连接系统和义齿清洁方法对种植体支撑覆盖义齿中微生物生物量和组成的影响:一项实验研究。

IF 4 3区 医学 Q1 DENTISTRY, ORAL SURGERY & MEDICINE
Yuwei Zhao, Xin Yang, Bixin Wen, Yuqing Li, Haiyang Yu
{"title":"连接系统和义齿清洁方法对种植体支撑覆盖义齿中微生物生物量和组成的影响:一项实验研究。","authors":"Yuwei Zhao, Xin Yang, Bixin Wen, Yuqing Li, Haiyang Yu","doi":"10.1186/s40729-024-00564-9","DOIUrl":null,"url":null,"abstract":"<p><strong>Objective: </strong>This research endeavors to scrutinize the influence of attachment systems and denture cleaning methodologies on microbial biomass and composition within the realm of implant-supported overdentures, a crucial consideration for patients with dentition defects necessitating such prosthetic solutions.</p><p><strong>Subjects and methods: </strong>Employing five polymethyl methacrylate specimens designed to emulate the fitting surfaces of traditional dentures and implant-supported overdentures. Following the polishing of each specimen and the quantification of its roughness, co-cultivation with three distinct microbial strains ensued, culminating in ultrasonic cleaning in water. The bar-clip group, differentiated by the depth of attachment, underwent cleaning employing four diverse methods. Biomass quantities were meticulously recorded both pre and post cleaning interventions, with subsequent data analysis via t-testing and one-way ANOVA, maintaining a significance level of α = 0.05.</p><p><strong>Results: </strong>The bar-clip groups demonstrated an elevated degree of microbial adhesion, with the deeper locator group exhibiting heightened biomass residue post-cleaning, indicative of increased cleaning complexity. Ultrasonic cleaning predominantly targeted biofilm and deceased bacteria, whereas chemical cleaners primarily reduced the quantity of viable bacteria. The synergistic application of ultrasonics and chemical cleaning treatments yielded the minimal biomass residue.</p><p><strong>Conclusion: </strong>In contemplating the utilization of dentures milled by dental computer-aided design/manufacturing systems, meticulous pre-use surface polishing is imperative. The extent of biofilm adhesion correlates with the chosen attachment system. This study advocates for the incorporation of ultrasonic cleaning in conjunction with chemical cleaning solutions to optimize the removal of biofilm and live cellular entities in the context of implant-supported overdentures.</p>","PeriodicalId":14076,"journal":{"name":"International Journal of Implant Dentistry","volume":"10 1","pages":"45"},"PeriodicalIF":4.0000,"publicationDate":"2024-10-17","publicationTypes":"Journal Article","fieldsOfStudy":null,"isOpenAccess":false,"openAccessPdf":"https://www.ncbi.nlm.nih.gov/pmc/articles/PMC11486873/pdf/","citationCount":"0","resultStr":"{\"title\":\"The effect of attachment systems and denture cleaning methods on microbial biomass and composition in implant-supported overdentures: an experimental study.\",\"authors\":\"Yuwei Zhao, Xin Yang, Bixin Wen, Yuqing Li, Haiyang Yu\",\"doi\":\"10.1186/s40729-024-00564-9\",\"DOIUrl\":null,\"url\":null,\"abstract\":\"<p><strong>Objective: </strong>This research endeavors to scrutinize the influence of attachment systems and denture cleaning methodologies on microbial biomass and composition within the realm of implant-supported overdentures, a crucial consideration for patients with dentition defects necessitating such prosthetic solutions.</p><p><strong>Subjects and methods: </strong>Employing five polymethyl methacrylate specimens designed to emulate the fitting surfaces of traditional dentures and implant-supported overdentures. Following the polishing of each specimen and the quantification of its roughness, co-cultivation with three distinct microbial strains ensued, culminating in ultrasonic cleaning in water. The bar-clip group, differentiated by the depth of attachment, underwent cleaning employing four diverse methods. Biomass quantities were meticulously recorded both pre and post cleaning interventions, with subsequent data analysis via t-testing and one-way ANOVA, maintaining a significance level of α = 0.05.</p><p><strong>Results: </strong>The bar-clip groups demonstrated an elevated degree of microbial adhesion, with the deeper locator group exhibiting heightened biomass residue post-cleaning, indicative of increased cleaning complexity. Ultrasonic cleaning predominantly targeted biofilm and deceased bacteria, whereas chemical cleaners primarily reduced the quantity of viable bacteria. The synergistic application of ultrasonics and chemical cleaning treatments yielded the minimal biomass residue.</p><p><strong>Conclusion: </strong>In contemplating the utilization of dentures milled by dental computer-aided design/manufacturing systems, meticulous pre-use surface polishing is imperative. The extent of biofilm adhesion correlates with the chosen attachment system. This study advocates for the incorporation of ultrasonic cleaning in conjunction with chemical cleaning solutions to optimize the removal of biofilm and live cellular entities in the context of implant-supported overdentures.</p>\",\"PeriodicalId\":14076,\"journal\":{\"name\":\"International Journal of Implant Dentistry\",\"volume\":\"10 1\",\"pages\":\"45\"},\"PeriodicalIF\":4.0000,\"publicationDate\":\"2024-10-17\",\"publicationTypes\":\"Journal Article\",\"fieldsOfStudy\":null,\"isOpenAccess\":false,\"openAccessPdf\":\"https://www.ncbi.nlm.nih.gov/pmc/articles/PMC11486873/pdf/\",\"citationCount\":\"0\",\"resultStr\":null,\"platform\":\"Semanticscholar\",\"paperid\":null,\"PeriodicalName\":\"International Journal of Implant Dentistry\",\"FirstCategoryId\":\"3\",\"ListUrlMain\":\"https://doi.org/10.1186/s40729-024-00564-9\",\"RegionNum\":3,\"RegionCategory\":\"医学\",\"ArticlePicture\":[],\"TitleCN\":null,\"AbstractTextCN\":null,\"PMCID\":null,\"EPubDate\":\"\",\"PubModel\":\"\",\"JCR\":\"Q1\",\"JCRName\":\"DENTISTRY, ORAL SURGERY & MEDICINE\",\"Score\":null,\"Total\":0}","platform":"Semanticscholar","paperid":null,"PeriodicalName":"International Journal of Implant Dentistry","FirstCategoryId":"3","ListUrlMain":"https://doi.org/10.1186/s40729-024-00564-9","RegionNum":3,"RegionCategory":"医学","ArticlePicture":[],"TitleCN":null,"AbstractTextCN":null,"PMCID":null,"EPubDate":"","PubModel":"","JCR":"Q1","JCRName":"DENTISTRY, ORAL SURGERY & MEDICINE","Score":null,"Total":0}
引用次数: 0

