口腔上皮发育不良和口腔鳞状细胞癌患者的临床病理指标与分化群 24 和分化群 44 生物标志物表达之间的相关性:随访研究。

Q2 Dentistry
Dental Research Journal Pub Date : 2024-08-21 eCollection Date: 2024-01-01
Narges Ghazi, Nasrollah Saghravanian, Kazem Anvari, Majid Mirhashemi, Mohammadhadi Erfanian
{"title":"口腔上皮发育不良和口腔鳞状细胞癌患者的临床病理指标与分化群 24 和分化群 44 生物标志物表达之间的相关性:随访研究。","authors":"Narges Ghazi, Nasrollah Saghravanian, Kazem Anvari, Majid Mirhashemi, Mohammadhadi Erfanian","doi":"","DOIUrl":null,"url":null,"abstract":"<p><strong>Background: </strong>Oral squamous cell carcinoma (OSCC) is the most common oral cavity cancer and may occur following oral epithelial dysplasia (OED). Cancer stem cells (CSCs) can self-renew and multi-directionally differentiate to promote tumorigenesis with high expression of cluster of differentiation (CD) 24 and CD44 markers. CSCs play a pivotal role in tumor development, drug resistance, and relapse after treatment. We aimed to evaluate the correlation between both marker expressions and clinicopathological indices in OED and OSCC patients.</p><p><strong>Materials and methods: </strong>In this follow-up study, we could access 37 patients, including 12 OEDs and 25 OSCCs (Grade I: <i>n</i> = 9, Grade II: <i>n</i> = 8, and Grade III: <i>n</i> = 8). Data were analyzed using SPSS software (version 26) and log-rank tests, Fisher's exact test, Chi-square, and one-way ANOVA. <i>P</i> < 0.05 was considered statistically significant.</p><p><strong>Results: </strong>There was no significant difference in the expression of CD24 and CD44 markers between the study groups (<i>P</i> > 0.05) and the expression of both markers and clinicopathological indices in the study groups (<i>P</i> > 0.05). The mean and standard deviation of overall survival (OS) were 54.46 ± 43.08 with a range of 6-193 months, and they were 8.24 ± 15.34 months with a range of 0-70 months for disease-free survival (DFS) in patients, respectively. The average of DFS in Grade I was significantly lower than the OED (<i>P</i> = 0.002) and Grade II (<i>P</i> = 0.039) groups. The OS average in the Grade I (<i>P</i> = 0.014) and Grade III (<i>P</i> = 0.004) groups was statistically lower than the OED group.</p><p><strong>Conclusion: </strong>Although more than half of the patients demonstrated high expression of both markers, there was no statistically significant difference between them and clinicopathological indices.</p>","PeriodicalId":11016,"journal":{"name":"Dental Research Journal","volume":"21 ","pages":"50"},"PeriodicalIF":0.0000,"publicationDate":"2024-08-21","publicationTypes":"Journal Article","fieldsOfStudy":null,"isOpenAccess":false,"openAccessPdf":"https://www.ncbi.nlm.nih.gov/pmc/articles/PMC11457982/pdf/","citationCount":"0","resultStr":"{\"title\":\"Correlation between clinicopathological indices and expression of cluster of differentiation 24 and cluster of differentiation 44 biomarkers in oral epithelial dysplasia and oral squamous cell carcinoma patients: A follow-up study.\",\"authors\":\"Narges Ghazi, Nasrollah Saghravanian, Kazem Anvari, Majid Mirhashemi, Mohammadhadi Erfanian\",\"doi\":\"\",\"DOIUrl\":null,\"url\":null,\"abstract\":\"<p><strong>Background: </strong>Oral squamous cell carcinoma (OSCC) is the most common oral cavity cancer and may occur following oral epithelial dysplasia (OED). Cancer stem cells (CSCs) can self-renew and multi-directionally differentiate to promote tumorigenesis with high expression of cluster of differentiation (CD) 24 and CD44 markers. CSCs play a pivotal role in tumor development, drug resistance, and relapse after treatment. We aimed to evaluate the correlation between both marker expressions and clinicopathological indices in OED and OSCC patients.</p><p><strong>Materials and methods: </strong>In this follow-up study, we could access 37 patients, including 12 OEDs and 25 OSCCs (Grade I: <i>n</i> = 9, Grade II: <i>n</i> = 8, and Grade III: <i>n</i> = 8). Data were analyzed using SPSS software (version 26) and log-rank tests, Fisher's exact test, Chi-square, and one-way ANOVA. <i>P</i> < 0.05 was considered statistically significant.</p><p><strong>Results: </strong>There was no significant difference in the expression of CD24 and CD44 markers between the study groups (<i>P</i> > 0.05) and the expression of both markers and clinicopathological indices in the study groups (<i>P</i> > 0.05). The mean and standard deviation of overall survival (OS) were 54.46 ± 43.08 with a range of 6-193 months, and they were 8.24 ± 15.34 months with a range of 0-70 months for disease-free survival (DFS) in patients, respectively. The average of DFS in Grade I was significantly lower than the OED (<i>P</i> = 0.002) and Grade II (<i>P</i> = 0.039) groups. The OS average in the Grade I (<i>P</i> = 0.014) and Grade III (<i>P</i> = 0.004) groups was statistically lower than the OED group.</p><p><strong>Conclusion: </strong>Although more than half of the patients demonstrated high expression of both markers, there was no statistically significant difference between them and clinicopathological indices.</p>\",\"PeriodicalId\":11016,\"journal\":{\"name\":\"Dental Research Journal\",\"volume\":\"21 \",\"pages\":\"50\"},\"PeriodicalIF\":0.0000,\"publicationDate\":\"2024-08-21\",\"publicationTypes\":\"Journal Article\",\"fieldsOfStudy\":null,\"isOpenAccess\":false,\"openAccessPdf\":\"https://www.ncbi.nlm.nih.gov/pmc/articles/PMC11457982/pdf/\",\"citationCount\":\"0\",\"resultStr\":null,\"platform\":\"Semanticscholar\",\"paperid\":null,\"PeriodicalName\":\"Dental Research Journal\",\"FirstCategoryId\":\"1085\",\"ListUrlMain\":\"\",\"RegionNum\":0,\"RegionCategory\":null,\"ArticlePicture\":[],\"TitleCN\":null,\"AbstractTextCN\":null,\"PMCID\":null,\"EPubDate\":\"2024/1/1 0:00:00\",\"PubModel\":\"eCollection\",\"JCR\":\"Q2\",\"JCRName\":\"Dentistry\",\"Score\":null,\"Total\":0}","platform":"Semanticscholar","paperid":null,"PeriodicalName":"Dental Research Journal","FirstCategoryId":"1085","ListUrlMain":"","RegionNum":0,"RegionCategory":null,"ArticlePicture":[],"TitleCN":null,"AbstractTextCN":null,"PMCID":null,"EPubDate":"2024/1/1 0:00:00","PubModel":"eCollection","JCR":"Q2","JCRName":"Dentistry","Score":null,"Total":0}
引用次数: 0

