在表达细菌 4-hydroxycinnamoyl-CoA hydratase/lyase 的竹细胞中鉴定 4-hydroxybenzoic acid 的二葡萄糖共轭物。

IF 1.1 4区 生物学 Q4 BIOTECHNOLOGY & APPLIED MICROBIOLOGY
Naoki Ube, Yasuo Kato, Taiji Nomura
{"title":"在表达细菌 4-hydroxycinnamoyl-CoA hydratase/lyase 的竹细胞中鉴定 4-hydroxybenzoic acid 的二葡萄糖共轭物。","authors":"Naoki Ube, Yasuo Kato, Taiji Nomura","doi":"10.5511/plantbiotechnology.23.1218a","DOIUrl":null,"url":null,"abstract":"<p><p>Rational metabolic-flow switching is an effective strategy that we proposed for producing exogenous high-value natural products using transformed plant cells. In an earlier proof-of-concept study, we generated bamboo (<i>Phyllostachys nigra</i>; Pn) cells expressing the 4-hydroxycinnamoyl-CoA hydratase/lyase gene of <i>Pseudomonas putida</i> KT2440 (<i>PpHCHL</i>). The encoded enzyme catalyzes the formation of 4-hydroxybenzaldehyde and vanillin from <i>p</i>-coumaroyl-CoA and feruloyl-CoA, respectively. The PpHCHL-transformed Pn cells accumulated mono-glucose conjugates (glucoside and glucose ester) of 4-hydroxybenzoic acid and vanillic acid, indicating that the products (aldehydes) of the PpHCHL-catalyzed reaction were oxidized by endogenous enzyme(s) in Pn cells. In this study, we re-examined the extracts of PpHCHL-transformed Pn cells to screen for additional 4-hydroxybenzoic acid derivatives. An unidentified compound was detected exclusively in the PpHCHL-transformed Pn cells. This compound was purified via column chromatography and then identified as a di-glucose conjugate of 4-hydroxybenzoic acid (i.e., β-D-glucopyranosyl 4-<i>O</i>-β-D-glucopyranosylbenzoate), implying that some of the mono-glucose conjugates of 4-hydroxybenzoic acid were converted to the di-glucose conjugate by endogenous enzyme(s) in Pn cells. The maximum production titer of this di-glucose conjugate in the suspension-cultured cells was 0.38 g l<sup>-1</sup>, which was the second highest titer among the four glucose conjugates produced by the PpHCHL-transformed Pn cells. The study findings further support the utility of PpHCHL-transformed Pn cells for the bioproduction of 4-hydroxybenzoic acid and its derivatives.</p>","PeriodicalId":20411,"journal":{"name":"Plant Biotechnology","volume":"41 1","pages":"83-87"},"PeriodicalIF":1.1000,"publicationDate":"2024-03-25","publicationTypes":"Journal Article","fieldsOfStudy":null,"isOpenAccess":false,"openAccessPdf":"https://www.ncbi.nlm.nih.gov/pmc/articles/PMC11500581/pdf/","citationCount":"0","resultStr":"{\"title\":\"Identification of a di-glucose conjugate of 4-hydroxybenzoic acid in bamboo cells expressing bacterial 4-hydroxycinnamoyl-CoA hydratase/lyase.\",\"authors\":\"Naoki Ube, Yasuo Kato, Taiji Nomura\",\"doi\":\"10.5511/plantbiotechnology.23.1218a\",\"DOIUrl\":null,\"url\":null,\"abstract\":\"<p><p>Rational metabolic-flow switching is an effective strategy that we proposed for producing exogenous high-value natural products using transformed plant cells. In an earlier proof-of-concept study, we generated bamboo (<i>Phyllostachys nigra</i>; Pn) cells expressing the 4-hydroxycinnamoyl-CoA hydratase/lyase gene of <i>Pseudomonas putida</i> KT2440 (<i>PpHCHL</i>). The encoded enzyme catalyzes the formation of 4-hydroxybenzaldehyde and vanillin from <i>p</i>-coumaroyl-CoA and feruloyl-CoA, respectively. The PpHCHL-transformed Pn cells accumulated mono-glucose conjugates (glucoside and glucose ester) of 4-hydroxybenzoic acid and vanillic acid, indicating that the products (aldehydes) of the PpHCHL-catalyzed reaction were oxidized by endogenous enzyme(s) in Pn cells. In this study, we re-examined the extracts of PpHCHL-transformed Pn cells to screen for additional 4-hydroxybenzoic acid derivatives. An unidentified compound was detected exclusively in the PpHCHL-transformed Pn cells. This compound was purified via column chromatography and then identified as a di-glucose conjugate of 4-hydroxybenzoic acid (i.e., β-D-glucopyranosyl 4-<i>O</i>-β-D-glucopyranosylbenzoate), implying that some of the mono-glucose conjugates of 4-hydroxybenzoic acid were converted to the di-glucose conjugate by endogenous enzyme(s) in Pn cells. The maximum production titer of this di-glucose conjugate in the suspension-cultured cells was 0.38 g l<sup>-1</sup>, which was the second highest titer among the four glucose conjugates produced by the PpHCHL-transformed Pn cells. The study findings further support the utility of PpHCHL-transformed Pn cells for the bioproduction of 4-hydroxybenzoic acid and its derivatives.</p>\",\"PeriodicalId\":20411,\"journal\":{\"name\":\"Plant Biotechnology\",\"volume\":\"41 1\",\"pages\":\"83-87\"},\"PeriodicalIF\":1.1000,\"publicationDate\":\"2024-03-25\",\"publicationTypes\":\"Journal Article\",\"fieldsOfStudy\":null,\"isOpenAccess\":false,\"openAccessPdf\":\"https://www.ncbi.nlm.nih.gov/pmc/articles/PMC11500581/pdf/\",\"citationCount\":\"0\",\"resultStr\":null,\"platform\":\"Semanticscholar\",\"paperid\":null,\"PeriodicalName\":\"Plant Biotechnology\",\"FirstCategoryId\":\"5\",\"ListUrlMain\":\"https://doi.org/10.5511/plantbiotechnology.23.1218a\",\"RegionNum\":4,\"RegionCategory\":\"生物学\",\"ArticlePicture\":[],\"TitleCN\":null,\"AbstractTextCN\":null,\"PMCID\":null,\"EPubDate\":\"\",\"PubModel\":\"\",\"JCR\":\"Q4\",\"JCRName\":\"BIOTECHNOLOGY & APPLIED MICROBIOLOGY\",\"Score\":null,\"Total\":0}","platform":"Semanticscholar","paperid":null,"PeriodicalName":"Plant Biotechnology","FirstCategoryId":"5","ListUrlMain":"https://doi.org/10.5511/plantbiotechnology.23.1218a","RegionNum":4,"RegionCategory":"生物学","ArticlePicture":[],"TitleCN":null,"AbstractTextCN":null,"PMCID":null,"EPubDate":"","PubModel":"","JCR":"Q4","JCRName":"BIOTECHNOLOGY & APPLIED MICROBIOLOGY","Score":null,"Total":0}
引用次数: 0

