产果胶酶的酿酒酵母 UCDFST 09-448 的特性及其对去核桃发酵的影响。

IF 3.2 4区 生物学 Q2 BIOTECHNOLOGY & APPLIED MICROBIOLOGY
Aaliyah Raquel Gutierrez-Cano, Bryce Jones, Jordan Macario, Sofia Martin, Derrick Cardenas, Hannah Simpson, Kyria Boundy-Mills, Meredith Claire Edwards
{"title":"产果胶酶的酿酒酵母 UCDFST 09-448 的特性及其对去核桃发酵的影响。","authors":"Aaliyah Raquel Gutierrez-Cano, Bryce Jones, Jordan Macario, Sofia Martin, Derrick Cardenas, Hannah Simpson, Kyria Boundy-Mills, Meredith Claire Edwards","doi":"10.1093/jimb/kuae037","DOIUrl":null,"url":null,"abstract":"<p><p>Fermentation of pectin-rich biomass by Saccharomyces cerevisiae can produce bioethanol as a fuel replacement to combat carbon dioxide emissions from the combustion of fossil fuels. Saccharomyces cerevisiae UCDFST 09-448 produces its own pectinase enzymes potentially eliminating the need for commercial pectinases during fermentation. This research assessed growth, pectinase activity, and fermentative activity of S. cerevisiae UCDFST 09-448 and compared its performance to an industrial yeast strain, S. cerevisiae XR122N. Saccharomyces cerevisiae UCDFST 09-448's growth was inhibited by osmotic stress (xylose concentrations above 1 M), ethanol concentrations greater than 5% v/v, and temperatures outside of 30°C-37°C. However, S. cerevisiae UCDFST 09-448 was able to consistently grow in an industrial pH range (3-6). It was able to metabolize glucose, sucrose, and fructose but was unable to metabolize arabinose, xylose, and galacturonic acid. The pectinase enzyme produced by S. cerevisiae UCDFST 09-448 was active under typical fermentation conditions (35°C-37°C, pH 5.0). Regardless of S. cerevisiae UCDFST 09-448's limitations when compared to S. cerevisiae XR122N in 15% w/v peach fermentations, S. cerevisiae UCDFST 09-448 was still able to achieve maximum ethanol yields in the absence of commercial pectinases (44.7 ± 3.1 g/L). Under the same conditions, S. cerevisiae XR122N produced 39.5 ± 3.1 g/L ethanol. While S. cerevisiae UCDFST 09-448 may not currently be optimized for industrial fermentations, it is a step toward a consolidated bioprocessing approach to fermentation of pectin-rich biomass.</p><p><strong>One-sentence summary: </strong>Saccharomyces cerevisiae UCDFST 09-448 demonstrates the potential to ferment pectin-rich biomass as part of a consolidated bioprocess, but is sensitive to industrial stressors.</p>","PeriodicalId":16092,"journal":{"name":"Journal of Industrial Microbiology & Biotechnology","volume":" ","pages":""},"PeriodicalIF":3.2000,"publicationDate":"2024-01-09","publicationTypes":"Journal Article","fieldsOfStudy":null,"isOpenAccess":false,"openAccessPdf":"https://www.ncbi.nlm.nih.gov/pmc/articles/PMC11523634/pdf/","citationCount":"0","resultStr":"{\"title\":\"Characterization of pectinase-producing Saccharomyces cerevisiae UCDFST 09-448 and its effects on cull peach fermentations.\",\"authors\":\"Aaliyah Raquel Gutierrez-Cano, Bryce Jones, Jordan Macario, Sofia Martin, Derrick Cardenas, Hannah Simpson, Kyria Boundy-Mills, Meredith Claire Edwards\",\"doi\":\"10.1093/jimb/kuae037\",\"DOIUrl\":null,\"url\":null,\"abstract\":\"<p><p>Fermentation of pectin-rich biomass by Saccharomyces cerevisiae can produce bioethanol as a fuel replacement to combat carbon dioxide emissions from the combustion of fossil fuels. Saccharomyces cerevisiae UCDFST 09-448 produces its own pectinase enzymes potentially eliminating the need for commercial pectinases during fermentation. This research assessed growth, pectinase activity, and fermentative activity of S. cerevisiae UCDFST 09-448 and compared its performance to an industrial yeast strain, S. cerevisiae XR122N. Saccharomyces cerevisiae UCDFST 09-448's growth was inhibited by osmotic stress (xylose concentrations above 1 M), ethanol concentrations greater than 5% v/v, and temperatures outside of 30°C-37°C. However, S. cerevisiae UCDFST 09-448 was able to consistently grow in an industrial pH range (3-6). It was able to metabolize glucose, sucrose, and fructose but was unable to metabolize arabinose, xylose, and galacturonic acid. The pectinase enzyme produced by S. cerevisiae UCDFST 09-448 was active under typical fermentation conditions (35°C-37°C, pH 5.0). Regardless of S. cerevisiae UCDFST 09-448's limitations when compared to S. cerevisiae XR122N in 15% w/v peach fermentations, S. cerevisiae UCDFST 09-448 was still able to achieve maximum ethanol yields in the absence of commercial pectinases (44.7 ± 3.1 g/L). Under the same conditions, S. cerevisiae XR122N produced 39.5 ± 3.1 g/L ethanol. While S. cerevisiae UCDFST 09-448 may not currently be optimized for industrial fermentations, it is a step toward a consolidated bioprocessing approach to fermentation of pectin-rich biomass.</p><p><strong>One-sentence summary: </strong>Saccharomyces cerevisiae UCDFST 09-448 demonstrates the potential to ferment pectin-rich biomass as part of a consolidated bioprocess, but is sensitive to industrial stressors.</p>\",\"PeriodicalId\":16092,\"journal\":{\"name\":\"Journal of Industrial Microbiology & Biotechnology\",\"volume\":\" \",\"pages\":\"\"},\"PeriodicalIF\":3.2000,\"publicationDate\":\"2024-01-09\",\"publicationTypes\":\"Journal Article\",\"fieldsOfStudy\":null,\"isOpenAccess\":false,\"openAccessPdf\":\"https://www.ncbi.nlm.nih.gov/pmc/articles/PMC11523634/pdf/\",\"citationCount\":\"0\",\"resultStr\":null,\"platform\":\"Semanticscholar\",\"paperid\":null,\"PeriodicalName\":\"Journal of Industrial Microbiology & Biotechnology\",\"FirstCategoryId\":\"5\",\"ListUrlMain\":\"https://doi.org/10.1093/jimb/kuae037\",\"RegionNum\":4,\"RegionCategory\":\"生物学\",\"ArticlePicture\":[],\"TitleCN\":null,\"AbstractTextCN\":null,\"PMCID\":null,\"EPubDate\":\"\",\"PubModel\":\"\",\"JCR\":\"Q2\",\"JCRName\":\"BIOTECHNOLOGY & APPLIED MICROBIOLOGY\",\"Score\":null,\"Total\":0}","platform":"Semanticscholar","paperid":null,"PeriodicalName":"Journal of Industrial Microbiology & Biotechnology","FirstCategoryId":"5","ListUrlMain":"https://doi.org/10.1093/jimb/kuae037","RegionNum":4,"RegionCategory":"生物学","ArticlePicture":[],"TitleCN":null,"AbstractTextCN":null,"PMCID":null,"EPubDate":"","PubModel":"","JCR":"Q2","JCRName":"BIOTECHNOLOGY & APPLIED MICROBIOLOGY","Score":null,"Total":0}
引用次数: 0

