尿失禁问题国际咨询会问卷简表》(International Consultation on Incontinence Questionnaire Short Form as a substitute for 1-Hour Pad Weight Testing)用于评估接受手术的盆腔器官脱垂患者的尿失禁情况。

IF 2.1 3区 医学 Q3 UROLOGY & NEPHROLOGY
International Neurourology Journal Pub Date : 2024-09-01 Epub Date: 2024-09-30 DOI:10.5213/inj.2448234.117
Kenji Kuroda, Koetsu Hamamoto, Kazuki Kawamura, Ayako Masunaga, Hiroaki Kobayashi, Akio Horiguchi, Keiichi Ito
{"title":"尿失禁问题国际咨询会问卷简表》(International Consultation on Incontinence Questionnaire Short Form as a substitute for 1-Hour Pad Weight Testing)用于评估接受手术的盆腔器官脱垂患者的尿失禁情况。","authors":"Kenji Kuroda, Koetsu Hamamoto, Kazuki Kawamura, Ayako Masunaga, Hiroaki Kobayashi, Akio Horiguchi, Keiichi Ito","doi":"10.5213/inj.2448234.117","DOIUrl":null,"url":null,"abstract":"<p><strong>Purpose: </strong>Stress urinary incontinence is a postoperative complication occurring in patients with pelvic organ prolapse (POP). Although the 1-hour pad test measures the degree of urinary incontinence qualitatively and quantitatively, some elderly women undergoing POP surgery do not have the daily activities of living to perform the pad test. Therefore, we examined whether the International Consultation on Incontinence Questionnaire Short Form (ICIQ-SF) could be used as an alternative tool for pad tests.</p><p><strong>Methods: </strong>We retrospectively evaluated 132 patients with POP. In our hospital, 57 patients were treated by laparoscopic sacrocolpopexy (LSC), whereas 75 were treated by transvaginal mesh surgery (TVM). We measured the changes in symptoms preand postoperatively using the ICIQ-SF and 1-hour pad weight testing, and investigated the correlation between the total plus component question scores of the ICIQ-SF and 1-hour pad weight.</p><p><strong>Results: </strong>The preoperative ICIQ total scores in all patients decreased significantly as the amount of leakage on the 1-hour pad weight decreased. The component question scores also decreased significantly with decreasing levels of 1-hour pad weight. The LSC and TVM groups had decreased ICIQ-SF total and component question scores as pad weight decreased. At 12 months postoperatively, the ICIQ total scores in all patients significantly declined as the amount of leakage on the 1-hour pad weight decreased. In the LSC group, the ICIQ-SF total and component question scores also decreased with decreased pad weight, but the differences were not always significant between ICIQ scores and pad weight. In the TVM group, the ICIQ-SF total and component question scores also significantly decreased as the pad weight decreased.</p><p><strong>Conclusion: </strong>The ICIQ-SF could be an appropriate substitute for the 1-hour pad weight testing in predicting the severity of urinary incontinence. In the future, we hope to predict the level of urine leakage based on the ICIQ-SF score.</p>","PeriodicalId":14466,"journal":{"name":"International Neurourology Journal","volume":"28 3","pages":"215-224"},"PeriodicalIF":2.1000,"publicationDate":"2024-09-01","publicationTypes":"Journal Article","fieldsOfStudy":null,"isOpenAccess":false,"openAccessPdf":"https://www.ncbi.nlm.nih.gov/pmc/articles/PMC11450242/pdf/","citationCount":"0","resultStr":"{\"title\":\"The International Consultation on Incontinence Questionnaire Short Form as a Substitute for 1-Hour Pad Weight Testing in the Evaluation of Urinary Incontinence in Patients With Pelvic Organ Prolapse Undergoing Surgery.