摘要

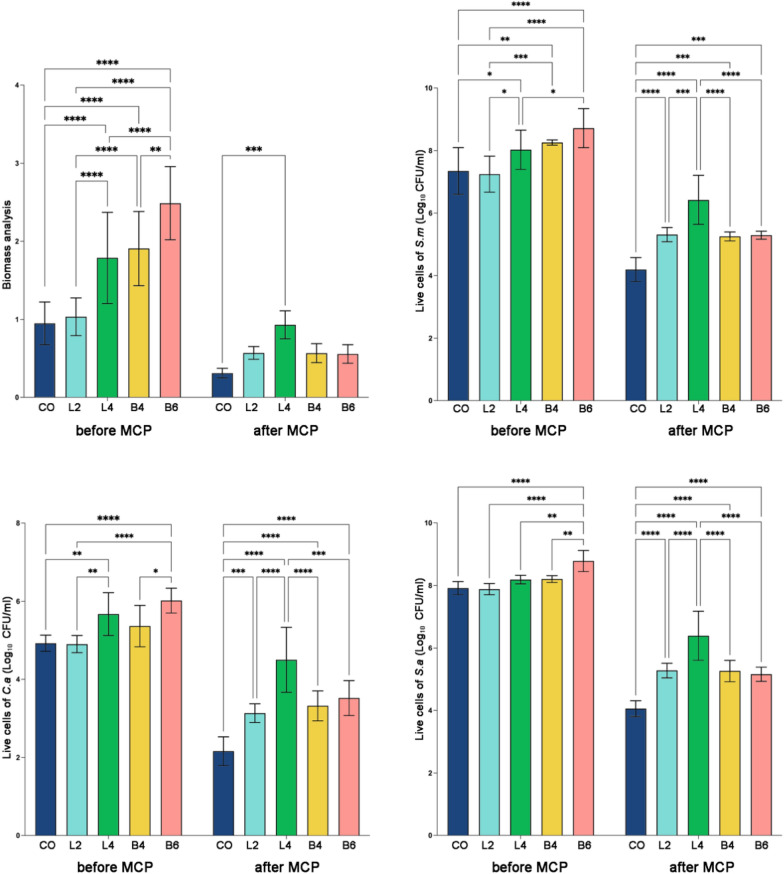
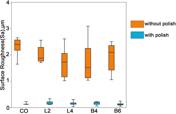
研究目的本研究旨在仔细研究附着系统和义齿清洁方法对种植体支持覆盖义齿的微生物生物量和组成的影响,这对需要此类修复方案的牙列缺损患者来说是一个重要的考虑因素:采用五种聚甲基丙烯酸甲酯试样,以模拟传统假牙和种植体支持覆盖义齿的安装表面。对每个试样进行抛光并量化其粗糙度后,与三种不同的微生物菌株共同培养,最后在水中进行超声波清洗。棒夹组根据附着深度的不同,采用四种不同的方法进行清洗。清洁前后的生物量均被仔细记录,随后通过 t 检验和单因子方差分析进行数据分析,显著性水平保持在 α = 0.05:条形夹组的微生物粘附程度较高,深定位器组在清洗后的生物量残留较多,表明清洗的复杂性增加。超声波清洗主要针对生物膜和死亡细菌,而化学清洗剂则主要减少存活细菌的数量。超声波和化学清洁剂的协同应用可使生物残留量降至最低:在考虑使用牙科计算机辅助设计/制造系统铣制的假牙时,必须在使用前进行细致的表面抛光。生物膜附着的程度与所选的附着系统有关。本研究主张将超声波清洗与化学清洗溶液结合使用,以优化种植体支撑覆盖义齿的生物膜和活细胞实体的去除效果。
本文章由计算机程序翻译,如有差异,请以英文原文为准。

