韩国早期胃癌内镜粘膜下剥离术的全国统计数据。

IF 3.8 4区 医学 Q2 GASTROENTEROLOGY & HEPATOLOGY
Sang Hoon Lee, Hyunseok Cho, Myoung-Nam Lim, Seung-Joo Nam
{"title":"韩国早期胃癌内镜粘膜下剥离术的全国统计数据。","authors":"Sang Hoon Lee, Hyunseok Cho, Myoung-Nam Lim, Seung-Joo Nam","doi":"10.5230/jgc.2024.24.e41","DOIUrl":null,"url":null,"abstract":"<p><strong>Purpose: </strong>Endoscopic submucosal dissection (ESD) is the standard treatment for early gastric cancer (EGC) with a low risk of lymph node metastasis. In Korea, ESD was included in the National Health Insurance (NHI) coverage in 2011, which was expanded in 2018. In the present study, we investigated the status and trends of ESD for EGC over the past decade since its incorporation into the NHI system.</p><p><strong>Materials and methods: </strong>We analyzed the data from the National Health Insurance Service (NHIS) database from 2011 to 2021, focusing on patient characteristics, number of ESD procedures, in-hospital length of stay (LOS), and total medical cost (TMC) per admission. In addition, we conducted an interrupted time series analysis to assess the impact of changes in insurance coverage on these variables.</p><p><strong>Results: </strong>Overall, 95,348 cases of ESD for EGC were identified. A consistent annual increase in ESD procedures was observed, particularly in tertiary care hospitals and among patients aged >60 years. The overall median LOS and TMC were 4 days and 2,123,000 KRW, respectively. The 2018 insurance coverage expansion did not significantly affect the number of ESD procedures or LOS; however, the TMC increased significantly.</p><p><strong>Conclusions: </strong>Our study illustrates decade-long trends in the ESD for EGC in Korea. The policy needs to be revised continuously to optimize ESD use and improve resource allocation within healthcare systems.</p>","PeriodicalId":56072,"journal":{"name":"Journal of Gastric Cancer","volume":"24 4","pages":"464-478"},"PeriodicalIF":3.8000,"publicationDate":"2024-10-01","publicationTypes":"Journal Article","fieldsOfStudy":null,"isOpenAccess":false,"openAccessPdf":"https://www.ncbi.nlm.nih.gov/pmc/articles/PMC11471321/pdf/","citationCount":"0","resultStr":"{\"title\":\"National Statistics of Endoscopic Submucosal Dissection for Early Gastric Cancer in Korea.\",\"authors\":\"Sang Hoon Lee, Hyunseok Cho, Myoung-Nam Lim, Seung-Joo Nam\",\"doi\":\"10.5230/jgc.2024.24.e41\",\"DOIUrl\":null,\"url\":null,\"abstract\":\"<p><strong>Purpose: </strong>Endoscopic submucosal dissection (ESD) is the standard treatment for early gastric cancer (EGC) with a low risk of lymph node metastasis. In Korea, ESD was included in the National Health Insurance (NHI) coverage in 2011, which was expanded in 2018. In the present study, we investigated the status and trends of ESD for EGC over the past decade since its incorporation into the NHI system.</p><p><strong>Materials and methods: </strong>We analyzed the data from the National Health Insurance Service (NHIS) database from 2011 to 2021, focusing on patient characteristics, number of ESD procedures, in-hospital length of stay (LOS), and total medical cost (TMC) per admission. In addition, we conducted an interrupted time series analysis to assess the impact of changes in insurance coverage on these variables.</p><p><strong>Results: </strong>Overall, 95,348 cases of ESD for EGC were identified. A consistent annual increase in ESD procedures was observed, particularly in tertiary care hospitals and among patients aged >60 years. The overall median LOS and TMC were 4 days and 2,123,000 KRW, respectively. The 2018 insurance coverage expansion did not significantly affect the number of ESD procedures or LOS; however, the TMC increased significantly.</p><p><strong>Conclusions: </strong>Our study illustrates decade-long trends in the ESD for EGC in Korea. The policy needs to be revised continuously to optimize ESD use and improve resource allocation within healthcare systems.</p>\",\"PeriodicalId\":56072,\"journal\":{\"name\":\"Journal of Gastric Cancer\",\"volume\":\"24 4\",\"pages\":\"464-478\"},\"PeriodicalIF\":3.8000,\"publicationDate\":\"2024-10-01\",\"publicationTypes\":\"Journal Article\",\"fieldsOfStudy\":null,\"isOpenAccess\":false,\"openAccessPdf\":\"https://www.ncbi.nlm.nih.gov/pmc/articles/PMC11471321/pdf/\",\"citationCount\":\"0\",\"resultStr\":null,\"platform\":\"Semanticscholar\",\"paperid\":null,\"PeriodicalName\":\"Journal of Gastric Cancer\",\"FirstCategoryId\":\"3\",\"ListUrlMain\":\"https://doi.org/10.5230/jgc.2024.24.e41\",\"RegionNum\":4,\"RegionCategory\":\"医学\",\"ArticlePicture\":[],\"TitleCN\":null,\"AbstractTextCN\":null,\"PMCID\":null,\"EPubDate\":\"\",\"PubModel\":\"\",\"JCR\":\"Q2\",\"JCRName\":\"GASTROENTEROLOGY & HEPATOLOGY\",\"Score\":null,\"Total\":0}","platform":"Semanticscholar","paperid":null,"PeriodicalName":"Journal of Gastric Cancer","FirstCategoryId":"3","ListUrlMain":"https://doi.org/10.5230/jgc.2024.24.e41","RegionNum":4,"RegionCategory":"医学","ArticlePicture":[],"TitleCN":null,"AbstractTextCN":null,"PMCID":null,"EPubDate":"","PubModel":"","JCR":"Q2","JCRName":"GASTROENTEROLOGY & HEPATOLOGY","Score":null,"Total":0}
引用次数: 0

