在高收入环境中对叙利亚难民进行为期一年的跟踪调查,发现问题管理强化方案的有效性。

IF 6.1 2区 医学 Q1 PSYCHIATRY
Anne M de Graaff, Pim Cuijpers, Mariam Elsawy, Sam Hunaidy, Barbara Kieft, Noer Gorgis, Jos W R Twisk, Yenovk Zakarian, Theo K Bouman, Miriam J J Lommen, Ceren Acarturk, Richard Bryant, David McDaid, Naser Morina, A-La Park, Peter Ventevogel, Marit Sijbrandij
{"title":"在高收入环境中对叙利亚难民进行为期一年的跟踪调查,发现问题管理强化方案的有效性。","authors":"Anne M de Graaff, Pim Cuijpers, Mariam Elsawy, Sam Hunaidy, Barbara Kieft, Noer Gorgis, Jos W R Twisk, Yenovk Zakarian, Theo K Bouman, Miriam J J Lommen, Ceren Acarturk, Richard Bryant, David McDaid, Naser Morina, A-La Park, Peter Ventevogel, Marit Sijbrandij","doi":"10.1017/S2045796024000519","DOIUrl":null,"url":null,"abstract":"<p><strong>Aims: </strong>Problem Management Plus (PM+) has been effective in reducing mental health problems among refugees at three-month follow-up, but there is a lack of research on its long-term effectiveness. This study examined the effectiveness of PM+ in reducing symptoms of common mental disorders at 12-month follow-up among Syrian refugees in the Netherlands.</p><p><strong>Methods: </strong>This single-blind, parallel, controlled trial randomised 206 adult Syrians who screened positive for psychological distress and impaired functioning to either PM+ in addition to care as usual (PM+/CAU) or CAU alone. Assessments were at baseline, 1 week and 3 months after the intervention and 12 months after baseline. Outcomes were psychological distress (Hopkins Symptom Checklist [HSCL-25]), depression (HSCL-25 subscale), anxiety (HSCL-25 subscale), posttraumatic stress disorder symptoms (PCL-5), functional impairment (WHODAS 2.0) and self-identified problems (PSYCHLOPS).</p><p><strong>Results: </strong>In March 2019-December 2022, 103 participants were assigned to PM+/CAU and 103 to CAU of which 169 (82.0%) were retained at 12 months. Intention-to-treat analyses showed greater reductions in psychological distress at 12 months for PM+/CAU compared to CAU (adjusted mean difference -0.17, 95% CI -0.310 to -0.027; <i>p</i> = 0.01, Cohen's <i>d</i> = 0.28). Relative to CAU, PM+/CAU participants also showed significant reductions on anxiety (-0.19, 95% CI -0.344 to -0.047; <i>p</i> = 0.01, <i>d</i> = 0.31) but not on any of the other outcomes.</p><p><strong>Conclusions: </strong>PM+ is effective in reducing psychological distress and symptoms of anxiety over a period up to 1 year. Additional support such as booster sessions or additional (trauma-focused) modules may be required to prolong and consolidate benefits gained through PM+ on other mental health and psychosocial outcomes.</p>","PeriodicalId":11787,"journal":{"name":"Epidemiology and Psychiatric Sciences","volume":"33 ","pages":"e50"},"PeriodicalIF":6.1000,"publicationDate":"2024-10-25","publicationTypes":"Journal Article","fieldsOfStudy":null,"isOpenAccess":false,"openAccessPdf":"https://www.ncbi.nlm.nih.gov/pmc/articles/PMC11588643/pdf/","citationCount":"0","resultStr":"{\"title\":\"The effectiveness of Problem Management Plus at 1-year follow-up for Syrian refugees in a high-income setting.\",\"authors\":\"Anne M de Graaff, Pim Cuijpers, Mariam Elsawy, Sam Hunaidy, Barbara Kieft, Noer Gorgis, Jos W R Twisk, Yenovk Zakarian, Theo K Bouman, Miriam J J Lommen, Ceren Acarturk, Richard Bryant, David McDaid, Naser Morina, A-La Park, Peter Ventevogel, Marit Sijbrandij\",\"doi\":\"10.1017/S2045796024000519\",\"DOIUrl\":null,\"url\":null,\"abstract\":\"<p><strong>Aims: </strong>Problem Management Plus (PM+) has been effective in reducing mental health problems among refugees at three-month follow-up, but there is a lack of research on its long-term effectiveness. This study examined the effectiveness of PM+ in reducing symptoms of common mental disorders at 12-month follow-up among Syrian refugees in the Netherlands.</p><p><strong>Methods: </strong>This single-blind, parallel, controlled trial randomised 206 adult Syrians who screened positive for psychological distress and impaired functioning to either PM+ in addition to care as usual (PM+/CAU) or CAU alone. Assessments were at baseline, 1 week and 3 months after the intervention and 12 months after baseline. Outcomes were psychological distress (Hopkins Symptom Checklist [HSCL-25]), depression (HSCL-25 subscale), anxiety (HSCL-25 subscale), posttraumatic stress disorder symptoms (PCL-5), functional impairment (WHODAS 2.0) and self-identified problems (PSYCHLOPS).</p><p><strong>Results: </strong>In March 2019-December 2022, 103 participants were assigned to PM+/CAU and 103 to CAU of which 169 (82.0%) were retained at 12 months. Intention-to-treat analyses showed greater reductions in psychological distress at 12 months for PM+/CAU compared to CAU (adjusted mean difference -0.17, 95% CI -0.310 to -0.027; <i>p</i> = 0.01, Cohen's <i>d</i> = 0.28). Relative to CAU, PM+/CAU participants also showed significant reductions on anxiety (-0.19, 95% CI -0.344 to -0.047; <i>p</i> = 0.01, <i>d</i> = 0.31) but not on any of the other outcomes.</p><p><strong>Conclusions: </strong>PM+ is effective in reducing psychological distress and symptoms of anxiety over a period up to 1 year. Additional support such as booster sessions or additional (trauma-focused) modules may be required to prolong and consolidate benefits gained through PM+ on other mental health and psychosocial outcomes.</p>\",\"PeriodicalId\":11787,\"journal\":{\"name\":\"Epidemiology and Psychiatric Sciences\",\"volume\":\"33 \",\"pages\":\"e50\"},\"PeriodicalIF\":6.1000,\"publicationDate\":\"2024-10-25\",\"publicationTypes\":\"Journal Article\",\"fieldsOfStudy\":null,\"isOpenAccess\":false,\"openAccessPdf\":\"https://www.ncbi.nlm.nih.gov/pmc/articles/PMC11588643/pdf/\",\"citationCount\":\"0\",\"resultStr\":null,\"platform\":\"Semanticscholar\",\"paperid\":null,\"PeriodicalName\":\"Epidemiology and Psychiatric Sciences\",\"FirstCategoryId\":\"3\",\"ListUrlMain\":\"https://doi.org/10.1017/S2045796024000519\",\"RegionNum\":2,\"RegionCategory\":\"医学\",\"ArticlePicture\":[],\"TitleCN\":null,\"AbstractTextCN\":null,\"PMCID\":null,\"EPubDate\":\"\",\"PubModel\":\"\",\"JCR\":\"Q1\",\"JCRName\":\"PSYCHIATRY\",\"Score\":null,\"Total\":0}","platform":"Semanticscholar","paperid":null,"PeriodicalName":"Epidemiology and Psychiatric Sciences","FirstCategoryId":"3","ListUrlMain":"https://doi.org/10.1017/S2045796024000519","RegionNum":2,"RegionCategory":"医学","ArticlePicture":[],"TitleCN":null,"AbstractTextCN":null,"PMCID":null,"EPubDate":"","PubModel":"","JCR":"Q1","JCRName":"PSYCHIATRY","Score":null,"Total":0}
引用次数: 0