The effect of attachment systems and denture cleaning methods on microbial biomass and composition in implant-supported overdentures: an experimental study.

The effect of attachment systems and denture cleaning methods on microbial biomass and composition in implant-supported overdentures: an experimental study.

The effect of attachment systems and denture cleaning methods on microbial biomass and composition in implant-supported overdentures: an experimental study.

The effect of attachment systems and denture cleaning methods on microbial biomass and composition in implant-supported overdentures: an experimental study.

Objective: This research endeavors to scrutinize the influence of attachment systems and denture cleaning methodologies on microbial biomass and composition within the realm of implant-supported overdentures, a crucial consideration for patients with dentition defects necessitating such prosthetic solutions.

Subjects and methods: Employing five polymethyl methacrylate specimens designed to emulate the fitting surfaces of traditional dentures and implant-supported overdentures. Following the polishing of each specimen and the quantification of its roughness, co-cultivation with three distinct microbial strains ensued, culminating in ultrasonic cleaning in water. The bar-clip group, differentiated by the depth of attachment, underwent cleaning employing four diverse methods. Biomass quantities were meticulously recorded both pre and post cleaning interventions, with subsequent data analysis via t-testing and one-way ANOVA, maintaining a significance level of α = 0.05.

Results: The bar-clip groups demonstrated an elevated degree of microbial adhesion, with the deeper locator group exhibiting heightened biomass residue post-cleaning, indicative of increased cleaning complexity. Ultrasonic cleaning predominantly targeted biofilm and deceased bacteria, whereas chemical cleaners primarily reduced the quantity of viable bacteria. The synergistic application of ultrasonics and chemical cleaning treatments yielded the minimal biomass residue.

Conclusion: In contemplating the utilization of dentures milled by dental computer-aided design/manufacturing systems, meticulous pre-use surface polishing is imperative. The extent of biofilm adhesion correlates with the chosen attachment system. This study advocates for the incorporation of ultrasonic cleaning in conjunction with chemical cleaning solutions to optimize the removal of biofilm and live cellular entities in the context of implant-supported overdentures.

求助全文
通过发布文献求助,成功后即可免费获取论文全文。 去求助
来源期刊
International Journal of Implant Dentistry
International Journal of Implant Dentistry DENTISTRY, ORAL SURGERY & MEDICINE-
CiteScore
1.70
自引率
7.40%
发文量
53
审稿时长
13 weeks
期刊介绍: The International Journal of Implant Dentistry is a peer-reviewed open access journal published under the SpringerOpen brand. The journal is dedicated to promoting the exchange and discussion of all research areas relevant to implant dentistry in the form of systematic literature or invited reviews, prospective and retrospective clinical studies, clinical case reports, basic laboratory and animal research, and articles on material research and engineering.
×
引用
GB/T 7714-2015
复制
MLA
复制
APA
复制
导出至
BibTeX EndNote RefMan NoteFirst NoteExpress
×
提示
您的信息不完整,为了账户安全,请先补充。
现在去补充
×
提示
您因"违规操作"
具体请查看互助需知
我知道了
×
提示
确定
请完成安全验证×
copy
已复制链接
快去分享给好友吧!
我知道了
右上角分享
点击右上角分享
0
联系我们:info@booksci.cn Book学术提供免费学术资源搜索服务,方便国内外学者检索中英文文献。致力于提供最便捷和优质的服务体验。 Copyright © 2023 布克学术 All rights reserved.
京ICP备2023020795号-1
ghs 京公网安备 11010802042870号
Book学术文献互助
Book学术文献互助群
群 号:604180095
Book学术官方微信