利用联合分析法研究溃疡性结肠炎患者对先进疗法的偏好。

IF 3.9 Q2 GASTROENTEROLOGY & HEPATOLOGY
Intestinal Research Pub Date : 2025-07-01 Epub Date: 2024-10-14 DOI:10.5217/ir.2024.00101
Taku Kobayashi, Naomi Mizuno, Noriko Sato, Yutaka Kawaguchi, Yoshiko Ikawa, Naruyasu Komorita, Hirono Ishikawa
{"title":"利用联合分析法研究溃疡性结肠炎患者对先进疗法的偏好。","authors":"Taku Kobayashi, Naomi Mizuno, Noriko Sato, Yutaka Kawaguchi, Yoshiko Ikawa, Naruyasu Komorita, Hirono Ishikawa","doi":"10.5217/ir.2024.00101","DOIUrl":null,"url":null,"abstract":"<p><strong>Background/aims: </strong>Selecting an optimal advanced therapy for ulcerative colitis (UC) is difficult because of the increasing number of available therapies. This study assessed UC patients' preferences for drug profiles in decision-making regarding advanced therapies using conjoint analysis.</p><p><strong>Methods: </strong>A web-based survey was conducted from October to November 2023 in patients with UC aged ≥ 18 years with prior oral 5-aminosalicylic acid treatment (UMIN000052327). We quantified the importance of drug attributes (location of administration, route/frequency of administration, speed of onset-of-action, maintenancesustainability, risk of serious adverse events within 1 year, and novelty of the drug) and the part-worth utility of attribute levels in mild and severe symptom scenarios, including among employed versus unemployed patients.</p><p><strong>Results: </strong>Of 372 patients who completed the survey, 365 were evaluated. Patient preferences were generally highly individualized. The route/frequency of administration was the most important attribute in both the mild and severe symptom scenarios. Oral administration was preferred in the mild symptom scenario, whereas no specific preference was observed in the severe symptom scenario. The route/ frequency of administration was more valued in the mild symptom scenario than in the severe one, whereas speed of onset of action was more valued in the severe symptom scenario. No significant difference was found in the preference for drug profiles between employed and unemployed patients.</p><p><strong>Conclusions: </strong>Patient preferences for the route/frequency of administration, as well as other drug profiles, change with disease severity but demonstrate substantial interindividual variability. Therefore, shared decision-making is important to incorporate patients' perspectives into the selection of advanced therapies.</p>","PeriodicalId":14481,"journal":{"name":"Intestinal Research","volume":" ","pages":"318-337"},"PeriodicalIF":3.9000,"publicationDate":"2025-07-01","publicationTypes":"Journal Article","fieldsOfStudy":null,"isOpenAccess":false,"openAccessPdf":"https://www.ncbi.nlm.nih.gov/pmc/articles/PMC12332289/pdf/","citationCount":"0","resultStr":"{\"title\":\"Patient preferences for advanced therapies in ulcerative colitis using conjoint analysis.\",\"authors\":\"Taku Kobayashi, Naomi Mizuno, Noriko Sato, Yutaka Kawaguchi, Yoshiko Ikawa, Naruyasu Komorita, Hirono Ishikawa\",\"doi\":\"10.5217/ir.2024.00101\",\"DOIUrl\":null,\"url\":null,\"abstract\":\"<p><strong>Background/aims: </strong>Selecting an optimal advanced therapy for ulcerative colitis (UC) is difficult because of the increasing number of available therapies. This study assessed UC patients' preferences for drug profiles in decision-making regarding advanced therapies using conjoint analysis.</p><p><strong>Methods: </strong>A web-based survey was conducted from October to November 2023 in patients with UC aged ≥ 18 years with prior oral 5-aminosalicylic acid treatment (UMIN000052327). We quantified the importance of drug attributes (location of administration, route/frequency of administration, speed of onset-of-action, maintenancesustainability, risk of serious adverse events within 1 year, and novelty of the drug) and the part-worth utility of attribute levels in mild and severe symptom scenarios, including among employed versus unemployed patients.</p><p><strong>Results: </strong>Of 372 patients who completed the survey, 365 were evaluated. Patient preferences were generally highly individualized. The route/frequency of administration was the most important attribute in both the mild and severe symptom scenarios. Oral administration was preferred in the mild symptom scenario, whereas no specific preference was observed in the severe symptom scenario. The route/ frequency of administration was more valued in the mild symptom scenario than in the severe one, whereas speed of onset of action was more valued in the severe symptom scenario. No significant difference was found in the preference for drug profiles between employed and unemployed patients.</p><p><strong>Conclusions: </strong>Patient preferences for the route/frequency of administration, as well as other drug profiles, change with disease severity but demonstrate substantial interindividual variability. Therefore, shared decision-making is important to incorporate patients' perspectives into the selection of advanced therapies.</p>\",\"PeriodicalId\":14481,\"journal\":{\"name\":\"Intestinal Research\",\"volume\":\" \",\"pages\":\"318-337\"},\"PeriodicalIF\":3.9000,\"publicationDate\":\"2025-07-01\",\"publicationTypes\":\"Journal Article\",\"fieldsOfStudy\":null,\"isOpenAccess\":false,\"openAccessPdf\":\"https://www.ncbi.nlm.nih.gov/pmc/articles/PMC12332289/pdf/\",\"citationCount\":\"0\",\"resultStr\":null,\"platform\":\"Semanticscholar\",\"paperid\":null,\"PeriodicalName\":\"Intestinal Research\",\"FirstCategoryId\":\"1085\",\"ListUrlMain\":\"https://doi.org/10.5217/ir.2024.00101\",\"RegionNum\":0,\"RegionCategory\":null,\"ArticlePicture\":[],\"TitleCN\":null,\"AbstractTextCN\":null,\"PMCID\":null,\"EPubDate\":\"2024/10/14 0:00:00\",\"PubModel\":\"Epub\",\"JCR\":\"Q2\",\"JCRName\":\"GASTROENTEROLOGY & HEPATOLOGY\",\"Score\":null,\"Total\":0}","platform":"Semanticscholar","paperid":null,"PeriodicalName":"Intestinal Research","FirstCategoryId":"1085","ListUrlMain":"https://doi.org/10.5217/ir.2024.00101","RegionNum":0,"RegionCategory":null,"ArticlePicture":[],"TitleCN":null,"AbstractTextCN":null,"PMCID":null,"EPubDate":"2024/10/14 0:00:00","PubModel":"Epub","JCR":"Q2","JCRName":"GASTROENTEROLOGY & HEPATOLOGY","Score":null,"Total":0}
引用次数: 0