摘要

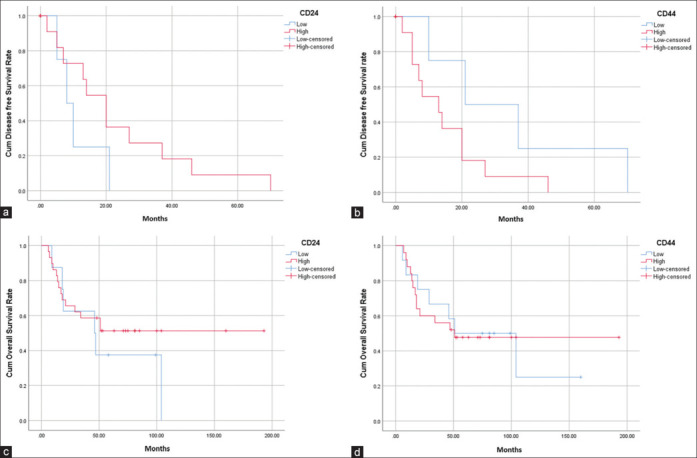
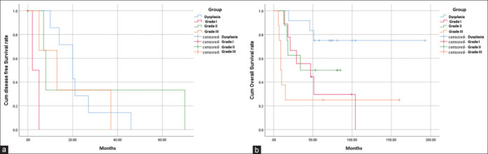
背景:口腔鳞状细胞癌(OSCC)是最常见的口腔癌,可能发生于口腔上皮发育不良(OED)之后。癌症干细胞(CSCs)可以自我更新和多向分化,促进肿瘤发生,并高表达分化簇(CD)24和CD44标记。CSCs在肿瘤发生、耐药和治疗后复发中起着关键作用。我们旨在评估OED和OSCC患者中这两种标志物表达与临床病理指标之间的相关性:在这项随访研究中,我们共访问了 37 例患者,包括 12 例 OED 和 25 例 OSCC(I 级:9 例;II 级:8 例;III 级:8 例)。数据采用 SPSS 软件(26 版)和对数秩检验、费雪精确检验、卡方检验和单因素方差分析进行分析。P<0.05为差异有统计学意义:研究组间CD24和CD44标记物的表达无明显差异(P>0.05),研究组间CD24和CD44标记物的表达与临床病理指标无明显差异(P>0.05)。总生存期(OS)的平均值和标准差分别为(54.46±43.08)个月,范围为 6-193 个月;无病生存期(DFS)的平均值和标准差分别为(8.24±15.34)个月,范围为 0-70 个月。I 级患者的平均无病生存期明显低于 OED 组(P = 0.002)和 II 级组(P = 0.039)。I 级组(P = 0.014)和 III 级组(P = 0.004)的平均 OS 在统计学上低于 OED 组:结论:虽然超过半数的患者表现出两种标记物的高表达,但它们与临床病理指标之间并无统计学差异。
本文章由计算机程序翻译,如有差异,请以英文原文为准。

