以长圈比赛为特色:克里奥洛马的饲养和训练概况以及运动前后的血液变化。

Brazilian journal of veterinary medicine Pub Date : 2024-10-11 eCollection Date: 2024-01-01 DOI:10.29374/2527-2179.bjvm005723
Andrielli Trentim Pereira, Ricardo Pozzobon, Bruno Leite Dos Anjos, Alfredo Rafael Kunz, Leonardo Trentin Chaves, Erika Carla Smilgys, Bárbara da Silva Andrade, Vinícius Leobet Lunkes, Cinthia Melazzo de Andrade, Márcio Machado Costa
{"title":"以长圈比赛为特色:克里奥洛马的饲养和训练概况以及运动前后的血液变化。","authors":"Andrielli Trentim Pereira, Ricardo Pozzobon, Bruno Leite Dos Anjos, Alfredo Rafael Kunz, Leonardo Trentin Chaves, Erika Carla Smilgys, Bárbara da Silva Andrade, Vinícius Leobet Lunkes, Cinthia Melazzo de Andrade, Márcio Machado Costa","doi":"10.29374/2527-2179.bjvm005723","DOIUrl":null,"url":null,"abstract":"<p><p>Long-loop rodeo is a major competition for Criollo horses. We aimed to feature long-loop tournaments and to assess the profiles of competing horses. The animals (n = 49) were registered, and their body mass/scores, information about breeding, feeding, and training management, loaded weight, and tournament track (n = 11) were collected; speeds reached were estimated. Heart and respiratory rates of horses (n = 27) were collected before the tournament, on the final day of the event, and 18-24 h after the end of the tournament. Blood samples were collected from the animals at the same time. Blood count (n = 19) and biochemical profile (n = 28) were conducted based on total proteins, albumin, globulin, phosphorus, sodium, potassium, urea, creatinine, glucose, triglycerides, and cholesterol. Data were assessed using analysis of variance in association with Tukey's test (P ≤0.05) and Spearman's correlation (P ≤0.05). Most horses were bred in a semi-stable system, fed roughage and concentrate, and subjected to non-standardized training. The tournament comprised a high-intensity and short-duration exercise with a mean speed of 6.44 m/s, during which the horses carried 25.59% of their body weight on their backs. Clinical evaluations and hematological and biochemical assessments in this study showed physiological changes caused by exercise.</p>","PeriodicalId":72458,"journal":{"name":"Brazilian journal of veterinary medicine","volume":"46 ","pages":"e005723"},"PeriodicalIF":0.0000,"publicationDate":"2024-10-11","publicationTypes":"Journal Article","fieldsOfStudy":null,"isOpenAccess":false,"openAccessPdf":"https://www.ncbi.nlm.nih.gov/pmc/articles/PMC11483120/pdf/","citationCount":"0","resultStr":"{\"title\":\"Featuring long-loop tournaments: breeding and training profiles and blood changes in criollo horses before and after exercise.\",\"authors\":\"Andrielli Trentim Pereira, Ricardo Pozzobon, Bruno Leite Dos Anjos, Alfredo Rafael Kunz, Leonardo Trentin Chaves, Erika Carla Smilgys, Bárbara da Silva Andrade, Vinícius Leobet Lunkes, Cinthia Melazzo de Andrade, Márcio Machado Costa\",\"doi\":\"10.29374/2527-2179.bjvm005723\",\"DOIUrl\":null,\"url\":null,\"abstract\":\"<p><p>Long-loop rodeo is a major competition for Criollo horses. We aimed to feature long-loop tournaments and to assess the profiles of competing horses. The animals (n = 49) were registered, and their body mass/scores, information about breeding, feeding, and training management, loaded weight, and tournament track (n = 11) were collected; speeds reached were estimated. Heart and respiratory rates of horses (n = 27) were collected before the tournament, on the final day of the event, and 18-24 h after the end of the tournament. Blood samples were collected from the animals at the same time. Blood count (n = 19) and biochemical profile (n = 28) were conducted based on total proteins, albumin, globulin, phosphorus, sodium, potassium, urea, creatinine, glucose, triglycerides, and cholesterol. Data were assessed using analysis of variance in association with Tukey's test (P ≤0.05) and Spearman's correlation (P ≤0.05). Most horses were bred in a semi-stable system, fed roughage and concentrate, and subjected to non-standardized training. The tournament comprised a high-intensity and short-duration exercise with a mean speed of 6.44 m/s, during which the horses carried 25.59% of their body weight on their backs. Clinical evaluations and hematological and biochemical assessments in this study showed physiological changes caused by exercise.</p>\",\"PeriodicalId\":72458,\"journal\":{\"name\":\"Brazilian journal of veterinary medicine\",\"volume\":\"46 \",\"pages\":\"e005723\"},\"PeriodicalIF\":0.0000,\"publicationDate\":\"2024-10-11\",\"publicationTypes\":\"Journal Article\",\"fieldsOfStudy\":null,\"isOpenAccess\":false,\"openAccessPdf\":\"https://www.ncbi.nlm.nih.gov/pmc/articles/PMC11483120/pdf/\",\"citationCount\":\"0\",\"resultStr\":null,\"platform\":\"Semanticscholar\",\"paperid\":null,\"PeriodicalName\":\"Brazilian journal of veterinary medicine\",\"FirstCategoryId\":\"1085\",\"ListUrlMain\":\"https://doi.org/10.29374/2527-2179.bjvm005723\",\"RegionNum\":0,\"RegionCategory\":null,\"ArticlePicture\":[],\"TitleCN\":null,\"AbstractTextCN\":null,\"PMCID\":null,\"EPubDate\":\"2024/1/1 0:00:00\",\"PubModel\":\"eCollection\",\"JCR\":\"\",\"JCRName\":\"\",\"Score\":null,\"Total\":0}","platform":"Semanticscholar","paperid":null,"PeriodicalName":"Brazilian journal of veterinary medicine","FirstCategoryId":"1085","ListUrlMain":"https://doi.org/10.29374/2527-2179.bjvm005723","RegionNum":0,"RegionCategory":null,"ArticlePicture":[],"TitleCN":null,"AbstractTextCN":null,"PMCID":null,"EPubDate":"2024/1/1 0:00:00","PubModel":"eCollection","JCR":"","JCRName":"","Score":null,"Total":0}
引用次数: 0