摘要

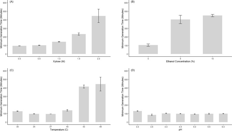
酿酒酵母发酵富含果胶的生物质可生产生物乙醇,作为燃料替代品,以应对化石燃料燃烧产生的二氧化碳排放。酿酒酵母 UCDFST 09-448 能产生自身的果胶酶,因此在发酵过程中无需使用商业果胶酶。这项研究评估了 S. cerevisiae UCDFST 09-448 的生长、果胶酶活性和发酵活性,并将其性能与工业酵母菌株 S. cerevisiae XR122N 进行了比较。S. cerevisiae UCDFST 09-448 的生长受到了渗透胁迫(木糖浓度超过 1M)、乙醇浓度超过 5% v/v、以及 30°C-37°C 以外温度的抑制。不过,S. cerevisiae UCDFST 09-448 能够在工业 pH 值范围(3-6)内持续生长。它能代谢葡萄糖、蔗糖和果糖,但不能代谢阿拉伯糖、木糖和半乳糖醛酸。S. cerevisiae UCDFST 09-448 产生的果胶酶在典型的发酵条件下(35°C-37°C,pH 值 5.0)具有活性。在 15% w/v 桃发酵中,尽管与 S. cerevisiae XR122N 相比,S. cerevisiae UCDFST 09-448 有一定的局限性,但在没有商业果胶酶的情况下,S. cerevisiae UCDFST 09-448 仍能获得最高的乙醇产量(44.7 ± 3.1g/L)。在相同条件下,S. cerevisiae XR122N 产生 39.5 ± 3.1 克/升乙醇。虽然 S. cerevisiae UCDFST 09-448 目前可能还不能优化用于工业发酵,但它向富含果胶的生物质发酵的综合生物加工方法迈出了一步。
本文章由计算机程序翻译,如有差异,请以英文原文为准。

