在瘤胃产甲烷受抑制的环境中应用产丙酸菌群,以溴乙基磺酸盐作为产甲烷直接抑制剂。

IF 2.9 2区 农林科学 Q1 VETERINARY SCIENCES
Frontiers in Veterinary Science Pub Date : 2024-10-09 eCollection Date: 2024-01-01 DOI:10.3389/fvets.2024.1422474
Jongsik Jeong, Chaemin Yu, Ryukseok Kang, Myunghoo Kim, Tansol Park
{"title":"在瘤胃产甲烷受抑制的环境中应用产丙酸菌群,以溴乙基磺酸盐作为产甲烷直接抑制剂。","authors":"Jongsik Jeong, Chaemin Yu, Ryukseok Kang, Myunghoo Kim, Tansol Park","doi":"10.3389/fvets.2024.1422474","DOIUrl":null,"url":null,"abstract":"<p><p>Methane production in ruminants is primarily due to the conversion of metabolic hydrogen (H<sub>2</sub>), produced during anaerobic microbial fermentation, into methane by ruminal methanogens. While this process plays a crucial role in efficiently disposes of H<sub>2</sub>, it also contributes to environmental pollution and eliminating methane production in the rumen has proven to be challenging. This study investigates the use of probiotics, specifically propionate-producing bacteria, to redirect accumulated H<sub>2</sub> in a methane-mitigated environment. For this objective, we supplemented experimental groups with <i>Lactiplantibacillus plantarum</i> and <i>Megasphaera elsdenii</i> for the reinforced acrylate pathway (RA) and <i>Selenomonas ruminantium</i> and <i>Acidipropionibacterium thoenii</i> for the reinforced succinate pathway (RS), as well as a consortium of all four strains (CB), with the total microbial concentration at 1.0 × 10<sup>10</sup> cells/mL. To create a methane-mitigated environment, 2-bromoethanesulfonate (BES) was added to all experimental groups at a dose of 15 mg/0.5 g of feed. BES reduced methane production by 85% <i>in vitro</i>, and the addition of propionate-producing bacteria with BES further decreased methane emission by up to 94% compared with the control (CON) group. Although BES did not affect the alpha diversity of the ruminal bacteriome, it reduced total volatile fatty acid production and altered beta diversity of ruminal bacteriota, indicating microbial metabolic adaptations to H<sub>2</sub> accumulation. Despite using different bacterial strains targeting divergent metabolic pathways (RA and RS), a decrease in the dominance of the [<i>Eubacterium</i>] <i>ruminantium</i> group suggesting that both approaches may have a similar modulatory effect. An increase in the relative abundance of <i>Succiniclasticum</i> in the CB group suggests that propionate metabolism is enhanced by the addition of a propionate-producing bacterial consortium. These findings recommend using a consortium of propionate-producing bacteria to manage H<sub>2</sub> accumulation by altering the rumen bacteriome, thus mitigating the negative effects of methane reduction strategies.</p>","PeriodicalId":12772,"journal":{"name":"Frontiers in Veterinary Science","volume":"11 ","pages":"1422474"},"PeriodicalIF":2.9000,"publicationDate":"2024-10-09","publicationTypes":"Journal Article","fieldsOfStudy":null,"isOpenAccess":false,"openAccessPdf":"https://www.ncbi.nlm.nih.gov/pmc/articles/PMC11497462/pdf/","citationCount":"0","resultStr":"{\"title\":\"Application of propionate-producing bacterial consortium in ruminal methanogenesis inhibited environment with bromoethanesulfonate as a methanogen direct inhibitor.\",\"authors\":\"Jongsik Jeong, Chaemin Yu, Ryukseok Kang, Myunghoo Kim, Tansol Park\",\"doi\":\"10.3389/fvets.2024.1422474\",\"DOIUrl\":null,\"url\":null,\"abstract\":\"<p><p>Methane production in ruminants is primarily due to the conversion of metabolic hydrogen (H<sub>2</sub>), produced during anaerobic microbial fermentation, into methane by ruminal methanogens. While this process plays a crucial role in efficiently disposes of H<sub>2</sub>, it also contributes to environmental pollution and eliminating methane production in the rumen has proven to be challenging. This study investigates the use of probiotics, specifically propionate-producing bacteria, to redirect accumulated H<sub>2</sub> in a methane-mitigated environment. For this objective, we supplemented experimental groups with <i>Lactiplantibacillus plantarum</i> and <i>Megasphaera elsdenii</i> for the reinforced acrylate pathway (RA) and <i>Selenomonas ruminantium</i> and <i>Acidipropionibacterium thoenii</i> for the reinforced succinate pathway (RS), as well as a consortium of all four strains (CB), with the total microbial concentration at 1.0 × 10<sup>10</sup> cells/mL. To create a methane-mitigated environment, 2-bromoethanesulfonate (BES) was added to all experimental groups at a dose of 15 mg/0.5 g of feed. BES reduced methane production by 85% <i>in vitro</i>, and the addition of propionate-producing bacteria with BES further decreased methane emission by up to 94% compared with the control (CON) group. Although BES did not affect the alpha diversity of the ruminal bacteriome, it reduced total volatile fatty acid production and altered beta diversity of ruminal bacteriota, indicating microbial metabolic adaptations to H<sub>2</sub> accumulation. Despite using different bacterial strains targeting divergent metabolic pathways (RA and RS), a decrease in the dominance of the [<i>Eubacterium</i>] <i>ruminantium</i> group suggesting that both approaches may have a similar modulatory effect. An increase in the relative abundance of <i>Succiniclasticum</i> in the CB group suggests that propionate metabolism is enhanced by the addition of a propionate-producing bacterial consortium. These findings recommend using a consortium of propionate-producing bacteria to manage H<sub>2</sub> accumulation by altering the rumen bacteriome, thus mitigating the negative effects of methane reduction strategies.</p>\",\"PeriodicalId\":12772,\"journal\":{\"name\":\"Frontiers in Veterinary Science\",\"volume\":\"11 \",\"pages\":\"1422474\"},\"PeriodicalIF\":2.9000,\"publicationDate\":\"2024-10-09\",\"publicationTypes\":\"Journal Article\",\"fieldsOfStudy\":null,\"isOpenAccess\":false,\"openAccessPdf\":\"https://www.ncbi.nlm.nih.gov/pmc/articles/PMC11497462/pdf/\",\"citationCount\":\"0\",\"resultStr\":null,\"platform\":\"Semanticscholar\",\"paperid\":null,\"PeriodicalName\":\"Frontiers in Veterinary Science\",\"FirstCategoryId\":\"97\",\"ListUrlMain\":\"https://doi.org/10.3389/fvets.2024.1422474\",\"RegionNum\":2,\"RegionCategory\":\"农林科学\",\"ArticlePicture\":[],\"TitleCN\":null,\"AbstractTextCN\":null,\"PMCID\":null,\"EPubDate\":\"2024/1/1 0:00:00\",\"PubModel\":\"eCollection\",\"JCR\":\"Q1\",\"JCRName\":\"VETERINARY SCIENCES\",\"Score\":null,\"Total\":0}","platform":"Semanticscholar","paperid":null,"PeriodicalName":"Frontiers in Veterinary Science","FirstCategoryId":"97","ListUrlMain":"https://doi.org/10.3389/fvets.2024.1422474","RegionNum":2,"RegionCategory":"农林科学","ArticlePicture":[],"TitleCN":null,"AbstractTextCN":null,"PMCID":null,"EPubDate":"2024/1/1 0:00:00","PubModel":"eCollection","JCR":"Q1","JCRName":"VETERINARY SCIENCES","Score":null,"Total":0}
引用次数: 0

