一项关于健康志愿者暴露于纽约市地铁站高浓度 PM2.5 后心肺功能影响的试点研究。

IF 8.2 1区 医学 Q1 TOXICOLOGY
David G Luglio, Kayla Rae Farrell, Terry Gordon
{"title":"一项关于健康志愿者暴露于纽约市地铁站高浓度 PM2.5 后心肺功能影响的试点研究。","authors":"David G Luglio, Kayla Rae Farrell, Terry Gordon","doi":"10.1186/s12989-024-00594-6","DOIUrl":null,"url":null,"abstract":"<p><strong>Background: </strong>Subway systems are becoming increasingly common worldwide transporting large populations in major cities. PM<sub>2.5</sub> concentrations have been demonstrated to be exceptionally high when underground, however. Studies on the impact of subway PM exposure on cardiopulmonary health in the United States are limited.</p><p><strong>Methods: </strong>Healthy volunteers in New York City were exposed to a 2-h visit on the 9th Street Station platform on the Port Authority Trans-Hudson train system. Blood pressure, heart rate variability (HRV), spirometry, and forced impulse oscillometry were measured, and urine, blood spot, and nasal swab biosamples were collected for cytokine analysis at the end of the 2-h exposure period. These endpoints were compared against individual control measurements collected after 2-h in a \"clean\" control space. In addition to paired comparisons, mixed effects models with subject as a random effect were employed to investigate the effect of the PM<sub>2.5</sub> concentrations and visit type (i.e., subway vs. control).</p><p><strong>Results: </strong>Mean PM<sub>2.5</sub> concentrations on the platform and during the control visit were 293.6 ± 65.7 (SD) and 4.6 ± 1.9 µg/m<sup>3</sup>, respectively. There was no change in any of the health metrics, but there was a non-significant trend for SDNN to be lower after subway exposure compared to control exposure. Total symptomatic scores did increase post-subway exposure compared to reported values prior to exposure or after the control visit. No significant changes in cytokine concentrations in any specimen type were observed. Mixed-effects models mostly corroborated these paired comparisons.</p><p><strong>Conclusions: </strong>Acute exposures to PM on a subway platform do not cause measurable cardiopulmonary effects apart from reductions in HRV and increases in symptoms in healthy volunteers. These findings match other studies that found little to no changes in lung function and blood pressure after exposure in underground subway stations. Future work should still target potentially more vulnerable populations, such as individuals with asthma or those who spend increased time underground on the subway such as transit workers.</p>","PeriodicalId":19847,"journal":{"name":"Particle and Fibre Toxicology","volume":"21 1","pages":"42"},"PeriodicalIF":8.2000,"publicationDate":"2024-10-08","publicationTypes":"Journal Article","fieldsOfStudy":null,"isOpenAccess":false,"openAccessPdf":"https://www.ncbi.nlm.nih.gov/pmc/articles/PMC11460011/pdf/","citationCount":"0","resultStr":"{\"title\":\"A pilot study of the cardiopulmonary effects in healthy volunteers after exposure to high levels of PM<sub>2.5</sub> in a New York City subway station.\",\"authors\":\"David G Luglio, Kayla Rae Farrell, Terry Gordon\",\"doi\":\"10.1186/s12989-024-00594-6\",\"DOIUrl\":null,\"url\":null,\"abstract\":\"<p><strong>Background: </strong>Subway systems are becoming increasingly common worldwide transporting large populations in major cities. PM<sub>2.5</sub> concentrations have been demonstrated to be exceptionally high when underground, however. Studies on the impact of subway PM exposure on cardiopulmonary health in the United States are limited.</p><p><strong>Methods: </strong>Healthy volunteers in New York City were exposed to a 2-h visit on the 9th Street Station platform on the Port Authority Trans-Hudson train system. Blood pressure, heart rate variability (HRV), spirometry, and forced impulse oscillometry were measured, and urine, blood spot, and nasal swab biosamples were collected for cytokine analysis at the end of the 2-h exposure period. These endpoints were compared against individual control measurements collected after 2-h in a \\\"clean\\\" control space. In addition to paired comparisons, mixed effects models with subject as a random effect were employed to investigate the effect of the PM<sub>2.5</sub> concentrations and visit type (i.e., subway vs. control).</p><p><strong>Results: </strong>Mean PM<sub>2.5</sub> concentrations on the platform and during the control visit were 293.6 ± 65.7 (SD) and 4.6 ± 1.9 µg/m<sup>3</sup>, respectively. There was no change in any of the health metrics, but there was a non-significant trend for SDNN to be lower after subway exposure compared to control exposure. Total symptomatic scores did increase post-subway exposure compared to reported values prior to exposure or after the control visit. No significant changes in cytokine concentrations in any specimen type were observed. Mixed-effects models mostly corroborated these paired comparisons.</p><p><strong>Conclusions: </strong>Acute exposures to PM on a subway platform do not cause measurable cardiopulmonary effects apart from reductions in HRV and increases in symptoms in healthy volunteers. These findings match other studies that found little to no changes in lung function and blood pressure after exposure in underground subway stations. Future work should still target potentially more vulnerable populations, such as individuals with asthma or those who spend increased time underground on the subway such as transit workers.</p>\",\"PeriodicalId\":19847,\"journal\":{\"name\":\"Particle and Fibre Toxicology\",\"volume\":\"21 1\",\"pages\":\"42\"},\"PeriodicalIF\":8.2000,\"publicationDate\":\"2024-10-08\",\"publicationTypes\":\"Journal Article\",\"fieldsOfStudy\":null,\"isOpenAccess\":false,\"openAccessPdf\":\"https://www.ncbi.nlm.nih.gov/pmc/articles/PMC11460011/pdf/\",\"citationCount\":\"0\",\"resultStr\":null,\"platform\":\"Semanticscholar\",\"paperid\":null,\"PeriodicalName\":\"Particle and Fibre Toxicology\",\"FirstCategoryId\":\"3\",\"ListUrlMain\":\"https://doi.org/10.1186/s12989-024-00594-6\",\"RegionNum\":1,\"RegionCategory\":\"医学\",\"ArticlePicture\":[],\"TitleCN\":null,\"AbstractTextCN\":null,\"PMCID\":null,\"EPubDate\":\"\",\"PubModel\":\"\",\"JCR\":\"Q1\",\"JCRName\":\"TOXICOLOGY\",\"Score\":null,\"Total\":0}","platform":"Semanticscholar","paperid":null,"PeriodicalName":"Particle and Fibre Toxicology","FirstCategoryId":"3","ListUrlMain":"https://doi.org/10.1186/s12989-024-00594-6","RegionNum":1,"RegionCategory":"医学","ArticlePicture":[],"TitleCN":null,"AbstractTextCN":null,"PMCID":null,"EPubDate":"","PubModel":"","JCR":"Q1","JCRName":"TOXICOLOGY","Score":null,"Total":0}
引用次数: 0

