使用 QuantCrit 评估国家生物医学培训计划:揭示有色人种女大学生在研究自我效能感方面的差异。

IF 4.1 2区 教育学 Q1 EDUCATION, SCIENTIFIC DISCIPLINES
Jayashri Srinivasan, Krystle P Cobian, Nicole M G Maccalla, Christina A Christie
{"title":"使用 QuantCrit 评估国家生物医学培训计划:揭示有色人种女大学生在研究自我效能感方面的差异。","authors":"Jayashri Srinivasan, Krystle P Cobian, Nicole M G Maccalla, Christina A Christie","doi":"10.1187/cbe.24-02-0047","DOIUrl":null,"url":null,"abstract":"<p><p>Program evaluation for interventions aimed at enhancing diversity can fall short when the evaluation unintentionally reifies the exclusion of multiple marginalized student experiences. The present study presents a Quantitative Critical Race Theory (QuantCrit) approach to program evaluation to understand outcomes for Women of Color undergraduates involved in a national biomedical training program called the Building Infrastructure Leading to Diversity (BUILD) initiative. Using longitudinal data, we examined the impact of participation in the BUILD Scholars programs and BUILD-developed novel biomedical curriculum on undergraduate's research self-efficacy. Employing propensity score matching and multiple regression models, we found that Black women who participated in the BUILD scholars program reported higher research self-efficacy, whereas Latine and White undergraduate BUILD scholars had lower research self-efficacy. Additionally, Latine women who participated in novel biomedical curricula reported significantly lower research self-efficacy. We contend that disaggregated and intersectional analyses of subpopulations are necessary for improving understanding of program interventions and identifying areas where systems of exclusion may continue to harm students from minoritized backgrounds. We provide recommendations for future quantitative program evaluation practices and research in science, technology, engineering, mathematics, and medicine (STEMM) equity efforts.</p>","PeriodicalId":56321,"journal":{"name":"Cbe-Life Sciences Education","volume":"23 4","pages":"ar54"},"PeriodicalIF":4.1000,"publicationDate":"2024-12-01","publicationTypes":"Journal Article","fieldsOfStudy":null,"isOpenAccess":false,"openAccessPdf":"https://www.ncbi.nlm.nih.gov/pmc/articles/PMC11659848/pdf/","citationCount":"0","resultStr":"{\"title\":\"Evaluating a National Biomedical Training Program Using QuantCrit: Revealing Disparities in Research Self-efficacy for Women of Color Undergraduates.\",\"authors\":\"Jayashri Srinivasan, Krystle P Cobian, Nicole M G Maccalla, Christina A Christie\",\"doi\":\"10.1187/cbe.24-02-0047\",\"DOIUrl\":null,\"url\":null,\"abstract\":\"<p><p>Program evaluation for interventions aimed at enhancing diversity can fall short when the evaluation unintentionally reifies the exclusion of multiple marginalized student experiences. The present study presents a Quantitative Critical Race Theory (QuantCrit) approach to program evaluation to understand outcomes for Women of Color undergraduates involved in a national biomedical training program called the Building Infrastructure Leading to Diversity (BUILD) initiative. Using longitudinal data, we examined the impact of participation in the BUILD Scholars programs and BUILD-developed novel biomedical curriculum on undergraduate's research self-efficacy. Employing propensity score matching and multiple regression models, we found that Black women who participated in the BUILD scholars program reported higher research self-efficacy, whereas Latine and White undergraduate BUILD scholars had lower research self-efficacy. Additionally, Latine women who participated in novel biomedical curricula reported significantly lower research self-efficacy. We contend that disaggregated and intersectional analyses of subpopulations are necessary for improving understanding of program interventions and identifying areas where systems of exclusion may continue to harm students from minoritized backgrounds. We provide recommendations for future quantitative program evaluation practices and research in science, technology, engineering, mathematics, and medicine (STEMM) equity efforts.</p>\",\"PeriodicalId\":56321,\"journal\":{\"name\":\"Cbe-Life Sciences Education\",\"volume\":\"23 4\",\"pages\":\"ar54\"},\"PeriodicalIF\":4.1000,\"publicationDate\":\"2024-12-01\",\"publicationTypes\":\"Journal Article\",\"fieldsOfStudy\":null,\"isOpenAccess\":false,\"openAccessPdf\":\"https://www.ncbi.nlm.nih.gov/pmc/articles/PMC11659848/pdf/\",\"citationCount\":\"0\",\"resultStr\":null,\"platform\":\"Semanticscholar\",\"paperid\":null,\"PeriodicalName\":\"Cbe-Life Sciences Education\",\"FirstCategoryId\":\"95\",\"ListUrlMain\":\"https://doi.org/10.1187/cbe.24-02-0047\",\"RegionNum\":2,\"RegionCategory\":\"教育学\",\"ArticlePicture\":[],\"TitleCN\":null,\"AbstractTextCN\":null,\"PMCID\":null,\"EPubDate\":\"\",\"PubModel\":\"\",\"JCR\":\"Q1\",\"JCRName\":\"EDUCATION, SCIENTIFIC DISCIPLINES\",\"Score\":null,\"Total\":0}","platform":"Semanticscholar","paperid":null,"PeriodicalName":"Cbe-Life Sciences Education","FirstCategoryId":"95","ListUrlMain":"https://doi.org/10.1187/cbe.24-02-0047","RegionNum":2,"RegionCategory":"教育学","ArticlePicture":[],"TitleCN":null,"AbstractTextCN":null,"PMCID":null,"EPubDate":"","PubModel":"","JCR":"Q1","JCRName":"EDUCATION, SCIENTIFIC DISCIPLINES","Score":null,"Total":0}
引用次数: 0