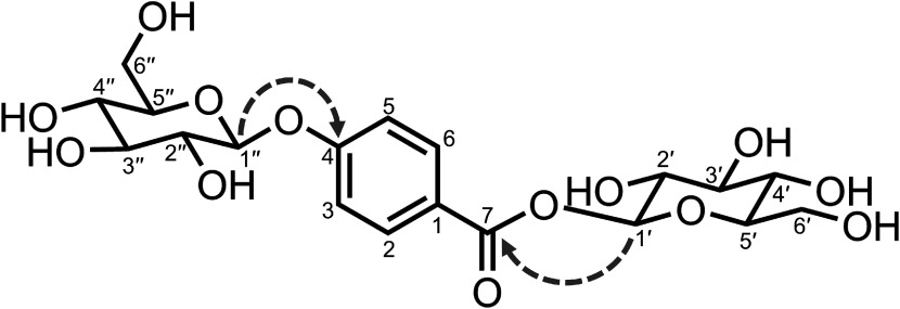
摘要

合理的代谢流程转换是我们提出的利用转化植物细胞生产外源高价值天然产品的有效策略。在早期的概念验证研究中,我们生成了表达假单胞菌 KT2440(PpHCHL)的 4-羟基肉桂酰-CoA 水合酶/裂解酶基因的竹子(Phyllostachys nigra; Pn)细胞。所编码的酶催化对香豆酰-CoA 和阿魏酰-CoA 分别生成 4-羟基苯甲醛和香兰素。经 PpHCHL 转化的 Pn 细胞积累了 4-羟基苯甲酸和香草酸的单葡萄糖轭合物(葡萄糖苷和葡萄糖酯),表明 PpHCHL 催化反应的产物(醛类)在 Pn 细胞中被内源酶氧化。在本研究中,我们重新检查了 PpHCHL 转化的 Pn 细胞的提取物,以筛选更多的 4-羟基苯甲酸衍生物。在 PpHCHL 转化的 Pn 细胞中只检测到了一种不明化合物。这种化合物经柱层析纯化后被鉴定为 4-羟基苯甲酸的二葡萄糖轭合物(即 β-D 吡喃葡萄糖基 4-O-β-D-吡喃葡萄糖基苯甲酸酯),这意味着 4-羟基苯甲酸的一些单葡萄糖轭合物在 Pn 细胞中被内源酶转化为二葡萄糖轭合物。在悬浮培养的细胞中,这种二葡萄糖轭合物的最大生产滴度为 0.38 g l-1,是 PpHCHL 转化的 Pn 细胞产生的四种葡萄糖轭合物中滴度第二高的。研究结果进一步支持了 PpHCHL 转化的 Pn 细胞用于生物生产 4-羟基苯甲酸及其衍生物的实用性。
本文章由计算机程序翻译,如有差异,请以英文原文为准。

Identification of a di-glucose conjugate of 4-hydroxybenzoic acid in bamboo cells expressing bacterial 4-hydroxycinnamoyl-CoA hydratase/lyase.