摘要

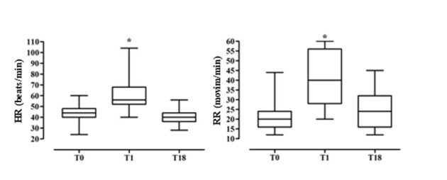
长圈竞技是克里奥洛马匹的一项重要比赛。我们的目的是介绍长环竞技比赛,并评估参赛马匹的概况。我们对参赛马匹(49 匹)进行了登记,并收集了它们的体重/得分、饲养、喂养和训练管理信息、负重和比赛轨迹(11 匹);还估算了它们达到的速度。在比赛前、比赛最后一天和比赛结束后 18-24 小时收集马匹(n = 27)的心率和呼吸频率。同时还采集了马匹的血液样本。根据总蛋白、白蛋白、球蛋白、磷、钠、钾、尿素、肌酐、葡萄糖、甘油三酯和胆固醇进行了血细胞计数(19 只)和生化分析(28 只)。数据采用方差分析和 Tukey 检验(P ≤0.05)以及 Spearman 相关性(P ≤0.05)进行评估。大多数马匹在半马厩系统中饲养,饲喂粗饲料和精料,并接受非标准化训练。比赛包括高强度、短时间的运动,平均速度为 6.44 米/秒,期间马匹背负 25.59% 的体重。这项研究中的临床评估以及血液学和生物化学评估显示了运动引起的生理变化。
本文章由计算机程序翻译,如有差异,请以英文原文为准。

Featuring long-loop tournaments: breeding and training profiles and blood changes in criollo horses before and after exercise.

Featuring long-loop tournaments: breeding and training profiles and blood changes in criollo horses before and after exercise.

Featuring long-loop tournaments: breeding and training profiles and blood changes in criollo horses before and after exercise.

Featuring long-loop tournaments: breeding and training profiles and blood changes in criollo horses before and after exercise.

Long-loop rodeo is a major competition for Criollo horses. We aimed to feature long-loop tournaments and to assess the profiles of competing horses. The animals (n = 49) were registered, and their body mass/scores, information about breeding, feeding, and training management, loaded weight, and tournament track (n = 11) were collected; speeds reached were estimated. Heart and respiratory rates of horses (n = 27) were collected before the tournament, on the final day of the event, and 18-24 h after the end of the tournament. Blood samples were collected from the animals at the same time. Blood count (n = 19) and biochemical profile (n = 28) were conducted based on total proteins, albumin, globulin, phosphorus, sodium, potassium, urea, creatinine, glucose, triglycerides, and cholesterol. Data were assessed using analysis of variance in association with Tukey's test (P ≤0.05) and Spearman's correlation (P ≤0.05). Most horses were bred in a semi-stable system, fed roughage and concentrate, and subjected to non-standardized training. The tournament comprised a high-intensity and short-duration exercise with a mean speed of 6.44 m/s, during which the horses carried 25.59% of their body weight on their backs. Clinical evaluations and hematological and biochemical assessments in this study showed physiological changes caused by exercise.

求助全文
通过发布文献求助,成功后即可免费获取论文全文。 去求助
来源期刊
自引率
0.00%
发文量
0
×
引用
GB/T 7714-2015
复制
MLA
复制
APA
复制
导出至
BibTeX EndNote RefMan NoteFirst NoteExpress
×
提示
您的信息不完整,为了账户安全,请先补充。
现在去补充
×
提示
您因"违规操作"
具体请查看互助需知
我知道了
×
提示
确定
请完成安全验证×
copy
已复制链接
快去分享给好友吧!
我知道了
右上角分享
点击右上角分享
0
联系我们:info@booksci.cn Book学术提供免费学术资源搜索服务,方便国内外学者检索中英文文献。致力于提供最便捷和优质的服务体验。 Copyright © 2023 布克学术 All rights reserved.
京ICP备2023020795号-1
ghs 京公网安备 11010802042870号
Book学术文献互助
Book学术文献互助群
群 号:604180095
Book学术官方微信