摘要

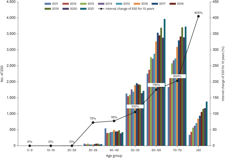
目的:内镜黏膜下剥离术(ESD)是治疗早期胃癌(EGC)的标准疗法,淋巴结转移风险较低。在韩国,ESD 于 2011 年被纳入国民健康保险(NHI)覆盖范围,并于 2018 年扩大了覆盖范围。在本研究中,我们调查了自ESD被纳入国民健康保险体系以来的十年间,ESD治疗EGC的现状和趋势:我们分析了国民健康保险服务(NHIS)数据库中2011年至2021年的数据,重点关注患者特征、ESD手术数量、院内住院时间(LOS)和每次入院的总医疗费用(TMC)。此外,我们还进行了间断时间序列分析,以评估保险范围的变化对这些变量的影响:总体而言,共发现 95,348 例 EGC ESD 病例。我们观察到ESD手术每年都在持续增加,尤其是在三级医院和年龄大于60岁的患者中。总体中位住院时间和总医疗费用分别为 4 天和 2 123 000 韩元。2018年保险覆盖范围的扩大并未对ESD手术的数量或LOS产生明显影响;但TMC却显著增加:我们的研究说明了韩国 EGC 的 ESD 十年来的发展趋势。该政策需要不断修订,以优化ESD的使用并改善医疗系统内的资源分配。
本文章由计算机程序翻译,如有差异,请以英文原文为准。

National Statistics of Endoscopic Submucosal Dissection for Early Gastric Cancer in Korea.

National Statistics of Endoscopic Submucosal Dissection for Early Gastric Cancer in Korea.

National Statistics of Endoscopic Submucosal Dissection for Early Gastric Cancer in Korea.

National Statistics of Endoscopic Submucosal Dissection for Early Gastric Cancer in Korea.

Purpose: Endoscopic submucosal dissection (ESD) is the standard treatment for early gastric cancer (EGC) with a low risk of lymph node metastasis. In Korea, ESD was included in the National Health Insurance (NHI) coverage in 2011, which was expanded in 2018. In the present study, we investigated the status and trends of ESD for EGC over the past decade since its incorporation into the NHI system.

Materials and methods: We analyzed the data from the National Health Insurance Service (NHIS) database from 2011 to 2021, focusing on patient characteristics, number of ESD procedures, in-hospital length of stay (LOS), and total medical cost (TMC) per admission. In addition, we conducted an interrupted time series analysis to assess the impact of changes in insurance coverage on these variables.

Results: Overall, 95,348 cases of ESD for EGC were identified. A consistent annual increase in ESD procedures was observed, particularly in tertiary care hospitals and among patients aged >60 years. The overall median LOS and TMC were 4 days and 2,123,000 KRW, respectively. The 2018 insurance coverage expansion did not significantly affect the number of ESD procedures or LOS; however, the TMC increased significantly.

Conclusions: Our study illustrates decade-long trends in the ESD for EGC in Korea. The policy needs to be revised continuously to optimize ESD use and improve resource allocation within healthcare systems.

求助全文
通过发布文献求助,成功后即可免费获取论文全文。 去求助
来源期刊
Journal of Gastric Cancer
Journal of Gastric Cancer Biochemistry, Genetics and Molecular Biology-Cancer Research
CiteScore
4.30
自引率
12.00%
发文量
36
期刊介绍: The Journal of Gastric Cancer (J Gastric Cancer) is an international peer-reviewed journal. Each issue carries high quality clinical and translational researches on gastric neoplasms. Editorial Board of J Gastric Cancer publishes original articles on pathophysiology, molecular oncology, diagnosis, treatment, and prevention of gastric cancer as well as articles on dietary control and improving the quality of life for gastric cancer patients. J Gastric Cancer includes case reports, review articles, how I do it articles, editorials, and letters to the editor.
×
引用
GB/T 7714-2015
复制
MLA
复制
APA
复制
导出至
BibTeX EndNote RefMan NoteFirst NoteExpress
×
提示
您的信息不完整,为了账户安全,请先补充。
现在去补充
×
提示
您因"违规操作"
具体请查看互助需知
我知道了
×
提示
确定
请完成安全验证×
copy
已复制链接
快去分享给好友吧!
我知道了
右上角分享
点击右上角分享
0
联系我们:info@booksci.cn Book学术提供免费学术资源搜索服务,方便国内外学者检索中英文文献。致力于提供最便捷和优质的服务体验。 Copyright © 2023 布克学术 All rights reserved.
京ICP备2023020795号-1
ghs 京公网安备 11010802042870号
Book学术文献互助
Book学术文献互助群
群 号:604180095
Book学术官方微信