Flordaguard "和 "MP-29 "李属砧木对缺氧和高根区温度的反应。

Q3 Agricultural and Biological Sciences
Plant-environment interactions (Hoboken, N.J.) Pub Date : 2024-10-14 eCollection Date: 2024-10-01 DOI:10.1002/pei3.70007
Logan Richmond-Cosie, Bruce Schaffer, Muhammad A Shahid, José X Chaparro, Ali Sarkhosh
{"title":"Flordaguard \"和 \"MP-29 \"李属砧木对缺氧和高根区温度的反应。","authors":"Logan Richmond-Cosie, Bruce Schaffer, Muhammad A Shahid, José X Chaparro, Ali Sarkhosh","doi":"10.1002/pei3.70007","DOIUrl":null,"url":null,"abstract":"<p><p>Selecting the right rootstock is crucial for successful fruit production and managing both biotic and abiotic stresses in commercial fruit orchards. To enhance the resilience of peach orchards, this study evaluated the physiological and biochemical responses of <i>Prunus</i> spp. rootstocks , 'Flordaguard' and 'MP-29,' under normoxia (sufficient oxygen content) or short-term hypoxia (low-oxygen content) and ambient or high temperature (40°C) in the root zone. Physiological responses measured were net photosynthesis, stomatal conductance, transpiration, intercellular CO<sub>2</sub> concentration, water use efficiency, the leaf chlorophyll index, and the maximum potential quantum efficiency of photosystem II. The leaf concentrations of nitrogen, phosphorus, potassium, magnesium, calcium, sulfur, boron, zinc, manganese, iron, and copper were also analyzed. Reactive oxygen species (ROS) and antioxidants analyzed were superoxide dismutase (SOD) activity, peroxidase (POD) activity, catalase (CAT) activity, ascorbate peroxidase (APX) activity, glutathione peroxidase (GPX) activity, proline content, glycine betaine content (GB), lipid peroxidation (LPO), superoxide (O<sub>2</sub> <sup>-</sup>) concentration, and hydrogen peroxide (H<sub>2</sub>O<sub>2</sub>) concentration. When subjected to root zone hypoxia or high temperature individually, 'MP-29' performed better physiologically than 'Flordaguard'. However, when root zone hypoxia and high temperature were combined, 'MP-29' performed better biochemically with enhanced antioxidant activity, osmolyte content, and nutrient absorption. Nutrient analysis of leaves revealed that 'MP-29' had higher N, P, K, Ca, and B concentrations than 'Flordaguard'. Consequently, 'MP-29' demonstrated greater tolerance to short-term exposure to the combined effects of high root zone temperature and hypoxia. This research contributes to identifying a suitable rootstock within the <i>Prunus</i> genus able to withstand root zone conditions that often result from severe weather events commonly experienced in Florida and other parts of the world.</p>","PeriodicalId":74457,"journal":{"name":"Plant-environment interactions (Hoboken, N.J.)","volume":"5 5","pages":"e70007"},"PeriodicalIF":0.0000,"publicationDate":"2024-10-14","publicationTypes":"Journal Article","fieldsOfStudy":null,"isOpenAccess":false,"openAccessPdf":"https://www.ncbi.nlm.nih.gov/pmc/articles/PMC11472804/pdf/","citationCount":"0","resultStr":"{\"title\":\"Responses of 'Flordaguard' and 'MP-29' <i>Prunus</i> spp. rootstocks to hypoxia and high root zone temperature.\",\"authors\":\"Logan Richmond-Cosie, Bruce Schaffer, Muhammad A Shahid, José X Chaparro, Ali Sarkhosh\",\"doi\":\"10.1002/pei3.70007\",\"DOIUrl\":null,\"url\":null,\"abstract\":\"<p><p>Selecting the right rootstock is crucial for successful fruit production and managing both biotic and abiotic stresses in commercial fruit orchards. To enhance the resilience of peach orchards, this study evaluated the physiological and biochemical responses of <i>Prunus</i> spp. rootstocks , 'Flordaguard' and 'MP-29,' under normoxia (sufficient oxygen content) or short-term hypoxia (low-oxygen content) and ambient or high temperature (40°C) in the root zone. Physiological responses measured were net photosynthesis, stomatal conductance, transpiration, intercellular CO<sub>2</sub> concentration, water use efficiency, the leaf chlorophyll index, and the maximum potential quantum efficiency of photosystem II. The leaf concentrations of nitrogen, phosphorus, potassium, magnesium, calcium, sulfur, boron, zinc, manganese, iron, and copper were also analyzed. Reactive oxygen species (ROS) and antioxidants analyzed were superoxide dismutase (SOD) activity, peroxidase (POD) activity, catalase (CAT) activity, ascorbate peroxidase (APX) activity, glutathione peroxidase (GPX) activity, proline content, glycine betaine content (GB), lipid peroxidation (LPO), superoxide (O<sub>2</sub> <sup>-</sup>) concentration, and hydrogen peroxide (H<sub>2</sub>O<sub>2</sub>) concentration. When subjected to root zone hypoxia or high temperature individually, 'MP-29' performed better physiologically than 'Flordaguard'. However, when root zone hypoxia and high temperature were combined, 'MP-29' performed better biochemically with enhanced antioxidant activity, osmolyte content, and nutrient absorption. Nutrient analysis of leaves revealed that 'MP-29' had higher N, P, K, Ca, and B concentrations than 'Flordaguard'. Consequently, 'MP-29' demonstrated greater tolerance to short-term exposure to the combined effects of high root zone temperature and hypoxia. This research contributes to identifying a suitable rootstock within the <i>Prunus</i> genus able to withstand root zone conditions that often result from severe weather events commonly experienced in Florida and other parts of the world.</p>\",\"PeriodicalId\":74457,\"journal\":{\"name\":\"Plant-environment interactions (Hoboken, N.J.)\",\"volume\":\"5 5\",\"pages\":\"e70007\"},\"PeriodicalIF\":0.0000,\"publicationDate\":\"2024-10-14\",\"publicationTypes\":\"Journal Article\",\"fieldsOfStudy\":null,\"isOpenAccess\":false,\"openAccessPdf\":\"https://www.ncbi.nlm.nih.gov/pmc/articles/PMC11472804/pdf/\",\"citationCount\":\"0\",\"resultStr\":null,\"platform\":\"Semanticscholar\",\"paperid\":null,\"PeriodicalName\":\"Plant-environment interactions (Hoboken, N.J.)\",\"FirstCategoryId\":\"1085\",\"ListUrlMain\":\"https://doi.org/10.1002/pei3.70007\",\"RegionNum\":0,\"RegionCategory\":null,\"ArticlePicture\":[],\"TitleCN\":null,\"AbstractTextCN\":null,\"PMCID\":null,\"EPubDate\":\"2024/10/1 0:00:00\",\"PubModel\":\"eCollection\",\"JCR\":\"Q3\",\"JCRName\":\"Agricultural and Biological Sciences\",\"Score\":null,\"Total\":0}","platform":"Semanticscholar","paperid":null,"PeriodicalName":"Plant-environment interactions (Hoboken, N.J.)","FirstCategoryId":"1085","ListUrlMain":"https://doi.org/10.1002/pei3.70007","RegionNum":0,"RegionCategory":null,"ArticlePicture":[],"TitleCN":null,"AbstractTextCN":null,"PMCID":null,"EPubDate":"2024/10/1 0:00:00","PubModel":"eCollection","JCR":"Q3","JCRName":"Agricultural and Biological Sciences","Score":null,"Total":0}
引用次数: 0

