中年时内侧颞叶亚区的结构和功能性性别差异

IF 2.3 4区 医学 Q3 NEUROSCIENCES
Marie Caillaud, Isabelle Gallagher, Janelle Foret, Andreana P Haley
{"title":"中年时内侧颞叶亚区的结构和功能性性别差异","authors":"Marie Caillaud, Isabelle Gallagher, Janelle Foret, Andreana P Haley","doi":"10.1186/s12868-024-00905-9","DOIUrl":null,"url":null,"abstract":"<p><strong>Background: </strong>Research has increasingly recognized sex differences in aging and Alzheimer's Disease (AD) susceptibility. However, sex effects on the medial temporal lobe (MTL), a crucial region affected by aging and AD, remain poorly understood when it comes to the intricacies of morphology and functional connectivity. This study aimed to systematically analyze structural and functional connectivity among MTL subregions, which are known to exhibit documented morphological sex differences, during midlife, occurring before the putative pivotal age of cerebral decline. The study sought to explore the hypothesis that these differences in MTL subregion volumes would manifest in sex-related functional distinctions within the broader brain network.</p><p><strong>Methods: </strong>201 cognitively unimpaired adults were included and stratified into four groups according to age and sex (i.e., Women and Men aged 40-50 and 50-60). These participants underwent comprehensive high-resolution structural MRI as well as resting-state functional MRI (rsfMRI). Utilizing established automated segmentation, we delineated MTL subregions and assessed morphological differences through an ANOVA. Subsequently, the CONN toolbox was employed for conducting ROI-to-ROI and Fractional Amplitude of Low-Frequency Fluctuations (fALFF) analyses to investigate functional connectivity within the specific MTL subregions among these distinct groups.</p><p><strong>Results: </strong>Significant differences in volumetric measurements were found primarily between women aged 40-50 and men of all ages, in the posterior hippocampus (pHPC) and the parahippocampal (PHC) cortex (p < 0.001), and, to a lesser extent, between women aged 50-60 and men of all ages (p < 0.05). Other distinctions were observed, but no significant differences in connectivity patterns or fALFF scores were detected between these groups.</p><p><strong>Discussion: </strong>Despite notable sex-related morphological differences in the posterior HPC and PHC regions, women and men appear to share a common pattern of brain connectivity at midlife. Longitudinal analyses are necessary to assess if midlife morphological sex differences in the MTL produce functional changes over time and thus, their potential role in cerebral decline.</p><p><strong>Clinical trial number: </strong>Not applicable.</p>","PeriodicalId":9031,"journal":{"name":"BMC Neuroscience","volume":"25 1","pages":"55"},"PeriodicalIF":2.3000,"publicationDate":"2024-10-25","publicationTypes":"Journal Article","fieldsOfStudy":null,"isOpenAccess":false,"openAccessPdf":"https://www.ncbi.nlm.nih.gov/pmc/articles/PMC11515403/pdf/","citationCount":"0","resultStr":"{\"title\":\"Structural and functional sex differences in medial temporal lobe subregions at midlife.\",\"authors\":\"Marie Caillaud, Isabelle Gallagher, Janelle Foret, Andreana P Haley\",\"doi\":\"10.1186/s12868-024-00905-9\",\"DOIUrl\":null,\"url\":null,\"abstract\":\"<p><strong>Background: </strong>Research has increasingly recognized sex differences in aging and Alzheimer's Disease (AD) susceptibility. However, sex effects on the medial temporal lobe (MTL), a crucial region affected by aging and AD, remain poorly understood when it comes to the intricacies of morphology and functional connectivity. This study aimed to systematically analyze structural and functional connectivity among MTL subregions, which are known to exhibit documented morphological sex differences, during midlife, occurring before the putative pivotal age of cerebral decline. The study sought to explore the hypothesis that these differences in MTL subregion volumes would manifest in sex-related functional distinctions within the broader brain network.</p><p><strong>Methods: </strong>201 cognitively unimpaired adults were included and stratified into four groups according to age and sex (i.e., Women and Men aged 40-50 and 50-60). These participants underwent comprehensive high-resolution structural MRI as well as resting-state functional MRI (rsfMRI). Utilizing established automated segmentation, we delineated MTL subregions and assessed morphological differences through an ANOVA. Subsequently, the CONN toolbox was employed for conducting ROI-to-ROI and Fractional Amplitude of Low-Frequency Fluctuations (fALFF) analyses to investigate functional connectivity within the specific MTL subregions among these distinct groups.</p><p><strong>Results: </strong>Significant differences in volumetric measurements were found primarily between women aged 40-50 and men of all ages, in the posterior hippocampus (pHPC) and the parahippocampal (PHC) cortex (p < 0.001), and, to a lesser extent, between women aged 50-60 and men of all ages (p < 0.05). Other distinctions were observed, but no significant differences in connectivity patterns or fALFF scores were detected between these groups.</p><p><strong>Discussion: </strong>Despite notable sex-related morphological differences in the posterior HPC and PHC regions, women and men appear to share a common pattern of brain connectivity at midlife. Longitudinal analyses are necessary to assess if midlife morphological sex differences in the MTL produce functional changes over time and thus, their potential role in cerebral decline.</p><p><strong>Clinical trial number: </strong>Not applicable.</p>\",\"PeriodicalId\":9031,\"journal\":{\"name\":\"BMC Neuroscience\",\"volume\":\"25 1\",\"pages\":\"55\"},\"PeriodicalIF\":2.3000,\"publicationDate\":\"2024-10-25\",\"publicationTypes\":\"Journal Article\",\"fieldsOfStudy\":null,\"isOpenAccess\":false,\"openAccessPdf\":\"https://www.ncbi.nlm.nih.gov/pmc/articles/PMC11515403/pdf/\",\"citationCount\":\"0\",\"resultStr\":null,\"platform\":\"Semanticscholar\",\"paperid\":null,\"PeriodicalName\":\"BMC Neuroscience\",\"FirstCategoryId\":\"3\",\"ListUrlMain\":\"https://doi.org/10.1186/s12868-024-00905-9\",\"RegionNum\":4,\"RegionCategory\":\"医学\",\"ArticlePicture\":[],\"TitleCN\":null,\"AbstractTextCN\":null,\"PMCID\":null,\"EPubDate\":\"\",\"PubModel\":\"\",\"JCR\":\"Q3\",\"JCRName\":\"NEUROSCIENCES\",\"Score\":null,\"Total\":0}","platform":"Semanticscholar","paperid":null,"PeriodicalName":"BMC Neuroscience","FirstCategoryId":"3","ListUrlMain":"https://doi.org/10.1186/s12868-024-00905-9","RegionNum":4,"RegionCategory":"医学","ArticlePicture":[],"TitleCN":null,"AbstractTextCN":null,"PMCID":null,"EPubDate":"","PubModel":"","JCR":"Q3","JCRName":"NEUROSCIENCES","Score":null,"Total":0}
引用次数: 0