摘要

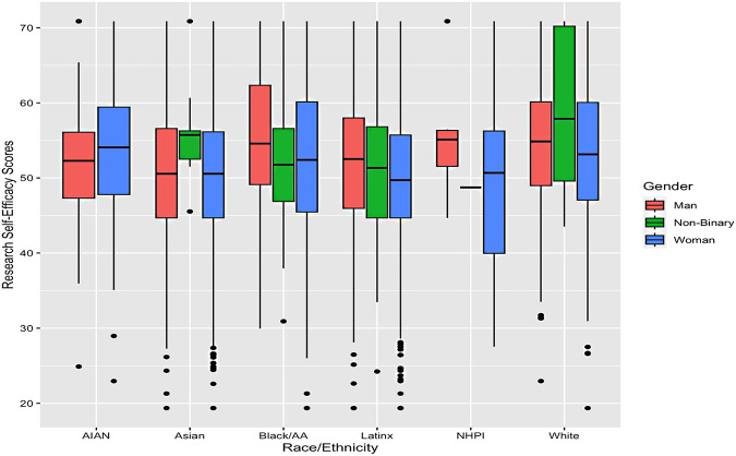
对旨在提高多样性的干预措施进行项目评估时,如果评估无意中将多种边缘化学生的经历排除在外,那么评估结果可能会不尽人意。本研究采用定量种族批判理论(QuantCrit)的方法进行项目评估,以了解参与名为 "建设引领多样性的基础设施"(BUILD)计划的国家生物医学培训项目的有色人种女大学生的成果。利用纵向数据,我们考察了参与 BUILD 学者项目和 BUILD 开发的新型生物医学课程对本科生研究自我效能的影响。通过倾向得分匹配和多元回归模型,我们发现参加 BUILD 学者项目的黑人女性的研究自我效能感较高,而拉丁裔和白人本科生的研究自我效能感较低。此外,参加新型生物医学课程的拉丁裔女性的研究自我效能感明显较低。我们认为,有必要对亚人群进行分类和交叉分析,以加深对项目干预措施的理解,并找出排斥制度可能会继续伤害来自少数民族背景的学生的领域。我们为未来科学、技术、工程、数学和医学(STEMM)公平工作中的定量项目评估实践和研究提出了建议。
本文章由计算机程序翻译,如有差异,请以英文原文为准。

Evaluating a National Biomedical Training Program Using QuantCrit: Revealing Disparities in Research Self-efficacy for Women of Color Undergraduates.