Characterization of pectinase-producing Saccharomyces cerevisiae UCDFST 09-448 and its effects on cull peach fermentations.

Characterization of pectinase-producing Saccharomyces cerevisiae UCDFST 09-448 and its effects on cull peach fermentations.

Characterization of pectinase-producing Saccharomyces cerevisiae UCDFST 09-448 and its effects on cull peach fermentations.

Characterization of pectinase-producing Saccharomyces cerevisiae UCDFST 09-448 and its effects on cull peach fermentations.

Fermentation of pectin-rich biomass by Saccharomyces cerevisiae can produce bioethanol as a fuel replacement to combat carbon dioxide emissions from the combustion of fossil fuels. Saccharomyces cerevisiae UCDFST 09-448 produces its own pectinase enzymes potentially eliminating the need for commercial pectinases during fermentation. This research assessed growth, pectinase activity, and fermentative activity of S. cerevisiae UCDFST 09-448 and compared its performance to an industrial yeast strain, S. cerevisiae XR122N. Saccharomyces cerevisiae UCDFST 09-448's growth was inhibited by osmotic stress (xylose concentrations above 1 M), ethanol concentrations greater than 5% v/v, and temperatures outside of 30°C-37°C. However, S. cerevisiae UCDFST 09-448 was able to consistently grow in an industrial pH range (3-6). It was able to metabolize glucose, sucrose, and fructose but was unable to metabolize arabinose, xylose, and galacturonic acid. The pectinase enzyme produced by S. cerevisiae UCDFST 09-448 was active under typical fermentation conditions (35°C-37°C, pH 5.0). Regardless of S. cerevisiae UCDFST 09-448's limitations when compared to S. cerevisiae XR122N in 15% w/v peach fermentations, S. cerevisiae UCDFST 09-448 was still able to achieve maximum ethanol yields in the absence of commercial pectinases (44.7 ± 3.1 g/L). Under the same conditions, S. cerevisiae XR122N produced 39.5 ± 3.1 g/L ethanol. While S. cerevisiae UCDFST 09-448 may not currently be optimized for industrial fermentations, it is a step toward a consolidated bioprocessing approach to fermentation of pectin-rich biomass.

One-sentence summary: Saccharomyces cerevisiae UCDFST 09-448 demonstrates the potential to ferment pectin-rich biomass as part of a consolidated bioprocess, but is sensitive to industrial stressors.

求助全文
通过发布文献求助,成功后即可免费获取论文全文。 去求助
来源期刊
Journal of Industrial Microbiology & Biotechnology
Journal of Industrial Microbiology & Biotechnology 工程技术-生物工程与应用微生物
CiteScore
7.70
自引率
0.00%
发文量
25
审稿时长
3 months
期刊介绍: The Journal of Industrial Microbiology and Biotechnology is an international journal which publishes papers describing original research, short communications, and critical reviews in the fields of biotechnology, fermentation and cell culture, biocatalysis, environmental microbiology, natural products discovery and biosynthesis, marine natural products, metabolic engineering, genomics, bioinformatics, food microbiology, and other areas of applied microbiology
×
引用
GB/T 7714-2015
复制
MLA
复制
APA
复制
导出至
BibTeX EndNote RefMan NoteFirst NoteExpress
×
提示
您的信息不完整,为了账户安全,请先补充。
现在去补充
×
提示
您因"违规操作"
具体请查看互助需知
我知道了
×
提示
确定
请完成安全验证×
copy
已复制链接
快去分享给好友吧!
我知道了
右上角分享
点击右上角分享
0
联系我们:info@booksci.cn Book学术提供免费学术资源搜索服务,方便国内外学者检索中英文文献。致力于提供最便捷和优质的服务体验。 Copyright © 2023 布克学术 All rights reserved.
京ICP备2023020795号-1
ghs 京公网安备 11010802042870号
Book学术文献互助
Book学术文献互助群
群 号:604180095
Book学术官方微信