Correlation between clinicopathological indices and expression of cluster of differentiation 24 and cluster of differentiation 44 biomarkers in oral epithelial dysplasia and oral squamous cell carcinoma patients: A follow-up study.

Correlation between clinicopathological indices and expression of cluster of differentiation 24 and cluster of differentiation 44 biomarkers in oral epithelial dysplasia and oral squamous cell carcinoma patients: A follow-up study.

Correlation between clinicopathological indices and expression of cluster of differentiation 24 and cluster of differentiation 44 biomarkers in oral epithelial dysplasia and oral squamous cell carcinoma patients: A follow-up study.

Background: Oral squamous cell carcinoma (OSCC) is the most common oral cavity cancer and may occur following oral epithelial dysplasia (OED). Cancer stem cells (CSCs) can self-renew and multi-directionally differentiate to promote tumorigenesis with high expression of cluster of differentiation (CD) 24 and CD44 markers. CSCs play a pivotal role in tumor development, drug resistance, and relapse after treatment. We aimed to evaluate the correlation between both marker expressions and clinicopathological indices in OED and OSCC patients.

Materials and methods: In this follow-up study, we could access 37 patients, including 12 OEDs and 25 OSCCs (Grade I: n = 9, Grade II: n = 8, and Grade III: n = 8). Data were analyzed using SPSS software (version 26) and log-rank tests, Fisher's exact test, Chi-square, and one-way ANOVA. P < 0.05 was considered statistically significant.

Results: There was no significant difference in the expression of CD24 and CD44 markers between the study groups (P > 0.05) and the expression of both markers and clinicopathological indices in the study groups (P > 0.05). The mean and standard deviation of overall survival (OS) were 54.46 ± 43.08 with a range of 6-193 months, and they were 8.24 ± 15.34 months with a range of 0-70 months for disease-free survival (DFS) in patients, respectively. The average of DFS in Grade I was significantly lower than the OED (P = 0.002) and Grade II (P = 0.039) groups. The OS average in the Grade I (P = 0.014) and Grade III (P = 0.004) groups was statistically lower than the OED group.

Conclusion: Although more than half of the patients demonstrated high expression of both markers, there was no statistically significant difference between them and clinicopathological indices.

求助全文
通过发布文献求助,成功后即可免费获取论文全文。 去求助
来源期刊
Dental Research Journal
Dental Research Journal Dentistry-Dentistry (all)
CiteScore
1.70
自引率
0.00%
发文量
70
审稿时长
52 weeks
期刊介绍: Dental Research Journal, a publication of Isfahan University of Medical Sciences, is a peer-reviewed online journal with Bimonthly print on demand compilation of issues published. The journal’s full text is available online at http://www.drjjournal.net. The journal allows free access (Open Access) to its contents and permits authors to self-archive final accepted version of the articles on any OAI-compliant institutional / subject-based repository. The journal will cover technical and clinical studies related to health, ethical and social issues in field of Dentistry. Articles with clinical interest and implications will be given preference.
×
引用
GB/T 7714-2015
复制
MLA
复制
APA
复制
导出至
BibTeX EndNote RefMan NoteFirst NoteExpress
×
提示
您的信息不完整,为了账户安全,请先补充。
现在去补充
×
提示
您因"违规操作"
具体请查看互助需知
我知道了
×
提示
确定
请完成安全验证×
copy
已复制链接
快去分享给好友吧!
我知道了
右上角分享
点击右上角分享
0
联系我们:info@booksci.cn Book学术提供免费学术资源搜索服务,方便国内外学者检索中英文文献。致力于提供最便捷和优质的服务体验。 Copyright © 2023 布克学术 All rights reserved.
京ICP备2023020795号-1
ghs 京公网安备 11010802042870号
Book学术文献互助
Book学术文献互助群
群 号:604180095
Book学术官方微信