\",\"authors\":\"Kenji Kuroda, Koetsu Hamamoto, Kazuki Kawamura, Ayako Masunaga, Hiroaki Kobayashi, Akio Horiguchi, Keiichi Ito\",\"doi\":\"10.5213/inj.2448234.117\",\"DOIUrl\":null,\"url\":null,\"abstract\":\"<p><strong>Purpose: </strong>Stress urinary incontinence is a postoperative complication occurring in patients with pelvic organ prolapse (POP). Although the 1-hour pad test measures the degree of urinary incontinence qualitatively and quantitatively, some elderly women undergoing POP surgery do not have the daily activities of living to perform the pad test. Therefore, we examined whether the International Consultation on Incontinence Questionnaire Short Form (ICIQ-SF) could be used as an alternative tool for pad tests.</p><p><strong>Methods: </strong>We retrospectively evaluated 132 patients with POP. In our hospital, 57 patients were treated by laparoscopic sacrocolpopexy (LSC), whereas 75 were treated by transvaginal mesh surgery (TVM). We measured the changes in symptoms preand postoperatively using the ICIQ-SF and 1-hour pad weight testing, and investigated the correlation between the total plus component question scores of the ICIQ-SF and 1-hour pad weight.</p><p><strong>Results: </strong>The preoperative ICIQ total scores in all patients decreased significantly as the amount of leakage on the 1-hour pad weight decreased. The component question scores also decreased significantly with decreasing levels of 1-hour pad weight. The LSC and TVM groups had decreased ICIQ-SF total and component question scores as pad weight decreased. At 12 months postoperatively, the ICIQ total scores in all patients significantly declined as the amount of leakage on the 1-hour pad weight decreased. In the LSC group, the ICIQ-SF total and component question scores also decreased with decreased pad weight, but the differences were not always significant between ICIQ scores and pad weight. In the TVM group, the ICIQ-SF total and component question scores also significantly decreased as the pad weight decreased.</p><p><strong>Conclusion: </strong>The ICIQ-SF could be an appropriate substitute for the 1-hour pad weight testing in predicting the severity of urinary incontinence. In the future, we hope to predict the level of urine leakage based on the ICIQ-SF score.</p>\",\"PeriodicalId\":14466,\"journal\":{\"name\":\"International Neurourology Journal\",\"volume\":\"28 3\",\"pages\":\"215-224\"},\"PeriodicalIF\":2.1000,\"publicationDate\":\"2024-09-01\",\"publicationTypes\":\"Journal Article\",\"fieldsOfStudy\":null,\"isOpenAccess\":false,\"openAccessPdf\":\"https://www.ncbi.nlm.nih.gov/pmc/articles/PMC11450242/pdf/\",\"citationCount\":\"0\",\"resultStr\":null,\"platform\":\"Semanticscholar\",\"paperid\":null,\"PeriodicalName\":\"International Neurourology Journal\",\"FirstCategoryId\":\"3\",\"ListUrlMain\":\"https://doi.org/10.5213/inj.2448234.117\",\"RegionNum\":3,\"RegionCategory\":\"医学\",\"ArticlePicture\":[],\"TitleCN\":null,\"AbstractTextCN\":null,\"PMCID\":null,\"EPubDate\":\"2024/9/30 0:00:00\",\"PubModel\":\"Epub\",\"JCR\":\"Q3\",\"JCRName\":\"UROLOGY & NEPHROLOGY\",\"Score\":null,\"Total\":0}","platform":"Semanticscholar","paperid":null,"PeriodicalName":"International Neurourology Journal","FirstCategoryId":"3","ListUrlMain":"https://doi.org/10.5213/inj.2448234.117","RegionNum":3,"RegionCategory":"医学","ArticlePicture":[],"TitleCN":null,"AbstractTextCN":null,"PMCID":null,"EPubDate":"2024/9/30 0:00:00","PubModel":"Epub","JCR":"Q3","JCRName":"UROLOGY & NEPHROLOGY","Score":null,"Total":0}
引用次数: 0

