14 个欧洲国家抗抑郁药和抗焦虑药的使用和支出模式(2012-2021 年):综合时间序列分析》。

IF 2.5 Q2 HEALTH CARE SCIENCES & SERVICES
Health Services Insights Pub Date : 2024-10-08 eCollection Date: 2024-01-01 DOI:10.1177/11786329241282526
Manuela Martella, Ettore Minutiello, Maria Michela Gianino
{"title":"14 个欧洲国家抗抑郁药和抗焦虑药的使用和支出模式(2012-2021 年):综合时间序列分析》。","authors":"Manuela Martella, Ettore Minutiello, Maria Michela Gianino","doi":"10.1177/11786329241282526","DOIUrl":null,"url":null,"abstract":"<p><strong>Background: </strong>The assessment of antidepressant and anxiolytic consumption and expenditures represents a reliable barometer of the burden of such mental health disorders and the effectiveness of relative healthcare services.</p><p><strong>Objectives: </strong>The current analysis aims to evaluate trajectories of consumption and expenditures of antidepressant and anxiolytic drugs to define patterns of usage and spending across 14 European countries between 2012 and 2021.</p><p><strong>Methods: </strong>A retrospective longitudinal study was performed based on pooled time series secondary data analysis over 2012/2021. Defined Daily Doses (DDD) per 1000 inhabitants and health expenditure per capita were analysed. Linear and quadratic trends were computed to determine relationships between the variables of interest.</p><p><strong>Results: </strong>Only 2 patterns of consumption/expenditure of antidepressants can be identified: consumption and expenditure both grow; consumption grows, and spending decreases. Consumption and expenditures registered 2 main patterns, decreasing in most European countries and increasing only in 2 cases.</p><p><strong>Conclusion: </strong>Prevailing patterns of consumption and spending show an increase in antidepressants and a decrease in anxiolytics. The variation in consumption of such drugs during this timeframe is attributable to several reasons, such as the epidemiological characteristics of mental disease, for instance, the prevalence and incidence of disorders, the accessibility of drugs and alternative treatments, like psychotherapy, different clinical practices and national guidelines. However, such analyses deserve attention for targeted policies and strategies for promoting mental health.</p>","PeriodicalId":12876,"journal":{"name":"Health Services Insights","volume":"17 ","pages":"11786329241282526"},"PeriodicalIF":2.5000,"publicationDate":"2024-10-08","publicationTypes":"Journal Article","fieldsOfStudy":null,"isOpenAccess":false,"openAccessPdf":"https://www.ncbi.nlm.nih.gov/pmc/articles/PMC11462615/pdf/","citationCount":"0","resultStr":"{\"title\":\"Patterns of Antidepressant and Anxiolytic Use and Spending in 14 European Countries (2012-2021): A Comprehensive Time Series Analysis.\",\"authors\":\"Manuela Martella, Ettore Minutiello, Maria Michela Gianino\",\"doi\":\"10.1177/11786329241282526\",\"DOIUrl\":null,\"url\":null,\"abstract\":\"<p><strong>Background: </strong>The assessment of antidepressant and anxiolytic consumption and expenditures represents a reliable barometer of the burden of such mental health disorders and the effectiveness of relative healthcare services.</p><p><strong>Objectives: </strong>The current analysis aims to evaluate trajectories of consumption and expenditures of antidepressant and anxiolytic drugs to define patterns of usage and spending across 14 European countries between 2012 and 2021.</p><p><strong>Methods: </strong>A retrospective longitudinal study was performed based on pooled time series secondary data analysis over 2012/2021. Defined Daily Doses (DDD) per 1000 inhabitants and health expenditure per capita were analysed. Linear and quadratic trends were computed to determine relationships between the variables of interest.</p><p><strong>Results: </strong>Only 2 patterns of consumption/expenditure of antidepressants can be identified: consumption and expenditure both grow; consumption grows, and spending decreases. Consumption and expenditures registered 2 main patterns, decreasing in most European countries and increasing only in 2 cases.</p><p><strong>Conclusion: </strong>Prevailing patterns of consumption and spending show an increase in antidepressants and a decrease in anxiolytics. The variation in consumption of such drugs during this timeframe is attributable to several reasons, such as the epidemiological characteristics of mental disease, for instance, the prevalence and incidence of disorders, the accessibility of drugs and alternative treatments, like psychotherapy, different clinical practices and national guidelines. However, such analyses deserve attention for targeted policies and strategies for promoting mental health.</p>\",\"PeriodicalId\":12876,\"journal\":{\"name\":\"Health Services Insights\",\"volume\":\"17 \",\"pages\":\"11786329241282526\"},\"PeriodicalIF\":2.5000,\"publicationDate\":\"2024-10-08\",\"publicationTypes\":\"Journal Article\",\"fieldsOfStudy\":null,\"isOpenAccess\":false,\"openAccessPdf\":\"https://www.ncbi.nlm.nih.gov/pmc/articles/PMC11462615/pdf/\",\"citationCount\":\"0\",\"resultStr\":null,\"platform\":\"Semanticscholar\",\"paperid\":null,\"PeriodicalName\":\"Health Services Insights\",\"FirstCategoryId\":\"1085\",\"ListUrlMain\":\"https://doi.org/10.1177/11786329241282526\",\"RegionNum\":0,\"RegionCategory\":null,\"ArticlePicture\":[],\"TitleCN\":null,\"AbstractTextCN\":null,\"PMCID\":null,\"EPubDate\":\"2024/1/1 0:00:00\",\"PubModel\":\"eCollection\",\"JCR\":\"Q2\",\"JCRName\":\"HEALTH CARE SCIENCES & SERVICES\",\"Score\":null,\"Total\":0}","platform":"Semanticscholar","paperid":null,"PeriodicalName":"Health Services Insights","FirstCategoryId":"1085","ListUrlMain":"https://doi.org/10.1177/11786329241282526","RegionNum":0,"RegionCategory":null,"ArticlePicture":[],"TitleCN":null,"AbstractTextCN":null,"PMCID":null,"EPubDate":"2024/1/1 0:00:00","PubModel":"eCollection","JCR":"Q2","JCRName":"HEALTH CARE SCIENCES & SERVICES","Score":null,"Total":0}
引用次数: 0