摘要

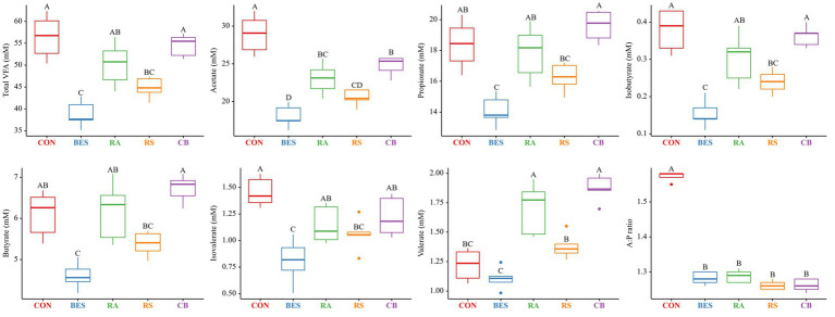
反刍动物体内产生甲烷的主要原因是瘤胃甲烷菌将厌氧微生物发酵过程中产生的代谢氢(H2)转化为甲烷。虽然这一过程在有效处理氢气方面起着至关重要的作用,但它也会造成环境污染,消除瘤胃中的甲烷产生已被证明是一项挑战。本研究调查了益生菌(特别是产丙酸的细菌)的使用情况,以重新引导甲烷缓解环境中积累的 H2。为此,我们在实验组中添加了植物乳杆菌(Lactiplantibacillus plantarum)和Megasphaera elsdenii,用于强化丙烯酸酯途径(RA);添加了硒单胞菌(Selenomonas ruminantium)和酸性丙酸杆菌(Acidipropionibacterium thoenii),用于强化琥珀酸酯途径(RS);还添加了所有四种菌株的联合菌株(CB),微生物总浓度为 1.0 × 1010 cells/mL。为了创造一个甲烷减免环境,所有实验组都添加了 2-溴乙基磺酸盐(BES),剂量为 15 毫克/0.5 克饲料。与对照(CON)组相比,BES 在体外可减少 85% 的甲烷产生,而在 BES 中添加丙酸盐生产菌可进一步减少高达 94% 的甲烷排放。虽然 BES 不会影响瘤胃细菌群的α多样性,但它减少了总挥发性脂肪酸的产生,并改变了瘤胃细菌群的β多样性,这表明微生物代谢适应了 H2 的积累。尽管使用了针对不同代谢途径(RA 和 RS)的不同细菌菌株,但反刍动物[Eubacterium]群的优势地位有所下降,这表明这两种方法可能具有相似的调节作用。在 CB 组中,琥珀酰菌的相对丰度增加,这表明丙酸盐代谢在加入产丙酸盐的细菌群后得到加强。这些发现建议使用产丙酸菌群,通过改变瘤胃细菌群来控制 H2 的积累,从而减轻甲烷减排策略的负面影响。
本文章由计算机程序翻译,如有差异,请以英文原文为准。

Application of propionate-producing bacterial consortium in ruminal methanogenesis inhibited environment with bromoethanesulfonate as a methanogen direct inhibitor.

