韩国版非自杀性自伤量表的心理测量特性:故意自残量表验证研究》。

IF 2.7 4区 医学 Q3 NEUROSCIENCES
Clinical Psychopharmacology and Neuroscience Pub Date : 2024-11-30 Epub Date: 2024-08-27 DOI:10.9758/cpn.24.1208
Chan-Mo Yang, Kyu-Sic Hwang, Hye-Jin Lee, Sang-Cheol Choi, Sang-Yeol Lee
{"title":"韩国版非自杀性自伤量表的心理测量特性:故意自残量表验证研究》。","authors":"Chan-Mo Yang, Kyu-Sic Hwang, Hye-Jin Lee, Sang-Cheol Choi, Sang-Yeol Lee","doi":"10.9758/cpn.24.1208","DOIUrl":null,"url":null,"abstract":"<p><strong>Objective: </strong>This study aimed to develop a Korean version of the Nonsuicidal Self-injury Inventory (K-NSSI) through the Deliberate Self-harm Inventory (DSHI) developed by Gratz for the Korean context and confirm its reliability and validity for clinical application.</p><p><strong>Methods: </strong>A total of 188 participants were analyzed utilizing the DSHI, the Korean version of the Self-harm Inventory, the Personality Assessment Inventory-Borderline Features (PAI-BOR), and the DSM-5 Level-2-Depression scale (Level-2-Dep). Cronbach's α assessed their reliability, while frequency analysis examined the items of the K-NSSI scales. Validity of the K-NSSI was confirmed through correlation analyses between K-NSSI (tendency for and frequency of nonsuicidal self-injury [NSSI] behavior) and SHI, PAI-BOR total scale, four subscales of PAI-BOR, and Level-2-Dep scale. Polyserial correlations analyzed the correlation between the presence of NSSI behavior and other scales. Confirmatory factor analysis and structural equation modeling explored the relationship between borderline personality features and self-harm.</p><p><strong>Results: </strong>Cronbach's α was 0.71, indicating an \"acceptable\" level of reliability. Statistically significant correlations were observed between the presence of NSSI behavior and the total scores of SHI and PAI-BOR, and the four subscales of PAI-BOR. The frequency of NSSI showed statistically significant correlations with the total score of SHI and PAI-BOR, and its four subscales. Notably, 13.8% of participants reported engaging in self-harm behaviors, 26.9% reported a single occurrence, and 73.1% reported two or more instances. Structural equation modeling demonstrated that self-harm adequately predicted borderline personality traits.</p><p><strong>Conclusion: </strong>This study successfully validated the adaptation of DSHI into K-NSSI. The K-NSSI can facilitate interventions for self-harm incidents.</p>","PeriodicalId":10420,"journal":{"name":"Clinical Psychopharmacology and Neuroscience","volume":"22 4","pages":"669-678"},"PeriodicalIF":2.7000,"publicationDate":"2024-11-30","publicationTypes":"Journal Article","fieldsOfStudy":null,"isOpenAccess":false,"openAccessPdf":"https://www.ncbi.nlm.nih.gov/pmc/articles/PMC11494428/pdf/","citationCount":"0","resultStr":"{\"title\":\"Psychometric Properties of Korean Version of Nonsuicidal Self-injury Inventory: Validation Study of Deliberate Self-harm Inventory.\",\"authors\":\"Chan-Mo Yang, Kyu-Sic Hwang, Hye-Jin Lee, Sang-Cheol Choi, Sang-Yeol Lee\",\"doi\":\"10.9758/cpn.24.1208\",\"DOIUrl\":null,\"url\":null,\"abstract\":\"<p><strong>Objective: </strong>This study aimed to develop a Korean version of the Nonsuicidal Self-injury Inventory (K-NSSI) through the Deliberate Self-harm Inventory (DSHI) developed by Gratz for the Korean context and confirm its reliability and validity for clinical application.</p><p><strong>Methods: </strong>A total of 188 participants were analyzed utilizing the DSHI, the Korean version of the Self-harm Inventory, the Personality Assessment Inventory-Borderline Features (PAI-BOR), and the DSM-5 Level-2-Depression scale (Level-2-Dep). Cronbach's α assessed their reliability, while frequency analysis examined the items of the K-NSSI scales. Validity of the K-NSSI was confirmed through correlation analyses between K-NSSI (tendency for and frequency of nonsuicidal self-injury [NSSI] behavior) and SHI, PAI-BOR total scale, four subscales of PAI-BOR, and Level-2-Dep scale. Polyserial correlations analyzed the correlation between the presence of NSSI behavior and other scales. Confirmatory factor analysis and structural equation modeling explored the relationship between borderline personality features and self-harm.</p><p><strong>Results: </strong>Cronbach's α was 0.71, indicating an \\\"acceptable\\\" level of reliability. Statistically significant correlations were observed between the presence of NSSI behavior and the total scores of SHI and PAI-BOR, and the four subscales of PAI-BOR. The frequency of NSSI showed statistically significant correlations with the total score of SHI and PAI-BOR, and its four subscales. Notably, 13.8% of participants reported engaging in self-harm behaviors, 26.9% reported a single occurrence, and 73.1% reported two or more instances. Structural equation modeling demonstrated that self-harm adequately predicted borderline personality traits.</p><p><strong>Conclusion: </strong>This study successfully validated the adaptation of DSHI into K-NSSI. The K-NSSI can facilitate interventions for self-harm incidents.</p>\",\"PeriodicalId\":10420,\"journal\":{\"name\":\"Clinical Psychopharmacology and Neuroscience\",\"volume\":\"22 4\",\"pages\":\"669-678\"},\"PeriodicalIF\":2.7000,\"publicationDate\":\"2024-11-30\",\"publicationTypes\":\"Journal Article\",\"fieldsOfStudy\":null,\"isOpenAccess\":false,\"openAccessPdf\":\"https://www.ncbi.nlm.nih.gov/pmc/articles/PMC11494428/pdf/\",\"citationCount\":\"0\",\"resultStr\":null,\"platform\":\"Semanticscholar\",\"paperid\":null,\"PeriodicalName\":\"Clinical Psychopharmacology and Neuroscience\",\"FirstCategoryId\":\"3\",\"ListUrlMain\":\"https://doi.org/10.9758/cpn.24.1208\",\"RegionNum\":4,\"RegionCategory\":\"医学\",\"ArticlePicture\":[],\"TitleCN\":null,\"AbstractTextCN\":null,\"PMCID\":null,\"EPubDate\":\"2024/8/27 0:00:00\",\"PubModel\":\"Epub\",\"JCR\":\"Q3\",\"JCRName\":\"NEUROSCIENCES\",\"Score\":null,\"Total\":0}","platform":"Semanticscholar","paperid":null,"PeriodicalName":"Clinical Psychopharmacology and Neuroscience","FirstCategoryId":"3","ListUrlMain":"https://doi.org/10.9758/cpn.24.1208","RegionNum":4,"RegionCategory":"医学","ArticlePicture":[],"TitleCN":null,"AbstractTextCN":null,"PMCID":null,"EPubDate":"2024/8/27 0:00:00","PubModel":"Epub","JCR":"Q3","JCRName":"NEUROSCIENCES","Score":null,"Total":0}
引用次数: 0