摘要

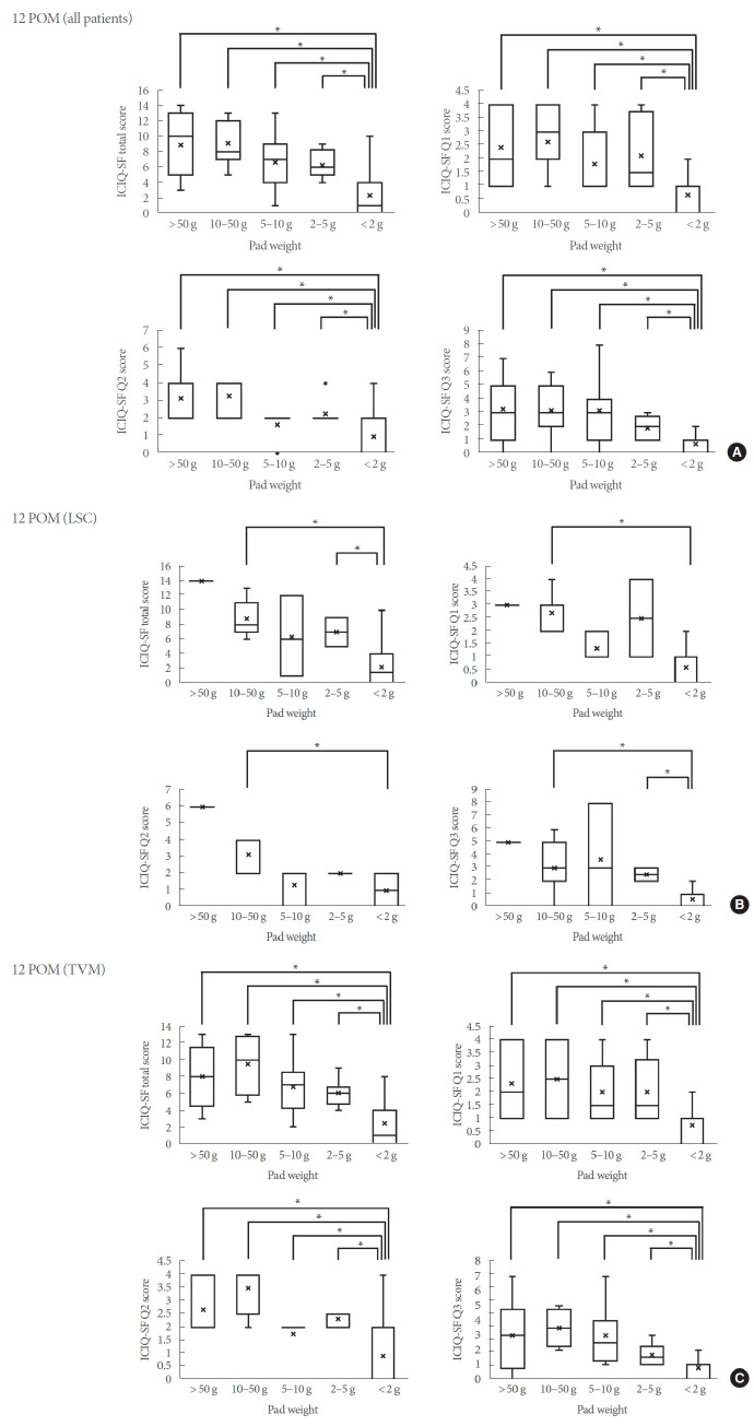
目的:压力性尿失禁是盆腔器官脱垂(POP)患者术后出现的一种并发症。虽然 1 小时尿垫测试可定性和定量地测量尿失禁的程度,但一些接受 POP 手术的老年妇女不具备进行尿垫测试的日常生活能力。因此,我们研究了国际尿失禁咨询问卷简表(ICIQ-SF)是否可作为尿垫测试的替代工具:我们对 132 名 POP 患者进行了回顾性评估。在我院,57名患者接受了腹腔镜骶尾部结扎术(LSC)治疗,75名患者接受了经阴道网片手术(TVM)治疗。我们使用ICIQ-SF和1小时垫子重量测试测量了患者术前和术后的症状变化,并研究了ICIQ-SF的总分和部分问题得分与1小时垫子重量之间的相关性:结果:所有患者的术前 ICIQ 总分都随着 1 小时尿垫重量漏尿量的减少而显著下降。随着 1 小时衬垫重量的减少,各部分问题的得分也明显下降。随着尿垫重量的减少,LSC 组和 TVM 组的 ICIQ-SF 总分和构成问题得分均有所下降。术后 12 个月时,所有患者的 ICIQ 总分都随着 1 小时衬垫重量渗漏量的减少而显著下降。在 LSC 组,ICIQ-SF 总分和部分问题得分也随着衬垫重量的减少而降低,但 ICIQ 分数和衬垫重量之间的差异并不总是显著的。在 TVM 组中,ICIQ-SF 的总分和部分问题得分也随着衬垫重量的减少而显著降低:结论:在预测尿失禁严重程度时,ICIQ-SF 可以适当替代 1 小时尿垫重量测试。未来,我们希望根据 ICIQ-SF 的得分来预测漏尿程度。
本文章由计算机程序翻译,如有差异,请以英文原文为准。

The International Consultation on Incontinence Questionnaire Short Form as a Substitute for 1-Hour Pad Weight Testing in the Evaluation of Urinary Incontinence in Patients With Pelvic Organ Prolapse Undergoing Surgery.

