利用分子技术检测和量化乳仔猪早期感染的细胞内劳森氏杆菌。

IF 3.1 2区 农林科学 Q1 VETERINARY SCIENCES
Víctor Rodriguez-Vega, Héctor Puente, Ana Carvajal, Lucía Pérez-Pérez, Samuel Gómez-Martínez, Fernando L Leite, Rocío García, Lola Abella, Héctor Argüello
{"title":"利用分子技术检测和量化乳仔猪早期感染的细胞内劳森氏杆菌。","authors":"Víctor Rodriguez-Vega, Héctor Puente, Ana Carvajal, Lucía Pérez-Pérez, Samuel Gómez-Martínez, Fernando L Leite, Rocío García, Lola Abella, Héctor Argüello","doi":"10.1186/s40813-024-00394-6","DOIUrl":null,"url":null,"abstract":"<p><strong>Background: </strong>Lawsonia intracellularis is the causative agent of Porcine Proliferative Enteropathy (PPE), one of the most prevalent pig enteric diseases worldwide, but with sparse information about early infections in suckling piglets in the epidemiology of PPE. With that aim, this study evaluates the prevalence of L. intracellularis in 3-week-old piglets by analysing ileal digesta content and mucosal scrapings from 383 pigs from 16 farms (aprox., 25 pigs/batch) by real-time qPCR and droplet digital PCR (ddPCR).</p><p><strong>Results: </strong>Forty-nine samples yielded a qPCR positive result. Eleven samples from eight farms were confirmed as positive with concentrations of L. intracellularis from 3.5 log<sub>10</sub> to 4.5 log<sub>10</sub> bacteria/g of sample. Another 16 samples, eight farms, were classified as low positive (2.07-2.38 log<sub>10</sub> bacteria/g) and 22 provided an uncertain result. Finally, 334 samples tested negative for L. intracellularis. At batch level, half of the farms included in the study had at least one positive sample and in 10 farms (62.5%) there was at least one low positive sample. The ddPCR was run in 50 of the 383 samples based on their PCR output (including low positive, uncertain and negative samples). Correlation analyses revealed a strong association between qPCR and the ddPCR results (ρ = 0.75; p < 0.001). The ddPCR allowed us to detect and confirm a positive result in the 19 samples classified as uncertain by the qPCR and detect L. intracellularis in 8 of 15 negatives by qPCR.</p><p><strong>Conclusions: </strong>The results of the study demonstrate that a number of piglets are already infected with L. intracellularis during the suckling period evidencing early infection in certain animals, adding information of PPE epidemiology and opening new research topics such as sow-piglet transmission. Study results also evidence the usefulness of a combination of qPCR and ddPCR to improve qPCR sensitivity but assuring high specificity.</p>","PeriodicalId":20352,"journal":{"name":"Porcine Health Management","volume":"10 1","pages":"38"},"PeriodicalIF":3.1000,"publicationDate":"2024-10-08","publicationTypes":"Journal Article","fieldsOfStudy":null,"isOpenAccess":false,"openAccessPdf":"https://www.ncbi.nlm.nih.gov/pmc/articles/PMC11459964/pdf/","citationCount":"0","resultStr":"{\"title\":\"Detection and quantification by molecular techniques of early infection by Lawsonia intracellularis in suckling piglets.\",\"authors\":\"Víctor Rodriguez-Vega, Héctor Puente, Ana Carvajal, Lucía Pérez-Pérez, Samuel Gómez-Martínez, Fernando L Leite, Rocío García, Lola Abella, Héctor Argüello\",\"doi\":\"10.1186/s40813-024-00394-6\",\"DOIUrl\":null,\"url\":null,\"abstract\":\"<p><strong>Background: </strong>Lawsonia intracellularis is the causative agent of Porcine Proliferative Enteropathy (PPE), one of the most prevalent pig enteric diseases worldwide, but with sparse information about early infections in suckling piglets in the epidemiology of PPE. With that aim, this study evaluates the prevalence of L. intracellularis in 3-week-old piglets by analysing ileal digesta content and mucosal scrapings from 383 pigs from 16 farms (aprox., 25 pigs/batch) by real-time qPCR and droplet digital PCR (ddPCR).</p><p><strong>Results: </strong>Forty-nine samples yielded a qPCR positive result. Eleven samples from eight farms were confirmed as positive with concentrations of L. intracellularis from 3.5 log<sub>10</sub> to 4.5 log<sub>10</sub> bacteria/g of sample. Another 16 samples, eight farms, were classified as low positive (2.07-2.38 log<sub>10</sub> bacteria/g) and 22 provided an uncertain result. Finally, 334 samples tested negative for L. intracellularis. At batch level, half of the farms included in the study had at least one positive sample and in 10 farms (62.5%) there was at least one low positive sample. The ddPCR was run in 50 of the 383 samples based on their PCR output (including low positive, uncertain and negative samples). Correlation analyses revealed a strong association between qPCR and the ddPCR results (ρ = 0.75; p < 0.001). The ddPCR allowed us to detect and confirm a positive result in the 19 samples classified as uncertain by the qPCR and detect L. intracellularis in 8 of 15 negatives by qPCR.</p><p><strong>Conclusions: </strong>The results of the study demonstrate that a number of piglets are already infected with L. intracellularis during the suckling period evidencing early infection in certain animals, adding information of PPE epidemiology and opening new research topics such as sow-piglet transmission. Study results also evidence the usefulness of a combination of qPCR and ddPCR to improve qPCR sensitivity but assuring high specificity.</p>\",\"PeriodicalId\":20352,\"journal\":{\"name\":\"Porcine Health Management\",\"volume\":\"10 1\",\"pages\":\"38\"},\"PeriodicalIF\":3.1000,\"publicationDate\":\"2024-10-08\",\"publicationTypes\":\"Journal Article\",\"fieldsOfStudy\":null,\"isOpenAccess\":false,\"openAccessPdf\":\"https://www.ncbi.nlm.nih.gov/pmc/articles/PMC11459964/pdf/\",\"citationCount\":\"0\",\"resultStr\":null,\"platform\":\"Semanticscholar\",\"paperid\":null,\"PeriodicalName\":\"Porcine Health Management\",\"FirstCategoryId\":\"97\",\"ListUrlMain\":\"https://doi.org/10.1186/s40813-024-00394-6\",\"RegionNum\":2,\"RegionCategory\":\"农林科学\",\"ArticlePicture\":[],\"TitleCN\":null,\"AbstractTextCN\":null,\"PMCID\":null,\"EPubDate\":\"\",\"PubModel\":\"\",\"JCR\":\"Q1\",\"JCRName\":\"VETERINARY SCIENCES\",\"Score\":null,\"Total\":0}","platform":"Semanticscholar","paperid":null,"PeriodicalName":"Porcine Health Management","FirstCategoryId":"97","ListUrlMain":"https://doi.org/10.1186/s40813-024-00394-6","RegionNum":2,"RegionCategory":"农林科学","ArticlePicture":[],"TitleCN":null,"AbstractTextCN":null,"PMCID":null,"EPubDate":"","PubModel":"","JCR":"Q1","JCRName":"VETERINARY SCIENCES","Score":null,"Total":0}
引用次数: 0

