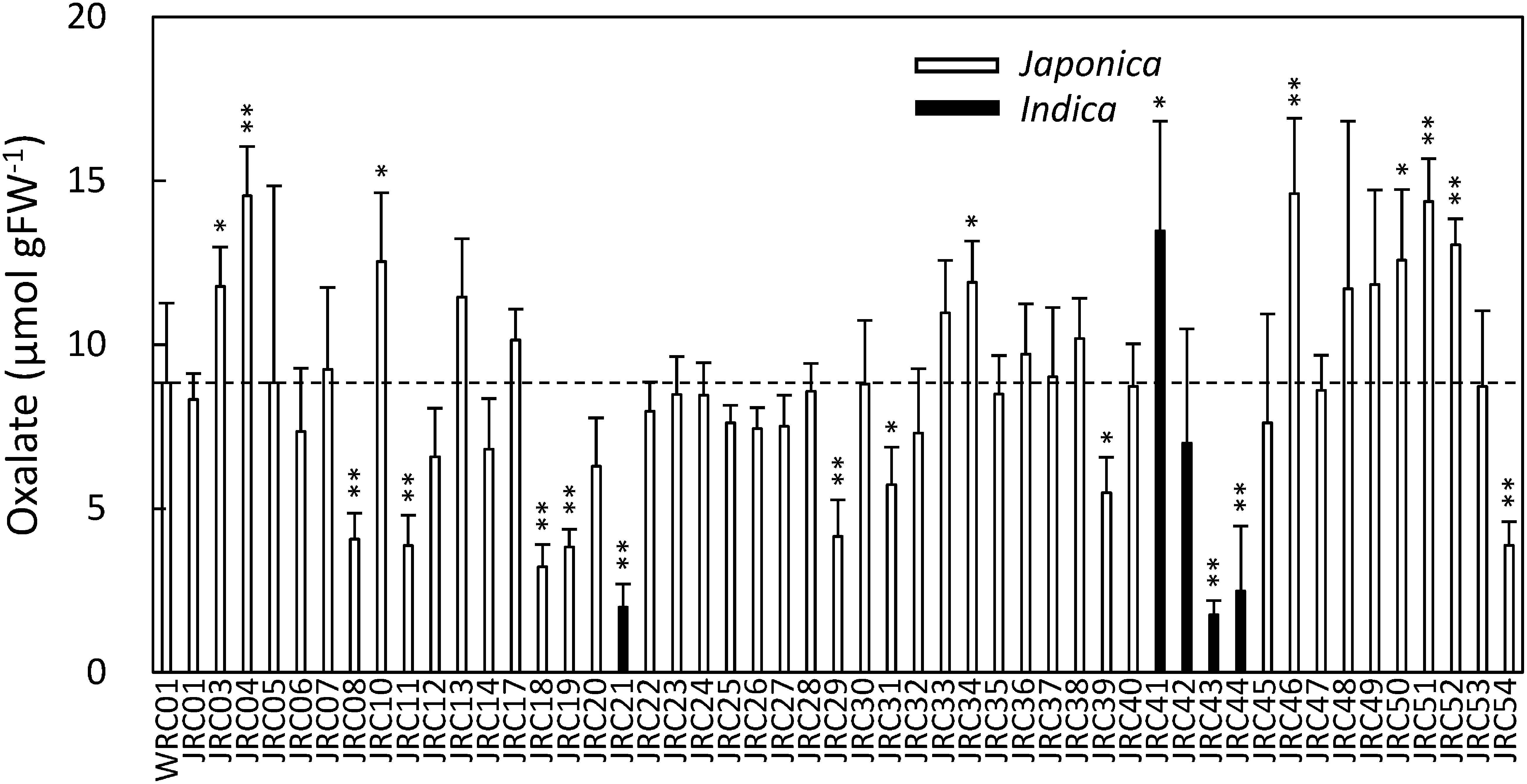
可溶性草酸盐会在水稻叶片中积累,导致矿物质缺乏,并使食用水稻叶片的家畜患上泌尿系统综合症。在之前的研究中,我们发现越光(粳稻栽培品种)叶片中的草酸盐含量比高光(籼稻栽培品种)叶片中的草酸盐含量高。即使这两种栽培品种在高浓度二氧化碳条件下生长,也会出现这种差异,而高浓度二氧化碳会抑制草酸盐通过光呼吸合成,这表明差异是由遗传因素而非环境因素造成的。为了弄清遗传因素是否会影响水稻叶片中的草酸盐含量,我们采用毛细管电泳-质谱法测定了水稻核心保藏品种(WRC)和日本水稻核心保藏品种(JRC)叶片中草酸盐和草酸盐相关有机酸的含量。结果表明,粳型栽培品种的草酸累积量往往高于AUS或籼型栽培品种。相关分析表明,草酸盐积累与柠檬酸盐含量呈正相关,这表明异柠檬酸盐途径参与了草酸盐的积累。另一方面,针对 WRC 和 JRC 栽培品种草酸盐含量的全基因组关联研究并未发现与草酸盐积累直接相关的重要位点。这表明不同基因位点的组合可能会影响水稻叶片的草酸盐含量。
本文章由计算机程序翻译,如有差异,请以英文原文为准。