摘要

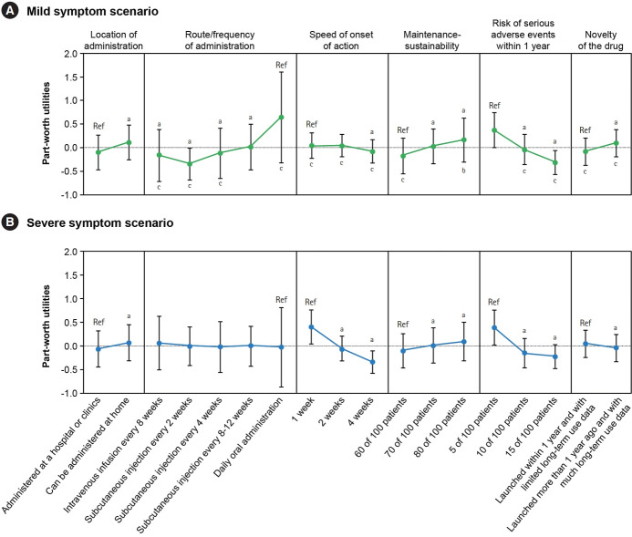
背景/目的:溃疡性结肠炎(UC)的现有疗法越来越多,因此很难选择最佳的晚期疗法。本研究采用联合分析法评估了溃疡性结肠炎患者在晚期疗法决策中对药物概况的偏好:2023年10月至11月,我们对年龄≥18岁、曾接受过5-氨基水杨酸口服治疗(UMIN000052327)的UC患者进行了网络调查。我们量化了药物属性(给药地点、给药途径/频率、起效速度、维持性、1 年内发生严重不良事件的风险以及药物的新颖性)的重要性,以及轻度和重度症状情况下属性水平的部分价值效用,包括在职患者与失业患者:在完成调查的 372 名患者中,有 365 人接受了评估。患者的偏好普遍高度个性化。在症状轻微和症状严重的情况下,给药途径/频率都是最重要的属性。轻微症状患者更倾向于口服给药,而严重症状患者则没有特别偏好。在轻度症状情景中,给药途径/频率比在重度症状情景中更受重视,而在重度症状情景中,起效速度更受重视。在职和失业患者对药物简介的偏好无明显差异:结论:患者对给药途径/频率以及其他药物配置的偏好会随着疾病严重程度的变化而改变,但个体间存在很大差异。因此,共同决策对于将患者的观点纳入先进疗法的选择非常重要。
本文章由计算机程序翻译,如有差异,请以英文原文为准。

Patient preferences for advanced therapies in ulcerative colitis using conjoint analysis.

