鞘翅目:猩红夜蛾科)成虫的空间分布和固定精度顺序采样计划:叶面杀虫剂的影响。

IF 3 Q1 ENTOMOLOGY
Frontiers in insect science Pub Date : 2024-10-02 eCollection Date: 2024-01-01 DOI:10.3389/finsc.2024.1465829
Adam G Toninato, Eric C Burkness, William D Hutchison
{"title":"鞘翅目:猩红夜蛾科)成虫的空间分布和固定精度顺序采样计划:叶面杀虫剂的影响。","authors":"Adam G Toninato, Eric C Burkness, William D Hutchison","doi":"10.3389/finsc.2024.1465829","DOIUrl":null,"url":null,"abstract":"<p><p>The Japanese beetle, <i>Popillia japonica</i> Newman (Coleoptera: Scarabaeidae), an invasive species from northern Japan, was first detected in Minnesota in 1968. According to fruit growers and the Minnesota Department of Agriculture, population size and feeding damage has been an increasing concern since 2010. Based on trap-catch data, populations have recently exceeded 4,000 beetles/trap/week during July-August near raspberry fields, and can increase by an order of magnitude within 7-10 days. The primary goals of this study were to assess the spatial distribution of <i>P. japonica</i> adults in raspberry, and to develop and validate a practical fixed-precision sequential sampling plan for grower use. Taylor's Power Law (TPL) regression was used to characterize the beetle's spatial pattern in research plots and commercial fields, either with or without insecticide applications. We then used Green's plan to develop an enumerative sequential sampling plan to estimate <i>P. japonica</i> density in primocane raspberry. Beetle population data were collected at two locations in southern Minnesota, including the Rosemount Research and Outreach Center, and a commercial field near Forest Lake. The TPL results, via slope comparisons, indicated no significant differences in <i>P. japonica</i> spatial pattern between insecticide treated plots versus untreated plots, or among 4 different insecticides (P>0.05). Utilizing all spatial pattern data, we characterized the distribution of <i>P. japonica</i> beetles to be highly aggregated in raspberry, with TPL slopes ranging from b = 1.38 to 1.55; all slopes were found to be >1.0. Although the slopes were not significantly different, we accounted for variability in spatial pattern by using 33 independent data sets, and the Resampling for Validation of Sampling Plans (RVSP) model to validate a sampling plan with a final average precision level of 0.25 (SEM/mean), recommended for integrated pest management (IPM) purposes. The final sampling plan required an average sample number of only 15, 1-m-row samples, while providing high relative net precision (RNP), and thus a cost-effective, efficient sample plan for growers.</p>","PeriodicalId":517424,"journal":{"name":"Frontiers in insect science","volume":"4 ","pages":"1465829"},"PeriodicalIF":3.0000,"publicationDate":"2024-10-02","publicationTypes":"Journal Article","fieldsOfStudy":null,"isOpenAccess":false,"openAccessPdf":"https://www.ncbi.nlm.nih.gov/pmc/articles/PMC11479985/pdf/","citationCount":"0","resultStr":"{\"title\":\"Spatial distribution and fixed-precision sequential sampling plans for <i>Popillia japonica</i> (Coleoptera: Scarabaeidae) adults in primocane raspberry: influence of foliar insecticides.\",\"authors\":\"Adam G Toninato, Eric C Burkness, William D Hutchison\",\"doi\":\"10.3389/finsc.2024.1465829\",\"DOIUrl\":null,\"url\":null,\"abstract\":\"<p><p>The Japanese beetle, <i>Popillia japonica</i> Newman (Coleoptera: Scarabaeidae), an invasive species from northern Japan, was first detected in Minnesota in 1968. According to fruit growers and the Minnesota Department of Agriculture, population size and feeding damage has been an increasing concern since 2010. Based on trap-catch data, populations have recently exceeded 4,000 beetles/trap/week during July-August near raspberry fields, and can increase by an order of magnitude within 7-10 days. The primary goals of this study were to assess the spatial distribution of <i>P. japonica</i> adults in raspberry, and to develop and validate a practical fixed-precision sequential sampling plan for grower use. Taylor's Power Law (TPL) regression was used to characterize the beetle's spatial pattern in research plots and commercial fields, either with or without insecticide applications. We then used Green's plan to develop an enumerative sequential sampling plan to estimate <i>P. japonica</i> density in primocane raspberry. Beetle population data were collected at two locations in southern Minnesota, including the Rosemount Research and Outreach Center, and a commercial field near Forest Lake. The TPL results, via slope comparisons, indicated no significant differences in <i>P. japonica</i> spatial pattern between insecticide treated plots versus untreated plots, or among 4 different insecticides (P>0.05). Utilizing all spatial pattern data, we characterized the distribution of <i>P. japonica</i> beetles to be highly aggregated in raspberry, with TPL slopes ranging from b = 1.38 to 1.55; all slopes were found to be >1.0. Although the slopes were not significantly different, we accounted for variability in spatial pattern by using 33 independent data sets, and the Resampling for Validation of Sampling Plans (RVSP) model to validate a sampling plan with a final average precision level of 0.25 (SEM/mean), recommended for integrated pest management (IPM) purposes. The final sampling plan required an average sample number of only 15, 1-m-row samples, while providing high relative net precision (RNP), and thus a cost-effective, efficient sample plan for growers.</p>\",\"PeriodicalId\":517424,\"journal\":{\"name\":\"Frontiers in insect science\",\"volume\":\"4 \",\"pages\":\"1465829\"},\"PeriodicalIF\":3.0000,\"publicationDate\":\"2024-10-02\",\"publicationTypes\":\"Journal Article\",\"fieldsOfStudy\":null,\"isOpenAccess\":false,\"openAccessPdf\":\"https://www.ncbi.nlm.nih.gov/pmc/articles/PMC11479985/pdf/\",\"citationCount\":\"0\",\"resultStr\":null,\"platform\":\"Semanticscholar\",\"paperid\":null,\"PeriodicalName\":\"Frontiers in insect science\",\"FirstCategoryId\":\"1085\",\"ListUrlMain\":\"https://doi.org/10.3389/finsc.2024.1465829\",\"RegionNum\":0,\"RegionCategory\":null,\"ArticlePicture\":[],\"TitleCN\":null,\"AbstractTextCN\":null,\"PMCID\":null,\"EPubDate\":\"2024/1/1 0:00:00\",\"PubModel\":\"eCollection\",\"JCR\":\"Q1\",\"JCRName\":\"ENTOMOLOGY\",\"Score\":null,\"Total\":0}","platform":"Semanticscholar","paperid":null,"PeriodicalName":"Frontiers in insect science","FirstCategoryId":"1085","ListUrlMain":"https://doi.org/10.3389/finsc.2024.1465829","RegionNum":0,"RegionCategory":null,"ArticlePicture":[],"TitleCN":null,"AbstractTextCN":null,"PMCID":null,"EPubDate":"2024/1/1 0:00:00","PubModel":"eCollection","JCR":"Q1","JCRName":"ENTOMOLOGY","Score":null,"Total":0}
引用次数: 0