摘要

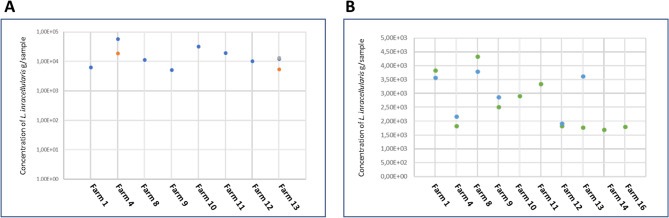
背景:细胞内劳森氏杆菌是猪增生性肠炎(PPE)的致病菌,PPE 是全球最流行的猪肠道疾病之一,但在 PPE 的流行病学中,有关哺乳仔猪早期感染的信息却很少。为此,本研究通过实时 qPCR 和液滴数字 PCR(ddPCR)分析来自 16 个猪场(约 25 头猪/批)的 383 头猪的回肠消化液内容物和粘膜刮片,评估了 3 周龄仔猪中细胞内乳头瘤病毒的流行情况:结果:49 个样本的 qPCR 结果呈阳性。来自 8 个猪场的 11 份样本被确认为阳性,样本中的 L. intracellularis 细菌浓度为 3.5 log10 至 4.5 log10 个/克。另有 8 个农场的 16 个样本被归类为低阳性(2.07-2.38 log10 细菌/克),22 个样本结果不确定。最后,334 个样本的细胞内嗜酸乳杆菌检测结果为阴性。在批次方面,半数参与研究的农场至少有一个阳性样本,10 个农场(62.5%)至少有一个低阳性样本。根据 PCR 结果(包括低阳性、不确定和阴性样本),对 383 个样本中的 50 个进行了 ddPCR 检测。相关性分析表明,qPCR 和 ddPCR 结果之间存在很强的相关性(ρ = 0.75;p 结论:qPCR 和 ddPCR 结果之间存在很强的相关性:研究结果表明,许多仔猪在哺乳期就已经感染了细胞内乳头瘤病毒,这证明了某些动物的早期感染,增加了 PPE 流行病学的信息,并开启了母猪-仔猪传播等新的研究课题。研究结果还证明,将 qPCR 和 ddPCR 结合使用可提高 qPCR 的灵敏度,同时确保高特异性。
本文章由计算机程序翻译,如有差异,请以英文原文为准。