摘要

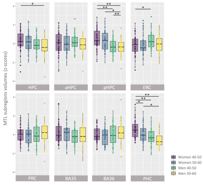
背景:越来越多的研究认识到了衰老和阿尔茨海默病(AD)易感性的性别差异。然而,内侧颞叶(MTL)是受衰老和阿尔茨海默病影响的一个重要区域,其形态和功能连接的复杂性对该区域的性别影响仍然知之甚少。本研究旨在系统分析内侧颞叶亚区之间的结构和功能连接性,众所周知,内侧颞叶亚区在中年时期,即大脑功能衰退的关键年龄之前会表现出形态学上的性别差异。该研究试图探讨这样一个假设,即 MTL 亚区体积的这些差异会在更广泛的大脑网络中表现出与性别相关的功能差异。这些参与者接受了全面的高分辨率结构磁共振成像和静息状态功能磁共振成像(rsfMRI)检查。利用成熟的自动分割技术,我们划分了 MTL 亚区,并通过方差分析评估了形态学差异。随后,我们利用 CONN 工具箱进行了 ROI-to-ROI 和低频波动分数振幅(fALFF)分析,以研究这些不同组间特定 MTL 亚区内的功能连接性:在海马后部(pHPC)和海马旁(PHC)皮层中,40-50 岁女性和所有年龄段男性的体积测量结果存在显著差异(p 讨论):尽管在海马后部和海马旁皮层区域存在明显的性别形态差异,但女性和男性在中年时的大脑连通性似乎具有共同的模式。有必要进行纵向分析,以评估中年期MTL的形态学性别差异是否会随着时间的推移而产生功能性变化,进而评估其在大脑功能衰退中的潜在作用:临床试验编号:不适用。
本文章由计算机程序翻译,如有差异,请以英文原文为准。

Structural and functional sex differences in medial temporal lobe subregions at midlife.