摘要

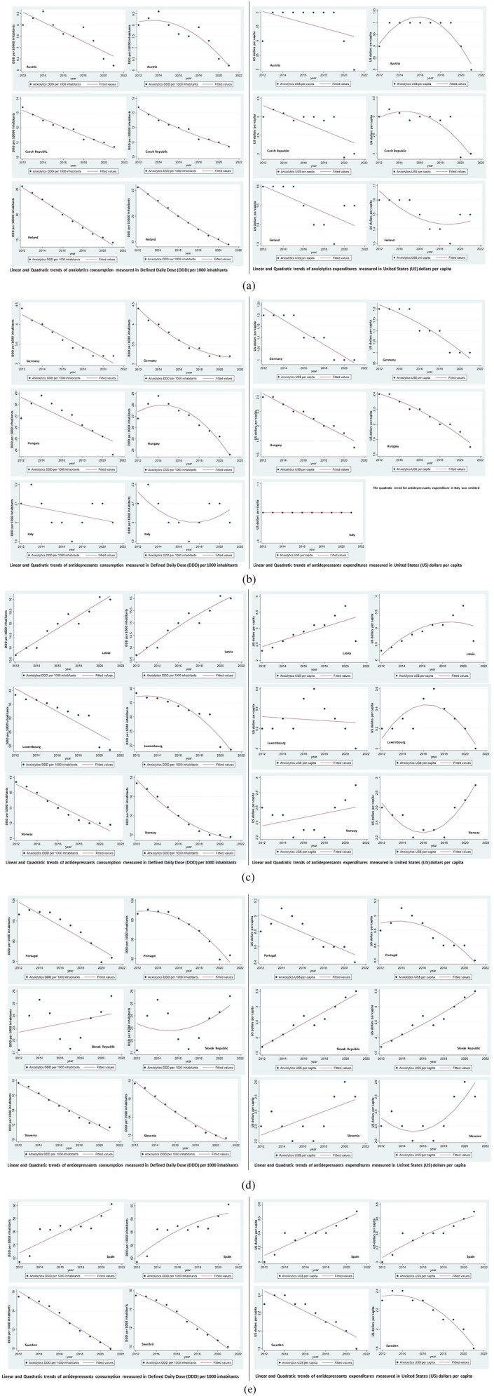
背景:抗抑郁药和抗焦虑药的消费和支出评估是此类精神疾病负担和相关医疗服务有效性的可靠晴雨表:目前的分析旨在评估抗抑郁和抗焦虑药物的消费和支出轨迹,以确定 2012 年至 2021 年期间 14 个欧洲国家的使用和支出模式:方法:在对 2012/2021 年的时间序列二级数据进行汇总分析的基础上,开展了一项回顾性纵向研究。对每 1000 名居民的定义日剂量(DDD)和人均医疗支出进行了分析。计算了线性和二次趋势,以确定相关变量之间的关系:结果:抗抑郁药物的消费/支出只有两种模式:消费和支出同时增长;消费增长,支出减少。消费和支出有 2 种主要模式,在大多数欧洲国家呈下降趋势,只有 2 个国家呈上升趋势:结论:消费和支出的主要模式显示,抗抑郁药的消费增加,抗焦虑药的消费减少。这一时期此类药物消费的变化可归因于多种原因,如精神疾病的流行病学特征,如精神疾病的流行率和发病率、药物和替代疗法(如心理疗法)的可及性、不同的临床实践和国家指导方针。不过,这些分析值得关注,以便制定有针对性的政策和战略,促进心理健康。
本文章由计算机程序翻译,如有差异,请以英文原文为准。