Patient preferences for advanced therapies in ulcerative colitis using conjoint analysis.

Patient preferences for advanced therapies in ulcerative colitis using conjoint analysis.

Patient preferences for advanced therapies in ulcerative colitis using conjoint analysis.

Background/aims: Selecting an optimal advanced therapy for ulcerative colitis (UC) is difficult because of the increasing number of available therapies. This study assessed UC patients' preferences for drug profiles in decision-making regarding advanced therapies using conjoint analysis.

Methods: A web-based survey was conducted from October to November 2023 in patients with UC aged ≥ 18 years with prior oral 5-aminosalicylic acid treatment (UMIN000052327). We quantified the importance of drug attributes (location of administration, route/frequency of administration, speed of onset-of-action, maintenancesustainability, risk of serious adverse events within 1 year, and novelty of the drug) and the part-worth utility of attribute levels in mild and severe symptom scenarios, including among employed versus unemployed patients.

Results: Of 372 patients who completed the survey, 365 were evaluated. Patient preferences were generally highly individualized. The route/frequency of administration was the most important attribute in both the mild and severe symptom scenarios. Oral administration was preferred in the mild symptom scenario, whereas no specific preference was observed in the severe symptom scenario. The route/ frequency of administration was more valued in the mild symptom scenario than in the severe one, whereas speed of onset of action was more valued in the severe symptom scenario. No significant difference was found in the preference for drug profiles between employed and unemployed patients.

Conclusions: Patient preferences for the route/frequency of administration, as well as other drug profiles, change with disease severity but demonstrate substantial interindividual variability. Therefore, shared decision-making is important to incorporate patients' perspectives into the selection of advanced therapies.

求助全文
通过发布文献求助,成功后即可免费获取论文全文。 去求助
来源期刊
Intestinal Research
Intestinal Research GASTROENTEROLOGY & HEPATOLOGY-
CiteScore
7.40
自引率
10.20%
发文量
69
审稿时长
38 weeks
期刊介绍: Intestinal Research (Intest Res) is the joint official publication of the Asian Organization for Crohn''s and Colitis (AOCC), Chinese Society of IBD (CSIBD), Japanese Society for IBD (JSIBD), Korean Association for the Study of Intestinal Diseases (KASID), Taiwan Society of IBD (TSIBD) and Colitis Crohn''s Foundation (India) (CCF, india). The aim of the Journal is to provide broad and in-depth analysis of intestinal diseases, especially inflammatory bowel disease, which shows increasing tendency and significance. As a Journal specialized in clinical and translational research in gastroenterology, it encompasses multiple aspects of diseases originated from the small and large intestines. The Journal also seeks to propagate and exchange useful innovations, both in ideas and in practice, within the research community. As a mode of scholarly communication, it encourages scientific investigation through the rigorous peer-review system and constitutes a qualified and continual platform for sharing studies of researchers and practitioners. Specifically, the Journal presents up-to-date coverage of medical researches on the physiology, epidemiology, pathophysiology, clinical presentations, and therapeutic interventions of the intestinal diseases. General topics of interest include inflammatory bowel disease, colon and small intestine cancer or polyp, endoscopy, irritable bowel syndrome and other motility disorders, infectious enterocolitis, intestinal tuberculosis, and so forth. The Journal publishes diverse types of academic materials such as editorials, clinical and basic reviews, original articles, case reports, letters to the editor, brief communications, perspective, statement or commentary, and images that are useful to clinicians and researchers.
×
引用
GB/T 7714-2015
复制
MLA
复制
APA
复制
导出至
BibTeX EndNote RefMan NoteFirst NoteExpress
×
提示
您的信息不完整,为了账户安全,请先补充。
现在去补充
×
提示
您因"违规操作"
具体请查看互助需知
我知道了
×
提示
确定
请完成安全验证×
copy
已复制链接
快去分享给好友吧!
我知道了
右上角分享
点击右上角分享
0
联系我们:info@booksci.cn Book学术提供免费学术资源搜索服务,方便国内外学者检索中英文文献。致力于提供最便捷和优质的服务体验。 Copyright © 2023 布克学术 All rights reserved.
京ICP备2023020795号-1
ghs 京公网安备 11010802042870号
Book学术文献互助
Book学术文献互助群
群 号:604180095
Book学术官方微信