Evaluating a National Biomedical Training Program Using QuantCrit: Revealing Disparities in Research Self-efficacy for Women of Color Undergraduates.

Evaluating a National Biomedical Training Program Using QuantCrit: Revealing Disparities in Research Self-efficacy for Women of Color Undergraduates.

Evaluating a National Biomedical Training Program Using QuantCrit: Revealing Disparities in Research Self-efficacy for Women of Color Undergraduates.

Program evaluation for interventions aimed at enhancing diversity can fall short when the evaluation unintentionally reifies the exclusion of multiple marginalized student experiences. The present study presents a Quantitative Critical Race Theory (QuantCrit) approach to program evaluation to understand outcomes for Women of Color undergraduates involved in a national biomedical training program called the Building Infrastructure Leading to Diversity (BUILD) initiative. Using longitudinal data, we examined the impact of participation in the BUILD Scholars programs and BUILD-developed novel biomedical curriculum on undergraduate's research self-efficacy. Employing propensity score matching and multiple regression models, we found that Black women who participated in the BUILD scholars program reported higher research self-efficacy, whereas Latine and White undergraduate BUILD scholars had lower research self-efficacy. Additionally, Latine women who participated in novel biomedical curricula reported significantly lower research self-efficacy. We contend that disaggregated and intersectional analyses of subpopulations are necessary for improving understanding of program interventions and identifying areas where systems of exclusion may continue to harm students from minoritized backgrounds. We provide recommendations for future quantitative program evaluation practices and research in science, technology, engineering, mathematics, and medicine (STEMM) equity efforts.

求助全文
通过发布文献求助,成功后即可免费获取论文全文。 去求助
来源期刊
Cbe-Life Sciences Education
Cbe-Life Sciences Education EDUCATION, SCIENTIFIC DISCIPLINES-
CiteScore
6.50
自引率
13.50%
发文量
100
审稿时长
>12 weeks
期刊介绍: CBE—Life Sciences Education (LSE), a free, online quarterly journal, is published by the American Society for Cell Biology (ASCB). The journal was launched in spring 2002 as Cell Biology Education—A Journal of Life Science Education. The ASCB changed the name of the journal in spring 2006 to better reflect the breadth of its readership and the scope of its submissions. LSE publishes peer-reviewed articles on life science education at the K–12, undergraduate, and graduate levels. The ASCB believes that learning in biology encompasses diverse fields, including math, chemistry, physics, engineering, computer science, and the interdisciplinary intersections of biology with these fields. Within biology, LSE focuses on how students are introduced to the study of life sciences, as well as approaches in cell biology, developmental biology, neuroscience, biochemistry, molecular biology, genetics, genomics, bioinformatics, and proteomics.
×
引用
GB/T 7714-2015
复制
MLA
复制
APA
复制
导出至
BibTeX EndNote RefMan NoteFirst NoteExpress
×
提示
您的信息不完整,为了账户安全,请先补充。
现在去补充
×
提示
您因"违规操作"
具体请查看互助需知
我知道了
×
提示
确定
请完成安全验证×
copy
已复制链接
快去分享给好友吧!
我知道了
右上角分享
点击右上角分享
0
联系我们:info@booksci.cn Book学术提供免费学术资源搜索服务,方便国内外学者检索中英文文献。致力于提供最便捷和优质的服务体验。 Copyright © 2023 布克学术 All rights reserved.
京ICP备2023020795号-1
ghs 京公网安备 11010802042870号
Book学术文献互助
Book学术文献互助群
群 号:604180095
Book学术官方微信