Application of propionate-producing bacterial consortium in ruminal methanogenesis inhibited environment with bromoethanesulfonate as a methanogen direct inhibitor.

Application of propionate-producing bacterial consortium in ruminal methanogenesis inhibited environment with bromoethanesulfonate as a methanogen direct inhibitor.

Application of propionate-producing bacterial consortium in ruminal methanogenesis inhibited environment with bromoethanesulfonate as a methanogen direct inhibitor.

Methane production in ruminants is primarily due to the conversion of metabolic hydrogen (H2), produced during anaerobic microbial fermentation, into methane by ruminal methanogens. While this process plays a crucial role in efficiently disposes of H2, it also contributes to environmental pollution and eliminating methane production in the rumen has proven to be challenging. This study investigates the use of probiotics, specifically propionate-producing bacteria, to redirect accumulated H2 in a methane-mitigated environment. For this objective, we supplemented experimental groups with Lactiplantibacillus plantarum and Megasphaera elsdenii for the reinforced acrylate pathway (RA) and Selenomonas ruminantium and Acidipropionibacterium thoenii for the reinforced succinate pathway (RS), as well as a consortium of all four strains (CB), with the total microbial concentration at 1.0 × 1010 cells/mL. To create a methane-mitigated environment, 2-bromoethanesulfonate (BES) was added to all experimental groups at a dose of 15 mg/0.5 g of feed. BES reduced methane production by 85% in vitro, and the addition of propionate-producing bacteria with BES further decreased methane emission by up to 94% compared with the control (CON) group. Although BES did not affect the alpha diversity of the ruminal bacteriome, it reduced total volatile fatty acid production and altered beta diversity of ruminal bacteriota, indicating microbial metabolic adaptations to H2 accumulation. Despite using different bacterial strains targeting divergent metabolic pathways (RA and RS), a decrease in the dominance of the [Eubacterium] ruminantium group suggesting that both approaches may have a similar modulatory effect. An increase in the relative abundance of Succiniclasticum in the CB group suggests that propionate metabolism is enhanced by the addition of a propionate-producing bacterial consortium. These findings recommend using a consortium of propionate-producing bacteria to manage H2 accumulation by altering the rumen bacteriome, thus mitigating the negative effects of methane reduction strategies.

求助全文
通过发布文献求助,成功后即可免费获取论文全文。 去求助
来源期刊
Frontiers in Veterinary Science
Frontiers in Veterinary Science Veterinary-General Veterinary
CiteScore
4.80
自引率
9.40%
发文量
1870
审稿时长
14 weeks
期刊介绍: Frontiers in Veterinary Science is a global, peer-reviewed, Open Access journal that bridges animal and human health, brings a comparative approach to medical and surgical challenges, and advances innovative biotechnology and therapy. Veterinary research today is interdisciplinary, collaborative, and socially relevant, transforming how we understand and investigate animal health and disease. Fundamental research in emerging infectious diseases, predictive genomics, stem cell therapy, and translational modelling is grounded within the integrative social context of public and environmental health, wildlife conservation, novel biomarkers, societal well-being, and cutting-edge clinical practice and specialization. Frontiers in Veterinary Science brings a 21st-century approach—networked, collaborative, and Open Access—to communicate this progress and innovation to both the specialist and to the wider audience of readers in the field. Frontiers in Veterinary Science publishes articles on outstanding discoveries across a wide spectrum of translational, foundational, and clinical research. The journal''s mission is to bring all relevant veterinary sciences together on a single platform with the goal of improving animal and human health.
×
引用
GB/T 7714-2015
复制
MLA
复制
APA
复制
导出至
BibTeX EndNote RefMan NoteFirst NoteExpress
×
提示
您的信息不完整,为了账户安全,请先补充。
现在去补充
×
提示
您因"违规操作"
具体请查看互助需知
我知道了
×
提示
确定
请完成安全验证×
copy
已复制链接
快去分享给好友吧!
我知道了
右上角分享
点击右上角分享
0
联系我们:info@booksci.cn Book学术提供免费学术资源搜索服务,方便国内外学者检索中英文文献。致力于提供最便捷和优质的服务体验。 Copyright © 2023 布克学术 All rights reserved.
京ICP备2023020795号-1
ghs 京公网安备 11010802042870号
Book学术文献互助
Book学术文献互助群
群 号:604180095
Book学术官方微信