肥胖症患者感知到的压力、毛发皮质醇和毛发皮质酮与食欲调节激素的关系。

IF 4.7 3区 医学 Q2 ENDOCRINOLOGY & METABOLISM
Obesity Facts Pub Date : 2025-01-01 Epub Date: 2024-10-21 DOI:10.1159/000542079
Susanne Kuckuck, Robin Lengton, Renate E H Meeusen, Eline S van der Valk, Manon H J Hillegers, Brenda W J H Penninx, Maryam Kavousi, Jenny A Visser, Mariëtte R Boon, Sjoerd A A van den Berg, Elisabeth F C van Rossum
{"title":"肥胖症患者感知到的压力、毛发皮质醇和毛发皮质酮与食欲调节激素的关系。","authors":"Susanne Kuckuck, Robin Lengton, Renate E H Meeusen, Eline S van der Valk, Manon H J Hillegers, Brenda W J H Penninx, Maryam Kavousi, Jenny A Visser, Mariëtte R Boon, Sjoerd A A van den Berg, Elisabeth F C van Rossum","doi":"10.1159/000542079","DOIUrl":null,"url":null,"abstract":"<p><strong>Introduction: </strong>Stress predicts unhealthy eating, obesity, and metabolic deterioration, likely mediated by altered levels of appetite-regulating hormones. Yet, evidence regarding the association between long-term stress and levels of appetite-regulating hormones in humans is lacking.</p><p><strong>Methods: </strong>We included 65 patients with obesity (44 women) to investigate the cross-sectional association of long-term biological stress (scalp hair cortisol and cortisone) and long-term psychological stress (Perceived Stress Scale) with overnight-fasted serum levels of the hormonal appetite regulators leptin, adiponectin, insulin, pancreatic polypeptide, gastric-inhibitory peptide, peptide tyrosine-tyrosine, cholecystokinin and agouti-related protein, adjusted for age, sex, and body mass index.</p><p><strong>Results: </strong>Hair cortisone and, in trend, hair cortisol were positively associated with cholecystokinin (p = 0.003 and p = 0.058, respectively). No other associations between stress measures and hormonal appetite regulators were observed.</p><p><strong>Conclusion: </strong>Long-term biological stress, measured using scalp hair glucocorticoid levels, is associated with elevated levels of circulating cholecystokinin. More research is needed to pinpoint potential effects on appetite.</p>","PeriodicalId":19414,"journal":{"name":"Obesity Facts","volume":" ","pages":"206-214"},"PeriodicalIF":4.7000,"publicationDate":"2025-01-01","publicationTypes":"Journal Article","fieldsOfStudy":null,"isOpenAccess":false,"openAccessPdf":"https://www.ncbi.nlm.nih.gov/pmc/articles/PMC12017749/pdf/","citationCount":"0","resultStr":"{\"title\":\"Perceived Stress, Hair Cortisol, and Hair Cortisone in Relation to Appetite-Regulating Hormones in Patients with Obesity.\",\"authors\":\"Susanne Kuckuck, Robin Lengton, Renate E H Meeusen, Eline S van der Valk, Manon H J Hillegers, Brenda W J H Penninx, Maryam Kavousi, Jenny A Visser, Mariëtte R Boon, Sjoerd A A van den Berg, Elisabeth F C van Rossum\",\"doi\":\"10.1159/000542079\",\"DOIUrl\":null,\"url\":null,\"abstract\":\"<p><strong>Introduction: </strong>Stress predicts unhealthy eating, obesity, and metabolic deterioration, likely mediated by altered levels of appetite-regulating hormones. Yet, evidence regarding the association between long-term stress and levels of appetite-regulating hormones in humans is lacking.</p><p><strong>Methods: </strong>We included 65 patients with obesity (44 women) to investigate the cross-sectional association of long-term biological stress (scalp hair cortisol and cortisone) and long-term psychological stress (Perceived Stress Scale) with overnight-fasted serum levels of the hormonal appetite regulators leptin, adiponectin, insulin, pancreatic polypeptide, gastric-inhibitory peptide, peptide tyrosine-tyrosine, cholecystokinin and agouti-related protein, adjusted for age, sex, and body mass index.</p><p><strong>Results: </strong>Hair cortisone and, in trend, hair cortisol were positively associated with cholecystokinin (p = 0.003 and p = 0.058, respectively). No other associations between stress measures and hormonal appetite regulators were observed.</p><p><strong>Conclusion: </strong>Long-term biological stress, measured using scalp hair glucocorticoid levels, is associated with elevated levels of circulating cholecystokinin. More research is needed to pinpoint potential effects on appetite.</p>\",\"PeriodicalId\":19414,\"journal\":{\"name\":\"Obesity Facts\",\"volume\":\" \",\"pages\":\"206-214\"},\"PeriodicalIF\":4.7000,\"publicationDate\":\"2025-01-01\",\"publicationTypes\":\"Journal Article\",\"fieldsOfStudy\":null,\"isOpenAccess\":false,\"openAccessPdf\":\"https://www.ncbi.nlm.nih.gov/pmc/articles/PMC12017749/pdf/\",\"citationCount\":\"0\",\"resultStr\":null,\"platform\":\"Semanticscholar\",\"paperid\":null,\"PeriodicalName\":\"Obesity Facts\",\"FirstCategoryId\":\"3\",\"ListUrlMain\":\"https://doi.org/10.1159/000542079\",\"RegionNum\":3,\"RegionCategory\":\"医学\",\"ArticlePicture\":[],\"TitleCN\":null,\"AbstractTextCN\":null,\"PMCID\":null,\"EPubDate\":\"2024/10/21 0:00:00\",\"PubModel\":\"Epub\",\"JCR\":\"Q2\",\"JCRName\":\"ENDOCRINOLOGY & METABOLISM\",\"Score\":null,\"Total\":0}","platform":"Semanticscholar","paperid":null,"PeriodicalName":"Obesity Facts","FirstCategoryId":"3","ListUrlMain":"https://doi.org/10.1159/000542079","RegionNum":3,"RegionCategory":"医学","ArticlePicture":[],"TitleCN":null,"AbstractTextCN":null,"PMCID":null,"EPubDate":"2024/10/21 0:00:00","PubModel":"Epub","JCR":"Q2","JCRName":"ENDOCRINOLOGY & METABOLISM","Score":null,"Total":0}
引用次数: 0