摘要

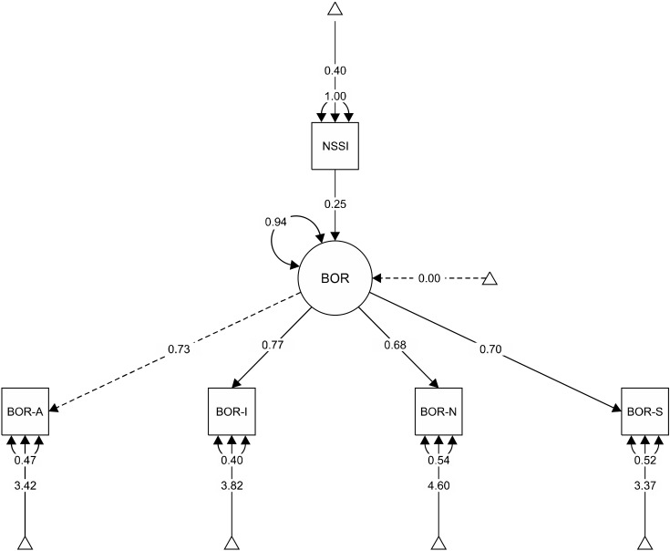
研究目的本研究旨在通过格拉茨(Gratz)开发的适合韩国国情的故意自残量表(DSHI),开发韩国版的非自杀性自伤量表(K-NSSI),并确认其在临床应用中的可靠性和有效性:共对 188 名参与者进行了分析,使用的工具包括故意自残量表、韩语版自残量表、人格评估量表-边缘化特征(PAI-BOR)和 DSM-5 抑郁量表(Level-2-Dep)。Cronbach's α评估了它们的信度,而频率分析则检验了K-NSSI量表的项目。通过 K-NSSI(非自杀性自伤[NSSI]行为的倾向和频率)与 SHI、PAI-BOR 总量表、PAI-BOR 的四个分量表以及 Level-2-Dep 量表之间的相关分析,证实了 K-NSSI 的有效性。多序列相关分析了 NSSI 行为与其他量表之间的相关性。确认因素分析和结构方程模型探讨了边缘型人格特征与自残之间的关系:Cronbach's α 为 0.71,表明信度达到 "可接受 "水平。NSSI行为的存在与SHI和PAI-BOR的总分以及PAI-BOR的四个分量表之间具有统计学意义的相关性。NSSI行为的频率与SHI和PAI-BOR的总分及其四个分量表之间存在统计学意义上的显著相关。值得注意的是,13.8%的参与者报告有自残行为,26.9%的参与者报告有一次自残行为,73.1%的参与者报告有两次或两次以上的自残行为。结构方程模型表明,自残行为可充分预测边缘型人格特质:本研究成功验证了将 DSHI 改编为 K-NSSI 的可行性。K-NSSI有助于对自残事件进行干预。
本文章由计算机程序翻译,如有差异,请以英文原文为准。