摘要

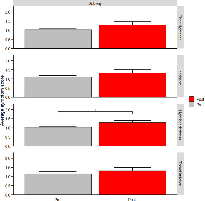
背景:世界各地的地铁系统越来越普遍,为大城市运送大量人口。然而,PM2.5 在地下的浓度已被证明特别高。方法:纽约市的健康志愿者在港务局跨哈德逊列车系统的第 9 街站站台接触 PM2.5 2 小时。测量血压、心率变异性(HRV)、肺活量和强迫脉冲振荡测定法,并在 2 小时暴露期结束时收集尿液、血斑和鼻拭子生物样本进行细胞因子分析。将这些终点与在 "清洁 "对照空间中 2 小时后收集的单个对照测量值进行比较。除了配对比较外,还采用了以受试者为随机效应的混合效应模型来研究PM2.5浓度和访问类型(即地铁与对照)的影响:月台上和对照访问期间的 PM2.5 平均浓度分别为 293.6 ± 65.7 (SD) µg/m3 和 4.6 ± 1.9 µg/m3。任何健康指标都没有变化,但与对照组相比,地铁暴露后的 SDNN 有降低的趋势,但不显著。与接触地铁前或对照组访问后的报告值相比,接触地铁后的症状总分确实有所增加。没有观察到任何样本类型的细胞因子浓度有明显变化。混合效应模型大多证实了这些配对比较:结论:在地铁站台上急性暴露于可吸入颗粒物,除了心率变异性降低和健康志愿者症状增加外,不会对心肺产生可测量的影响。这些研究结果与其他研究结果相吻合,其他研究发现,在地下地铁站接触可吸入颗粒物后,肺功能和血压几乎没有变化。未来的工作仍应针对可能更易受到影响的人群,如哮喘患者或在地铁地下工作时间较长的人群,如公交工人。
本文章由计算机程序翻译,如有差异,请以英文原文为准。

A pilot study of the cardiopulmonary effects in healthy volunteers after exposure to high levels of PM<sub>2.5</sub> in a New York City subway station.