Metabolic diversity analysis and genome wide assessment of oxalate accumulation in the leaves of rice (<i>Oryza sativa</i>) cultivars.

Metabolic diversity analysis and genome wide assessment of oxalate accumulation in the leaves of rice (<i>Oryza sativa</i>) cultivars.

Metabolic diversity analysis and genome wide assessment of oxalate accumulation in the leaves of rice (<i>Oryza sativa</i>) cultivars.

Metabolic diversity analysis and genome wide assessment of oxalate accumulation in the leaves of rice (Oryza sativa) cultivars.

Soluble oxalate accumulates in rice leaves, and it causes mineral deficiency and urinary syndrome in livestock that consume the leaves. In our previous study, we found that the oxalate content was higher in the leaves of Koshihikari (japonica type cultivar) than in those of Takanari (indica type cultivar). This difference was seen even when the two cultivars were grown under a high CO2 concentration, which inhibits oxalate synthesis via photorespiration, suggesting that the difference resulted from genetic factors rather than environmental factors. To clarify whether genetic factors affect the oxalate content of rice leaves, we measured the contents of oxalate and oxalate-related organic acids in the leaves of various rice cultivars the Rice Core Collection (WRC) and Japan Rice Core Collection (JRC) by capillary electrophoresis-mass spectrometry. Results showed that japonica type cultivars tended to accumulate more oxalate than aus or indica type cultivars. Correlation analysis revealed a positive correlation between oxalate accumulation and the citrate content, suggesting that the isocitrate pathway is involved in oxalate accumulation. On the other hand, a genome-wide association study for the oxalate content of the WRC and JRC cultivars did not reveal significant loci directly related to oxalate accumulation. This indicates that the combination of various loci may affect the oxalate contents of rice leaves.

求助全文
通过发布文献求助,成功后即可免费获取论文全文。 去求助
来源期刊
Plant Biotechnology
Plant Biotechnology BIOTECHNOLOGY & APPLIED MICROBIOLOGY-PLANT SCIENCES
CiteScore
2.90
自引率
18.80%
发文量
45
审稿时长
6-12 weeks
期刊介绍: Plant Biotechnology is an international, open-access, and online journal, published every three months by the Japanese Society for Plant Biotechnology. The journal, first published in 1984 as the predecessor journal, “Plant Tissue Culture Letters” and became its present form in 1997 when the society name was renamed to Japanese Society for Plant Cell and Molecular Biology, publishes findings in the areas from basic- to application research of plant biotechnology. The aim of Plant Biotechnology is to publish original and high-impact papers, in the most rapid turnaround time for reviewing, on the plant biotechnology including tissue culture, production of specialized metabolites, transgenic technology, and genome editing technology, and also on the related research fields including molecular biology, cell biology, genetics, plant breeding, plant physiology and biochemistry, metabolic engineering, synthetic biology, and bioinformatics.
×
引用
GB/T 7714-2015
复制
MLA
复制
APA
复制
导出至
BibTeX EndNote RefMan NoteFirst NoteExpress
×
提示
您的信息不完整,为了账户安全,请先补充。
现在去补充
×
提示
您因"违规操作"
具体请查看互助需知
我知道了
×
提示
确定
请完成安全验证×
copy
已复制链接
快去分享给好友吧!
我知道了
右上角分享
点击右上角分享
0
联系我们:info@booksci.cn Book学术提供免费学术资源搜索服务,方便国内外学者检索中英文文献。致力于提供最便捷和优质的服务体验。 Copyright © 2023 布克学术 All rights reserved.
京ICP备2023020795号-1
ghs 京公网安备 11010802042870号
Book学术文献互助
Book学术文献互助群
群 号:604180095
Book学术官方微信