摘要

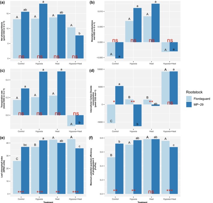
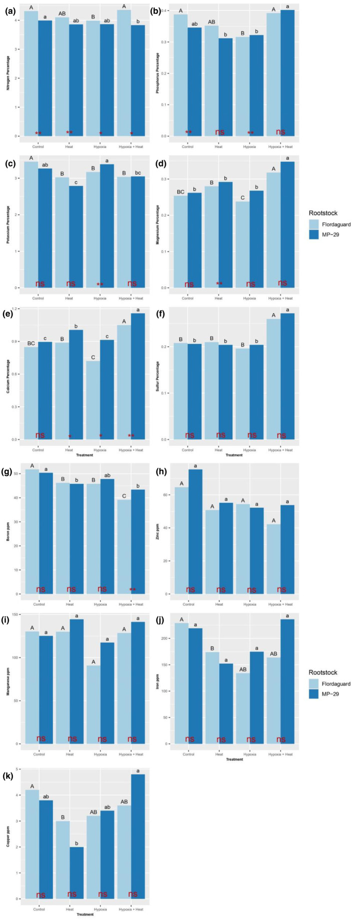
选择合适的砧木对于成功生产水果以及管理商业果园中的生物和非生物压力至关重要。为了提高桃园的抗逆性,本研究评估了砧木 "Flordaguard "和 "MP-29 "在根区常氧(氧气含量充足)或短期缺氧(氧气含量低)以及环境温度或高温(40°C)条件下的生理和生化反应。测量的生理反应包括净光合作用、气孔导度、蒸腾作用、细胞间二氧化碳浓度、水分利用效率、叶片叶绿素指数和光系统 II 的最大潜在量子效率。还分析了叶片中氮、磷、钾、镁、钙、硫、硼、锌、锰、铁和铜的浓度。分析的活性氧(ROS)和抗氧化剂包括超氧化物歧化酶(SOD)活性、过氧化物酶(POD)活性、过氧化氢酶(CAT)活性、抗坏血酸过氧化物酶(APX)活性、谷胱甘肽过氧化物酶(GPX)活性、脯氨酸含量、甘氨酸甜菜碱含量(GB)、脂质过氧化物(LPO)、超氧化物(O2 -)浓度和过氧化氢(H2O2)浓度。在根区缺氧或高温条件下,'MP-29'的生理表现优于'Flordaguard'。然而,当根区缺氧和高温同时存在时,'MP-29'的生化表现更好,其抗氧化活性、渗透溶质含量和养分吸收能力都有所提高。叶片的养分分析表明,'MP-29'的氮、磷、钾、钙和硼含量高于'Flordaguard'。因此,'MP-29'对短期暴露于根区高温和缺氧的综合影响具有更强的耐受性。这项研究有助于在樱桃属植物中找到一种合适的砧木,能够承受佛罗里达州和世界其他地区常见的恶劣天气所造成的根区条件。
本文章由计算机程序翻译,如有差异,请以英文原文为准。