A pilot study of the cardiopulmonary effects in healthy volunteers after exposure to high levels of PM<sub>2.5</sub> in a New York City subway station.

A pilot study of the cardiopulmonary effects in healthy volunteers after exposure to high levels of PM2.5 in a New York City subway station.

Background: Subway systems are becoming increasingly common worldwide transporting large populations in major cities. PM2.5 concentrations have been demonstrated to be exceptionally high when underground, however. Studies on the impact of subway PM exposure on cardiopulmonary health in the United States are limited.

Methods: Healthy volunteers in New York City were exposed to a 2-h visit on the 9th Street Station platform on the Port Authority Trans-Hudson train system. Blood pressure, heart rate variability (HRV), spirometry, and forced impulse oscillometry were measured, and urine, blood spot, and nasal swab biosamples were collected for cytokine analysis at the end of the 2-h exposure period. These endpoints were compared against individual control measurements collected after 2-h in a "clean" control space. In addition to paired comparisons, mixed effects models with subject as a random effect were employed to investigate the effect of the PM2.5 concentrations and visit type (i.e., subway vs. control).

Results: Mean PM2.5 concentrations on the platform and during the control visit were 293.6 ± 65.7 (SD) and 4.6 ± 1.9 µg/m3, respectively. There was no change in any of the health metrics, but there was a non-significant trend for SDNN to be lower after subway exposure compared to control exposure. Total symptomatic scores did increase post-subway exposure compared to reported values prior to exposure or after the control visit. No significant changes in cytokine concentrations in any specimen type were observed. Mixed-effects models mostly corroborated these paired comparisons.

Conclusions: Acute exposures to PM on a subway platform do not cause measurable cardiopulmonary effects apart from reductions in HRV and increases in symptoms in healthy volunteers. These findings match other studies that found little to no changes in lung function and blood pressure after exposure in underground subway stations. Future work should still target potentially more vulnerable populations, such as individuals with asthma or those who spend increased time underground on the subway such as transit workers.

求助全文
通过发布文献求助,成功后即可免费获取论文全文。 去求助
来源期刊
CiteScore
15.90
自引率
4.00%
发文量
69
审稿时长
6 months
期刊介绍: Particle and Fibre Toxicology is an online journal that is open access and peer-reviewed. It covers a range of disciplines such as material science, biomaterials, and nanomedicine, focusing on the toxicological effects of particles and fibres. The journal serves as a platform for scientific debate and communication among toxicologists and scientists from different fields who work with particle and fibre materials. The main objective of the journal is to deepen our understanding of the physico-chemical properties of particles, their potential for human exposure, and the resulting biological effects. It also addresses regulatory issues related to particle exposure in workplaces and the general environment. Moreover, the journal recognizes that there are various situations where particles can pose a toxicological threat, such as the use of old materials in new applications or the introduction of new materials altogether. By encompassing all these disciplines, Particle and Fibre Toxicology provides a comprehensive source for research in this field.
×
引用
GB/T 7714-2015
复制
MLA
复制
APA
复制
导出至
BibTeX EndNote RefMan NoteFirst NoteExpress
×
提示
您的信息不完整,为了账户安全,请先补充。
现在去补充
×
提示
您因"违规操作"
具体请查看互助需知
我知道了
×
提示
确定
请完成安全验证×
copy
已复制链接
快去分享给好友吧!
我知道了
右上角分享
点击右上角分享
0
联系我们:info@booksci.cn Book学术提供免费学术资源搜索服务,方便国内外学者检索中英文文献。致力于提供最便捷和优质的服务体验。 Copyright © 2023 布克学术 All rights reserved.
京ICP备2023020795号-1
ghs 京公网安备 11010802042870号
Book学术文献互助
Book学术文献互助群
群 号:604180095
Book学术官方微信