Detection and quantification by molecular techniques of early infection by Lawsonia intracellularis in suckling piglets.

Detection and quantification by molecular techniques of early infection by Lawsonia intracellularis in suckling piglets.

Detection and quantification by molecular techniques of early infection by Lawsonia intracellularis in suckling piglets.

Background: Lawsonia intracellularis is the causative agent of Porcine Proliferative Enteropathy (PPE), one of the most prevalent pig enteric diseases worldwide, but with sparse information about early infections in suckling piglets in the epidemiology of PPE. With that aim, this study evaluates the prevalence of L. intracellularis in 3-week-old piglets by analysing ileal digesta content and mucosal scrapings from 383 pigs from 16 farms (aprox., 25 pigs/batch) by real-time qPCR and droplet digital PCR (ddPCR).

Results: Forty-nine samples yielded a qPCR positive result. Eleven samples from eight farms were confirmed as positive with concentrations of L. intracellularis from 3.5 log10 to 4.5 log10 bacteria/g of sample. Another 16 samples, eight farms, were classified as low positive (2.07-2.38 log10 bacteria/g) and 22 provided an uncertain result. Finally, 334 samples tested negative for L. intracellularis. At batch level, half of the farms included in the study had at least one positive sample and in 10 farms (62.5%) there was at least one low positive sample. The ddPCR was run in 50 of the 383 samples based on their PCR output (including low positive, uncertain and negative samples). Correlation analyses revealed a strong association between qPCR and the ddPCR results (ρ = 0.75; p < 0.001). The ddPCR allowed us to detect and confirm a positive result in the 19 samples classified as uncertain by the qPCR and detect L. intracellularis in 8 of 15 negatives by qPCR.

Conclusions: The results of the study demonstrate that a number of piglets are already infected with L. intracellularis during the suckling period evidencing early infection in certain animals, adding information of PPE epidemiology and opening new research topics such as sow-piglet transmission. Study results also evidence the usefulness of a combination of qPCR and ddPCR to improve qPCR sensitivity but assuring high specificity.

求助全文
通过发布文献求助,成功后即可免费获取论文全文。 去求助
来源期刊
Porcine Health Management
Porcine Health Management Veterinary-Food Animals
CiteScore
5.40
自引率
5.90%
发文量
49
审稿时长
14 weeks
期刊介绍: Porcine Health Management (PHM) is an open access peer-reviewed journal that aims to publish relevant, novel and revised information regarding all aspects of swine health medicine and production.
×
引用
GB/T 7714-2015
复制
MLA
复制
APA
复制
导出至
BibTeX EndNote RefMan NoteFirst NoteExpress
×
提示
您的信息不完整,为了账户安全,请先补充。
现在去补充
×
提示
您因"违规操作"
具体请查看互助需知
我知道了
×
提示
确定
请完成安全验证×
copy
已复制链接
快去分享给好友吧!
我知道了
右上角分享
点击右上角分享
0
联系我们:info@booksci.cn Book学术提供免费学术资源搜索服务,方便国内外学者检索中英文文献。致力于提供最便捷和优质的服务体验。 Copyright © 2023 布克学术 All rights reserved.
京ICP备2023020795号-1
ghs 京公网安备 11010802042870号
Book学术文献互助
Book学术文献互助群
群 号:604180095
Book学术官方微信