Identification of a di-glucose conjugate of 4-hydroxybenzoic acid in bamboo cells expressing bacterial 4-hydroxycinnamoyl-CoA hydratase/lyase.

Identification of a di-glucose conjugate of 4-hydroxybenzoic acid in bamboo cells expressing bacterial 4-hydroxycinnamoyl-CoA hydratase/lyase.

Identification of a di-glucose conjugate of 4-hydroxybenzoic acid in bamboo cells expressing bacterial 4-hydroxycinnamoyl-CoA hydratase/lyase.

Rational metabolic-flow switching is an effective strategy that we proposed for producing exogenous high-value natural products using transformed plant cells. In an earlier proof-of-concept study, we generated bamboo (Phyllostachys nigra; Pn) cells expressing the 4-hydroxycinnamoyl-CoA hydratase/lyase gene of Pseudomonas putida KT2440 (PpHCHL). The encoded enzyme catalyzes the formation of 4-hydroxybenzaldehyde and vanillin from p-coumaroyl-CoA and feruloyl-CoA, respectively. The PpHCHL-transformed Pn cells accumulated mono-glucose conjugates (glucoside and glucose ester) of 4-hydroxybenzoic acid and vanillic acid, indicating that the products (aldehydes) of the PpHCHL-catalyzed reaction were oxidized by endogenous enzyme(s) in Pn cells. In this study, we re-examined the extracts of PpHCHL-transformed Pn cells to screen for additional 4-hydroxybenzoic acid derivatives. An unidentified compound was detected exclusively in the PpHCHL-transformed Pn cells. This compound was purified via column chromatography and then identified as a di-glucose conjugate of 4-hydroxybenzoic acid (i.e., β-D-glucopyranosyl 4-O-β-D-glucopyranosylbenzoate), implying that some of the mono-glucose conjugates of 4-hydroxybenzoic acid were converted to the di-glucose conjugate by endogenous enzyme(s) in Pn cells. The maximum production titer of this di-glucose conjugate in the suspension-cultured cells was 0.38 g l-1, which was the second highest titer among the four glucose conjugates produced by the PpHCHL-transformed Pn cells. The study findings further support the utility of PpHCHL-transformed Pn cells for the bioproduction of 4-hydroxybenzoic acid and its derivatives.

求助全文
通过发布文献求助,成功后即可免费获取论文全文。 去求助
来源期刊
Plant Biotechnology
Plant Biotechnology BIOTECHNOLOGY & APPLIED MICROBIOLOGY-PLANT SCIENCES
CiteScore
2.90
自引率
18.80%
发文量
45
审稿时长
6-12 weeks
期刊介绍: Plant Biotechnology is an international, open-access, and online journal, published every three months by the Japanese Society for Plant Biotechnology. The journal, first published in 1984 as the predecessor journal, “Plant Tissue Culture Letters” and became its present form in 1997 when the society name was renamed to Japanese Society for Plant Cell and Molecular Biology, publishes findings in the areas from basic- to application research of plant biotechnology. The aim of Plant Biotechnology is to publish original and high-impact papers, in the most rapid turnaround time for reviewing, on the plant biotechnology including tissue culture, production of specialized metabolites, transgenic technology, and genome editing technology, and also on the related research fields including molecular biology, cell biology, genetics, plant breeding, plant physiology and biochemistry, metabolic engineering, synthetic biology, and bioinformatics.
×
引用
GB/T 7714-2015
复制
MLA
复制
APA
复制
导出至
BibTeX EndNote RefMan NoteFirst NoteExpress
×
提示
您的信息不完整,为了账户安全,请先补充。
现在去补充
×
提示
您因"违规操作"
具体请查看互助需知
我知道了
×
提示
确定
请完成安全验证×
copy
已复制链接
快去分享给好友吧!
我知道了
右上角分享
点击右上角分享
0
联系我们:info@booksci.cn Book学术提供免费学术资源搜索服务,方便国内外学者检索中英文文献。致力于提供最便捷和优质的服务体验。 Copyright © 2023 布克学术 All rights reserved.
京ICP备2023020795号-1
ghs 京公网安备 11010802042870号
Book学术文献互助
Book学术文献互助群
群 号:604180095
Book学术官方微信