摘要

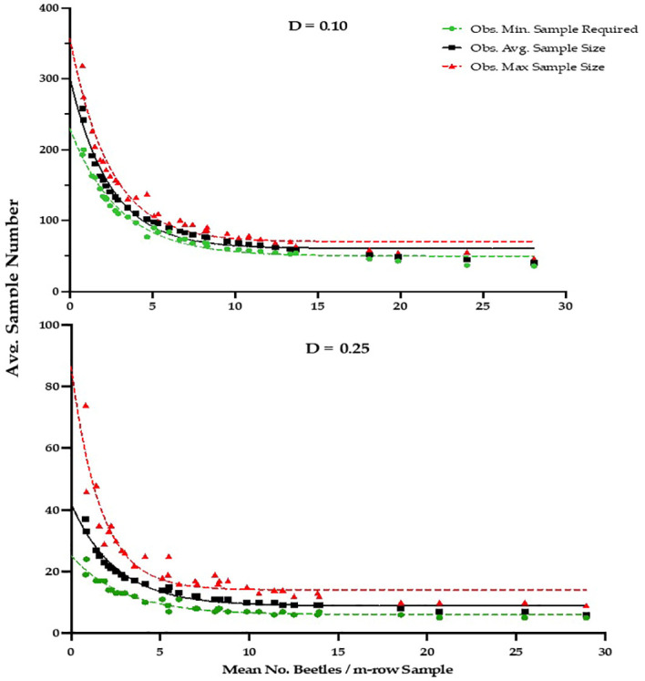
日本甲虫 Popillia japonica Newman(鞘翅目:猩红甲科)是来自日本北部的入侵物种,于 1968 年首次在明尼苏达州被发现。据水果种植者和明尼苏达州农业部称,自 2010 年以来,该物种的种群数量和取食危害日益受到关注。根据诱捕器捕获的数据,最近树莓田附近的甲虫种群数量在 7-8 月间已超过 4000 头/诱捕器/周,并可在 7-10 天内增加一个数量级。本研究的主要目标是评估树莓中 P. japonica 成虫的空间分布,并开发和验证供种植者使用的实用固定精度顺序采样计划。我们使用泰勒幂律(TPL)回归法来描述甲虫在施用或未施用杀虫剂的研究地块和商业田块中的空间分布模式。然后,我们利用格林计划制定了一个枚举式顺序采样计划,以估算 P. japonica 在初生树莓中的密度。我们在明尼苏达州南部的两个地点收集了甲虫种群数据,包括罗斯蒙特研究与推广中心和森林湖附近的一块商业田地。通过斜率比较得出的 TPL 结果表明,杀虫剂处理过的地块与未处理过的地块之间,或 4 种不同杀虫剂之间的 P. japonica 空间模式没有显著差异(P>0.05)。利用所有空间模式数据,我们发现树莓中的金龟子分布高度聚集,TPL斜率从b = 1.38到1.55不等;所有斜率均大于1.0。虽然斜率没有明显差异,但我们通过使用 33 个独立数据集和采样计划验证重采样(RVSP)模型来考虑空间模式的变异性,以验证采样计划,最终平均精度水平为 0.25(SEM/均值),推荐用于害虫综合治理(IPM)。最终的取样计划平均只需要 15 个 1 米行距的样本,同时提供了较高的相对净精度 (RNP),从而为种植者提供了一个经济高效的取样计划。
本文章由计算机程序翻译,如有差异,请以英文原文为准。