The International Consultation on Incontinence Questionnaire Short Form as a Substitute for 1-Hour Pad Weight Testing in the Evaluation of Urinary Incontinence in Patients With Pelvic Organ Prolapse Undergoing Surgery.

The International Consultation on Incontinence Questionnaire Short Form as a Substitute for 1-Hour Pad Weight Testing in the Evaluation of Urinary Incontinence in Patients With Pelvic Organ Prolapse Undergoing Surgery.

Purpose: Stress urinary incontinence is a postoperative complication occurring in patients with pelvic organ prolapse (POP). Although the 1-hour pad test measures the degree of urinary incontinence qualitatively and quantitatively, some elderly women undergoing POP surgery do not have the daily activities of living to perform the pad test. Therefore, we examined whether the International Consultation on Incontinence Questionnaire Short Form (ICIQ-SF) could be used as an alternative tool for pad tests.

Methods: We retrospectively evaluated 132 patients with POP. In our hospital, 57 patients were treated by laparoscopic sacrocolpopexy (LSC), whereas 75 were treated by transvaginal mesh surgery (TVM). We measured the changes in symptoms preand postoperatively using the ICIQ-SF and 1-hour pad weight testing, and investigated the correlation between the total plus component question scores of the ICIQ-SF and 1-hour pad weight.

Results: The preoperative ICIQ total scores in all patients decreased significantly as the amount of leakage on the 1-hour pad weight decreased. The component question scores also decreased significantly with decreasing levels of 1-hour pad weight. The LSC and TVM groups had decreased ICIQ-SF total and component question scores as pad weight decreased. At 12 months postoperatively, the ICIQ total scores in all patients significantly declined as the amount of leakage on the 1-hour pad weight decreased. In the LSC group, the ICIQ-SF total and component question scores also decreased with decreased pad weight, but the differences were not always significant between ICIQ scores and pad weight. In the TVM group, the ICIQ-SF total and component question scores also significantly decreased as the pad weight decreased.

Conclusion: The ICIQ-SF could be an appropriate substitute for the 1-hour pad weight testing in predicting the severity of urinary incontinence. In the future, we hope to predict the level of urine leakage based on the ICIQ-SF score.

求助全文
通过发布文献求助,成功后即可免费获取论文全文。 去求助
来源期刊
International Neurourology Journal
International Neurourology Journal UROLOGY & NEPHROLOGY-
CiteScore
4.40
自引率
21.70%
发文量
41
审稿时长
4 weeks
期刊介绍: The International Neurourology Journal (Int Neurourol J, INJ) is a quarterly international journal that publishes high-quality research papers that provide the most significant and promising achievements in the fields of clinical neurourology and fundamental science. Specifically, fundamental science includes the most influential research papers from all fields of science and technology, revolutionizing what physicians and researchers practicing the art of neurourology worldwide know. Thus, we welcome valuable basic research articles to introduce cutting-edge translational research of fundamental sciences to clinical neurourology. In the editorials, urologists will present their perspectives on these articles. The original mission statement of the INJ was published on October 12, 1997. INJ provides authors a fast review of their work and makes a decision in an average of three to four weeks of receiving submissions. If accepted, articles are posted online in fully citable form. Supplementary issues will be published interim to quarterlies, as necessary, to fully allow berth to accept and publish relevant articles.
×
引用
GB/T 7714-2015
复制
MLA
复制
APA
复制
导出至
BibTeX EndNote RefMan NoteFirst NoteExpress
×
提示
您的信息不完整,为了账户安全,请先补充。
现在去补充
×
提示
您因"违规操作"
具体请查看互助需知
我知道了
×
提示
确定
请完成安全验证×
copy
已复制链接
快去分享给好友吧!
我知道了
右上角分享
点击右上角分享
0
联系我们:info@booksci.cn Book学术提供免费学术资源搜索服务,方便国内外学者检索中英文文献。致力于提供最便捷和优质的服务体验。 Copyright © 2023 布克学术 All rights reserved.
京ICP备2023020795号-1
ghs 京公网安备 11010802042870号
Book学术文献互助
Book学术文献互助群
群 号:604180095
Book学术官方微信