Structural and functional sex differences in medial temporal lobe subregions at midlife.

Structural and functional sex differences in medial temporal lobe subregions at midlife.

Structural and functional sex differences in medial temporal lobe subregions at midlife.

Background: Research has increasingly recognized sex differences in aging and Alzheimer's Disease (AD) susceptibility. However, sex effects on the medial temporal lobe (MTL), a crucial region affected by aging and AD, remain poorly understood when it comes to the intricacies of morphology and functional connectivity. This study aimed to systematically analyze structural and functional connectivity among MTL subregions, which are known to exhibit documented morphological sex differences, during midlife, occurring before the putative pivotal age of cerebral decline. The study sought to explore the hypothesis that these differences in MTL subregion volumes would manifest in sex-related functional distinctions within the broader brain network.

Methods: 201 cognitively unimpaired adults were included and stratified into four groups according to age and sex (i.e., Women and Men aged 40-50 and 50-60). These participants underwent comprehensive high-resolution structural MRI as well as resting-state functional MRI (rsfMRI). Utilizing established automated segmentation, we delineated MTL subregions and assessed morphological differences through an ANOVA. Subsequently, the CONN toolbox was employed for conducting ROI-to-ROI and Fractional Amplitude of Low-Frequency Fluctuations (fALFF) analyses to investigate functional connectivity within the specific MTL subregions among these distinct groups.

Results: Significant differences in volumetric measurements were found primarily between women aged 40-50 and men of all ages, in the posterior hippocampus (pHPC) and the parahippocampal (PHC) cortex (p < 0.001), and, to a lesser extent, between women aged 50-60 and men of all ages (p < 0.05). Other distinctions were observed, but no significant differences in connectivity patterns or fALFF scores were detected between these groups.

Discussion: Despite notable sex-related morphological differences in the posterior HPC and PHC regions, women and men appear to share a common pattern of brain connectivity at midlife. Longitudinal analyses are necessary to assess if midlife morphological sex differences in the MTL produce functional changes over time and thus, their potential role in cerebral decline.

Clinical trial number: Not applicable.

求助全文
通过发布文献求助,成功后即可免费获取论文全文。 去求助
来源期刊
BMC Neuroscience
BMC Neuroscience 医学-神经科学
CiteScore
3.90
自引率
0.00%
发文量
64
审稿时长
16 months
期刊介绍: BMC Neuroscience is an open access, peer-reviewed journal that considers articles on all aspects of neuroscience, welcoming studies that provide insight into the molecular, cellular, developmental, genetic and genomic, systems, network, cognitive and behavioral aspects of nervous system function in both health and disease. Both experimental and theoretical studies are within scope, as are studies that describe methodological approaches to monitoring or manipulating nervous system function.
×
引用
GB/T 7714-2015
复制
MLA
复制
APA
复制
导出至
BibTeX EndNote RefMan NoteFirst NoteExpress
×
提示
您的信息不完整,为了账户安全,请先补充。
现在去补充
×
提示
您因"违规操作"
具体请查看互助需知
我知道了
×
提示
确定
请完成安全验证×
copy
已复制链接
快去分享给好友吧!
我知道了
右上角分享
点击右上角分享
0
联系我们:info@booksci.cn Book学术提供免费学术资源搜索服务,方便国内外学者检索中英文文献。致力于提供最便捷和优质的服务体验。 Copyright © 2023 布克学术 All rights reserved.
京ICP备2023020795号-1
ghs 京公网安备 11010802042870号
Book学术文献互助
Book学术文献互助群
群 号:604180095
Book学术官方微信