摘要

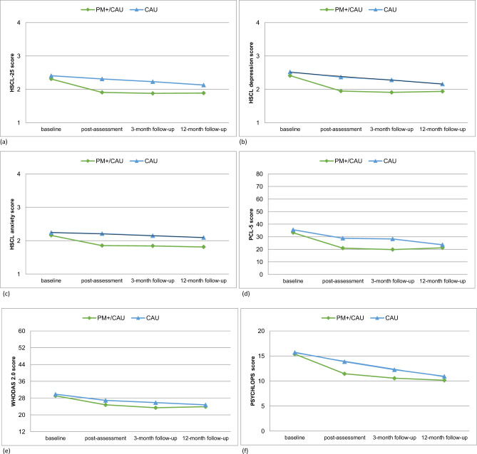
目的:"问题管理+"(PM+)在三个月的随访中有效地减少了难民的心理健康问题,但缺乏对其长期有效性的研究。本研究考察了 PM+ 在减少荷兰境内叙利亚难民常见精神障碍症状方面的有效性:这项单盲、平行、对照试验将 206 名筛查结果为心理困扰和功能受损的成年叙利亚人随机分配到 PM+ 和常规护理(PM+/CAU)或 CAU。评估时间为基线、干预后 1 周和 3 个月以及基线后 12 个月。结果包括心理困扰(霍普金斯症状量表[HSCL-25])、抑郁(HSCL-25分量表)、焦虑(HSCL-25分量表)、创伤后应激障碍症状(PCL-5)、功能障碍(WHODAS 2.0)和自认问题(PSYCHLOPS):2019年3月至2022年12月,103名参与者被分配到PM+/CAU,103名参与者被分配到CAU,其中169人(82.0%)在12个月后保留了下来。意向治疗分析显示,与CAU相比,PM+/CAU在12个月时的心理困扰减少幅度更大(调整后的平均差异为-0.17,95% CI为-0.310至-0.027;P = 0.01,Cohen's d = 0.28)。与CAU相比,PM+/CAU参与者的焦虑程度也有显著降低(-0.19,95% CI -0.344 to -0.047;p = 0.01,d = 0.31),但其他结果均无显著降低:PM+能在长达一年的时间内有效减少心理困扰和焦虑症状。可能需要额外的支持,如加强课程或额外的(以创伤为重点的)模块,以延长和巩固通过 PM+ 在其他心理健康和社会心理结果方面获得的益处。
本文章由计算机程序翻译,如有差异,请以英文原文为准。