摘要

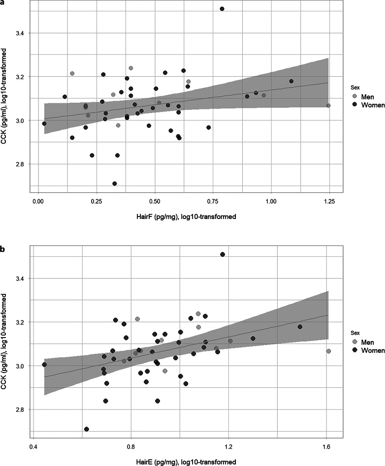
简介压力会导致不健康饮食、肥胖和新陈代谢恶化,这可能是由食欲和新陈代谢调节激素水平的改变引起的。然而,有关人类长期压力与食欲调节激素水平之间关系的证据还很缺乏:我们纳入了 65 名肥胖症患者(44 名女性),研究生物压力(头皮毛发皮质醇和可的松)和心理压力(知觉压力量表)与隔夜空腹血清中食欲调节激素瘦素、脂肪连蛋白、胰岛素、胰高血糖素和胰岛素水平之间的横断面关系、脂肪连素、胰岛素、胰多肽、胃抑制肽、酪氨酸-酪氨酸肽、胆囊收缩素和激动相关蛋白的关系,并对年龄、性别和体重指数进行了调整。结果显示毛发皮质酮与胆囊收缩素呈正相关(p=0.003),毛发皮质醇与胆囊收缩素呈负相关(p=0.058)。没有观察到压力测量值与荷尔蒙食欲调节器之间存在其他关联:结论:利用头皮毛发糖皮质激素水平测量的长期生物压力与循环胆囊收缩素水平升高有关,表明长期压力与激素食欲信号之间存在联系。
本文章由计算机程序翻译,如有差异,请以英文原文为准。

Perceived Stress, Hair Cortisol, and Hair Cortisone in Relation to Appetite-Regulating Hormones in Patients with Obesity.

Perceived Stress, Hair Cortisol, and Hair Cortisone in Relation to Appetite-Regulating Hormones in Patients with Obesity.

Introduction: Stress predicts unhealthy eating, obesity, and metabolic deterioration, likely mediated by altered levels of appetite-regulating hormones. Yet, evidence regarding the association between long-term stress and levels of appetite-regulating hormones in humans is lacking.

Methods: We included 65 patients with obesity (44 women) to investigate the cross-sectional association of long-term biological stress (scalp hair cortisol and cortisone) and long-term psychological stress (Perceived Stress Scale) with overnight-fasted serum levels of the hormonal appetite regulators leptin, adiponectin, insulin, pancreatic polypeptide, gastric-inhibitory peptide, peptide tyrosine-tyrosine, cholecystokinin and agouti-related protein, adjusted for age, sex, and body mass index.

Results: Hair cortisone and, in trend, hair cortisol were positively associated with cholecystokinin (p = 0.003 and p = 0.058, respectively). No other associations between stress measures and hormonal appetite regulators were observed.

Conclusion: Long-term biological stress, measured using scalp hair glucocorticoid levels, is associated with elevated levels of circulating cholecystokinin. More research is needed to pinpoint potential effects on appetite.

求助全文
通过发布文献求助,成功后即可免费获取论文全文。 去求助
来源期刊
Obesity Facts
Obesity Facts 医学-内分泌学与代谢
CiteScore
6.80
自引率
5.60%
发文量
77
审稿时长
6-12 weeks
期刊介绍: ''Obesity Facts'' publishes articles covering all aspects of obesity, in particular epidemiology, etiology and pathogenesis, treatment, and the prevention of adiposity. As obesity is related to many disease processes, the journal is also dedicated to all topics pertaining to comorbidity and covers psychological and sociocultural aspects as well as influences of nutrition and exercise on body weight. The editors carefully select papers to present only the most recent findings in clinical practice and research. All professionals concerned with obesity issues will find this journal a most valuable update to keep them abreast of the latest scientific developments.
×
引用
GB/T 7714-2015
复制
MLA
复制
APA
复制
导出至
BibTeX EndNote RefMan NoteFirst NoteExpress
×
提示
您的信息不完整,为了账户安全,请先补充。
现在去补充
×
提示
您因"违规操作"
具体请查看互助需知
我知道了
×
提示
确定
请完成安全验证×
copy
已复制链接
快去分享给好友吧!
我知道了
右上角分享
点击右上角分享
0
联系我们:info@booksci.cn Book学术提供免费学术资源搜索服务,方便国内外学者检索中英文文献。致力于提供最便捷和优质的服务体验。 Copyright © 2023 布克学术 All rights reserved.
京ICP备2023020795号-1
ghs 京公网安备 11010802042870号
Book学术文献互助
Book学术文献互助群
群 号:604180095
Book学术官方微信