Patterns of Antidepressant and Anxiolytic Use and Spending in 14 European Countries (2012-2021): A Comprehensive Time Series Analysis.

Patterns of Antidepressant and Anxiolytic Use and Spending in 14 European Countries (2012-2021): A Comprehensive Time Series Analysis.

Patterns of Antidepressant and Anxiolytic Use and Spending in 14 European Countries (2012-2021): A Comprehensive Time Series Analysis.

Patterns of Antidepressant and Anxiolytic Use and Spending in 14 European Countries (2012-2021): A Comprehensive Time Series Analysis.

Background: The assessment of antidepressant and anxiolytic consumption and expenditures represents a reliable barometer of the burden of such mental health disorders and the effectiveness of relative healthcare services.

Objectives: The current analysis aims to evaluate trajectories of consumption and expenditures of antidepressant and anxiolytic drugs to define patterns of usage and spending across 14 European countries between 2012 and 2021.

Methods: A retrospective longitudinal study was performed based on pooled time series secondary data analysis over 2012/2021. Defined Daily Doses (DDD) per 1000 inhabitants and health expenditure per capita were analysed. Linear and quadratic trends were computed to determine relationships between the variables of interest.

Results: Only 2 patterns of consumption/expenditure of antidepressants can be identified: consumption and expenditure both grow; consumption grows, and spending decreases. Consumption and expenditures registered 2 main patterns, decreasing in most European countries and increasing only in 2 cases.

Conclusion: Prevailing patterns of consumption and spending show an increase in antidepressants and a decrease in anxiolytics. The variation in consumption of such drugs during this timeframe is attributable to several reasons, such as the epidemiological characteristics of mental disease, for instance, the prevalence and incidence of disorders, the accessibility of drugs and alternative treatments, like psychotherapy, different clinical practices and national guidelines. However, such analyses deserve attention for targeted policies and strategies for promoting mental health.

求助全文
通过发布文献求助,成功后即可免费获取论文全文。 去求助
来源期刊
Health Services Insights
Health Services Insights HEALTH CARE SCIENCES & SERVICES-
CiteScore
3.60
自引率
0.00%
发文量
47
审稿时长
8 weeks
×
引用
GB/T 7714-2015
复制
MLA
复制
APA
复制
导出至
BibTeX EndNote RefMan NoteFirst NoteExpress
×
提示
您的信息不完整,为了账户安全,请先补充。
现在去补充
×
提示
您因"违规操作"
具体请查看互助需知
我知道了
×
提示
确定
请完成安全验证×
copy
已复制链接
快去分享给好友吧!
我知道了
右上角分享
点击右上角分享
0
联系我们:info@booksci.cn Book学术提供免费学术资源搜索服务,方便国内外学者检索中英文文献。致力于提供最便捷和优质的服务体验。 Copyright © 2023 布克学术 All rights reserved.
京ICP备2023020795号-1
ghs 京公网安备 11010802042870号
Book学术文献互助
Book学术文献互助群
群 号:604180095
Book学术官方微信