Responses of 'Flordaguard' and 'MP-29' <i>Prunus</i> spp. rootstocks to hypoxia and high root zone temperature.

Responses of 'Flordaguard' and 'MP-29' <i>Prunus</i> spp. rootstocks to hypoxia and high root zone temperature.

Responses of 'Flordaguard' and 'MP-29' <i>Prunus</i> spp. rootstocks to hypoxia and high root zone temperature.

Responses of 'Flordaguard' and 'MP-29' Prunus spp. rootstocks to hypoxia and high root zone temperature.

Selecting the right rootstock is crucial for successful fruit production and managing both biotic and abiotic stresses in commercial fruit orchards. To enhance the resilience of peach orchards, this study evaluated the physiological and biochemical responses of Prunus spp. rootstocks , 'Flordaguard' and 'MP-29,' under normoxia (sufficient oxygen content) or short-term hypoxia (low-oxygen content) and ambient or high temperature (40°C) in the root zone. Physiological responses measured were net photosynthesis, stomatal conductance, transpiration, intercellular CO2 concentration, water use efficiency, the leaf chlorophyll index, and the maximum potential quantum efficiency of photosystem II. The leaf concentrations of nitrogen, phosphorus, potassium, magnesium, calcium, sulfur, boron, zinc, manganese, iron, and copper were also analyzed. Reactive oxygen species (ROS) and antioxidants analyzed were superoxide dismutase (SOD) activity, peroxidase (POD) activity, catalase (CAT) activity, ascorbate peroxidase (APX) activity, glutathione peroxidase (GPX) activity, proline content, glycine betaine content (GB), lipid peroxidation (LPO), superoxide (O2 -) concentration, and hydrogen peroxide (H2O2) concentration. When subjected to root zone hypoxia or high temperature individually, 'MP-29' performed better physiologically than 'Flordaguard'. However, when root zone hypoxia and high temperature were combined, 'MP-29' performed better biochemically with enhanced antioxidant activity, osmolyte content, and nutrient absorption. Nutrient analysis of leaves revealed that 'MP-29' had higher N, P, K, Ca, and B concentrations than 'Flordaguard'. Consequently, 'MP-29' demonstrated greater tolerance to short-term exposure to the combined effects of high root zone temperature and hypoxia. This research contributes to identifying a suitable rootstock within the Prunus genus able to withstand root zone conditions that often result from severe weather events commonly experienced in Florida and other parts of the world.

求助全文
通过发布文献求助,成功后即可免费获取论文全文。 去求助
来源期刊
CiteScore
2.70
自引率
0.00%
发文量
0
审稿时长
15 weeks
×
引用
GB/T 7714-2015
复制
MLA
复制
APA
复制
导出至
BibTeX EndNote RefMan NoteFirst NoteExpress
×
提示
您的信息不完整,为了账户安全,请先补充。
现在去补充
×
提示
您因"违规操作"
具体请查看互助需知
我知道了
×
提示
确定
请完成安全验证×
copy
已复制链接
快去分享给好友吧!
我知道了
右上角分享
点击右上角分享
0
联系我们:info@booksci.cn Book学术提供免费学术资源搜索服务,方便国内外学者检索中英文文献。致力于提供最便捷和优质的服务体验。 Copyright © 2023 布克学术 All rights reserved.
京ICP备2023020795号-1
ghs 京公网安备 11010802042870号
Book学术文献互助
Book学术文献互助群
群 号:604180095
Book学术官方微信