Psychometric Properties of Korean Version of Nonsuicidal Self-injury Inventory: Validation Study of Deliberate Self-harm Inventory.

Psychometric Properties of Korean Version of Nonsuicidal Self-injury Inventory: Validation Study of Deliberate Self-harm Inventory.

Objective: This study aimed to develop a Korean version of the Nonsuicidal Self-injury Inventory (K-NSSI) through the Deliberate Self-harm Inventory (DSHI) developed by Gratz for the Korean context and confirm its reliability and validity for clinical application.

Methods: A total of 188 participants were analyzed utilizing the DSHI, the Korean version of the Self-harm Inventory, the Personality Assessment Inventory-Borderline Features (PAI-BOR), and the DSM-5 Level-2-Depression scale (Level-2-Dep). Cronbach's α assessed their reliability, while frequency analysis examined the items of the K-NSSI scales. Validity of the K-NSSI was confirmed through correlation analyses between K-NSSI (tendency for and frequency of nonsuicidal self-injury [NSSI] behavior) and SHI, PAI-BOR total scale, four subscales of PAI-BOR, and Level-2-Dep scale. Polyserial correlations analyzed the correlation between the presence of NSSI behavior and other scales. Confirmatory factor analysis and structural equation modeling explored the relationship between borderline personality features and self-harm.

Results: Cronbach's α was 0.71, indicating an "acceptable" level of reliability. Statistically significant correlations were observed between the presence of NSSI behavior and the total scores of SHI and PAI-BOR, and the four subscales of PAI-BOR. The frequency of NSSI showed statistically significant correlations with the total score of SHI and PAI-BOR, and its four subscales. Notably, 13.8% of participants reported engaging in self-harm behaviors, 26.9% reported a single occurrence, and 73.1% reported two or more instances. Structural equation modeling demonstrated that self-harm adequately predicted borderline personality traits.

Conclusion: This study successfully validated the adaptation of DSHI into K-NSSI. The K-NSSI can facilitate interventions for self-harm incidents.

求助全文
通过发布文献求助,成功后即可免费获取论文全文。 去求助
来源期刊
Clinical Psychopharmacology and Neuroscience
Clinical Psychopharmacology and Neuroscience NEUROSCIENCESPHARMACOLOGY & PHARMACY-PHARMACOLOGY & PHARMACY
CiteScore
4.70
自引率
12.50%
发文量
81
期刊介绍: Clinical Psychopharmacology and Neuroscience (Clin Psychopharmacol Neurosci) launched in 2003, is the official journal of The Korean College of Neuropsychopharmacology (KCNP), and the associate journal for Asian College of Neuropsychopharmacology (AsCNP). This journal aims to publish evidence-based, scientifically written articles related to clinical and preclinical studies in the field of psychopharmacology and neuroscience. This journal intends to foster and encourage communications between psychiatrist, neuroscientist and all related experts in Asia as well as worldwide. It is published four times a year at the last day of February, May, August, and November.
×
引用
GB/T 7714-2015
复制
MLA
复制
APA
复制
导出至
BibTeX EndNote RefMan NoteFirst NoteExpress
×
提示
您的信息不完整,为了账户安全,请先补充。
现在去补充
×
提示
您因"违规操作"
具体请查看互助需知
我知道了
×
提示
确定
请完成安全验证×
copy
已复制链接
快去分享给好友吧!
我知道了
右上角分享
点击右上角分享
0
联系我们:info@booksci.cn Book学术提供免费学术资源搜索服务,方便国内外学者检索中英文文献。致力于提供最便捷和优质的服务体验。 Copyright © 2023 布克学术 All rights reserved.
京ICP备2023020795号-1
ghs 京公网安备 11010802042870号
Book学术文献互助
Book学术文献互助群
群 号:604180095
Book学术官方微信