Spatial distribution and fixed-precision sequential sampling plans for <i>Popillia japonica</i> (Coleoptera: Scarabaeidae) adults in primocane raspberry: influence of foliar insecticides.

Spatial distribution and fixed-precision sequential sampling plans for <i>Popillia japonica</i> (Coleoptera: Scarabaeidae) adults in primocane raspberry: influence of foliar insecticides.

Spatial distribution and fixed-precision sequential sampling plans for Popillia japonica (Coleoptera: Scarabaeidae) adults in primocane raspberry: influence of foliar insecticides.

The Japanese beetle, Popillia japonica Newman (Coleoptera: Scarabaeidae), an invasive species from northern Japan, was first detected in Minnesota in 1968. According to fruit growers and the Minnesota Department of Agriculture, population size and feeding damage has been an increasing concern since 2010. Based on trap-catch data, populations have recently exceeded 4,000 beetles/trap/week during July-August near raspberry fields, and can increase by an order of magnitude within 7-10 days. The primary goals of this study were to assess the spatial distribution of P. japonica adults in raspberry, and to develop and validate a practical fixed-precision sequential sampling plan for grower use. Taylor's Power Law (TPL) regression was used to characterize the beetle's spatial pattern in research plots and commercial fields, either with or without insecticide applications. We then used Green's plan to develop an enumerative sequential sampling plan to estimate P. japonica density in primocane raspberry. Beetle population data were collected at two locations in southern Minnesota, including the Rosemount Research and Outreach Center, and a commercial field near Forest Lake. The TPL results, via slope comparisons, indicated no significant differences in P. japonica spatial pattern between insecticide treated plots versus untreated plots, or among 4 different insecticides (P>0.05). Utilizing all spatial pattern data, we characterized the distribution of P. japonica beetles to be highly aggregated in raspberry, with TPL slopes ranging from b = 1.38 to 1.55; all slopes were found to be >1.0. Although the slopes were not significantly different, we accounted for variability in spatial pattern by using 33 independent data sets, and the Resampling for Validation of Sampling Plans (RVSP) model to validate a sampling plan with a final average precision level of 0.25 (SEM/mean), recommended for integrated pest management (IPM) purposes. The final sampling plan required an average sample number of only 15, 1-m-row samples, while providing high relative net precision (RNP), and thus a cost-effective, efficient sample plan for growers.

求助全文
通过发布文献求助,成功后即可免费获取论文全文。 去求助
来源期刊
CiteScore
1.80
自引率
0.00%
发文量
0
×
引用
GB/T 7714-2015
复制
MLA
复制
APA
复制
导出至
BibTeX EndNote RefMan NoteFirst NoteExpress
×
提示
您的信息不完整,为了账户安全,请先补充。
现在去补充
×
提示
您因"违规操作"
具体请查看互助需知
我知道了
×
提示
确定
请完成安全验证×
copy
已复制链接
快去分享给好友吧!
我知道了
右上角分享
点击右上角分享
0
联系我们:info@booksci.cn Book学术提供免费学术资源搜索服务,方便国内外学者检索中英文文献。致力于提供最便捷和优质的服务体验。 Copyright © 2023 布克学术 All rights reserved.
京ICP备2023020795号-1
ghs 京公网安备 11010802042870号
Book学术文献互助
Book学术文献互助群
群 号:604180095
Book学术官方微信