The effectiveness of Problem Management Plus at 1-year follow-up for Syrian refugees in a high-income setting.

The effectiveness of Problem Management Plus at 1-year follow-up for Syrian refugees in a high-income setting.

The effectiveness of Problem Management Plus at 1-year follow-up for Syrian refugees in a high-income setting.

The effectiveness of Problem Management Plus at 1-year follow-up for Syrian refugees in a high-income setting.

Aims: Problem Management Plus (PM+) has been effective in reducing mental health problems among refugees at three-month follow-up, but there is a lack of research on its long-term effectiveness. This study examined the effectiveness of PM+ in reducing symptoms of common mental disorders at 12-month follow-up among Syrian refugees in the Netherlands.

Methods: This single-blind, parallel, controlled trial randomised 206 adult Syrians who screened positive for psychological distress and impaired functioning to either PM+ in addition to care as usual (PM+/CAU) or CAU alone. Assessments were at baseline, 1 week and 3 months after the intervention and 12 months after baseline. Outcomes were psychological distress (Hopkins Symptom Checklist [HSCL-25]), depression (HSCL-25 subscale), anxiety (HSCL-25 subscale), posttraumatic stress disorder symptoms (PCL-5), functional impairment (WHODAS 2.0) and self-identified problems (PSYCHLOPS).

Results: In March 2019-December 2022, 103 participants were assigned to PM+/CAU and 103 to CAU of which 169 (82.0%) were retained at 12 months. Intention-to-treat analyses showed greater reductions in psychological distress at 12 months for PM+/CAU compared to CAU (adjusted mean difference -0.17, 95% CI -0.310 to -0.027; p = 0.01, Cohen's d = 0.28). Relative to CAU, PM+/CAU participants also showed significant reductions on anxiety (-0.19, 95% CI -0.344 to -0.047; p = 0.01, d = 0.31) but not on any of the other outcomes.

Conclusions: PM+ is effective in reducing psychological distress and symptoms of anxiety over a period up to 1 year. Additional support such as booster sessions or additional (trauma-focused) modules may be required to prolong and consolidate benefits gained through PM+ on other mental health and psychosocial outcomes.

求助全文
通过发布文献求助,成功后即可免费获取论文全文。 去求助
来源期刊
CiteScore
7.80
自引率
1.20%
发文量
121
审稿时长
>12 weeks
期刊介绍: Epidemiology and Psychiatric Sciences is a prestigious international, peer-reviewed journal that has been publishing in Open Access format since 2020. Formerly known as Epidemiologia e Psichiatria Sociale and established in 1992 by Michele Tansella, the journal prioritizes highly relevant and innovative research articles and systematic reviews in the areas of public mental health and policy, mental health services and system research, as well as epidemiological and social psychiatry. Join us in advancing knowledge and understanding in these critical fields.
×
引用
GB/T 7714-2015
复制
MLA
复制
APA
复制
导出至
BibTeX EndNote RefMan NoteFirst NoteExpress
×
提示
您的信息不完整,为了账户安全,请先补充。
现在去补充
×
提示
您因"违规操作"
具体请查看互助需知
我知道了
×
提示
确定
请完成安全验证×
copy
已复制链接
快去分享给好友吧!
我知道了
右上角分享
点击右上角分享
0
联系我们:info@booksci.cn Book学术提供免费学术资源搜索服务,方便国内外学者检索中英文文献。致力于提供最便捷和优质的服务体验。 Copyright © 2023 布克学术 All rights reserved.
京ICP备2023020795号-1
ghs 京公网安备 11010802042870号
Book学术文献互助
Book学术文献互助群
群 号:604180095
Book学术官方微信