情绪处理及其与社会功能和精神障碍症状的关系:系统回顾与元分析》。

IF 4.8 1区 医学 Q1 PSYCHIATRY
Sean Murrihy, Kate Filia, Sue Cotton, Lisa Phillips, Sarah Youn, Anuradhi Jayasinghe, Anna Wrobel, Eslam M Bastawy, Kelly Allott, Amity Watson
{"title":"情绪处理及其与社会功能和精神障碍症状的关系:系统回顾与元分析》。","authors":"Sean Murrihy, Kate Filia, Sue Cotton, Lisa Phillips, Sarah Youn, Anuradhi Jayasinghe, Anna Wrobel, Eslam M Bastawy, Kelly Allott, Amity Watson","doi":"10.1093/schbul/sbae167","DOIUrl":null,"url":null,"abstract":"<p><strong>Background: </strong>Emotion processing (EP) is impaired in individuals with psychosis and associated with social functioning; however, it is unclear how symptoms fit into this relationship. The aim of this systematic review and meta-analysis was to examine interrelationships between EP, symptoms, and social functioning, test whether different symptom domains mediate the relationship between EP and social functioning, and examine the moderating effects of illness stage and EP task type.</p><p><strong>Study design: </strong>MEDLINE, Embase, and PsycINFO databases were searched for studies that included individuals with psychosis and reported correlations between EP, symptom domains (positive, negative, depressive, and disorganization), and social functioning. Random effects meta-analyses determined the strength of correlations, and subgroup analyses included illness stage and EP task type (lower- vs higher-level processing). Meta-analytic structural equation models tested whether symptom domains mediated the relationship between EP and social functioning.</p><p><strong>Results: </strong>There was a small relationship (r = .18) between EP and social functioning. Positive, negative, and disorganization symptoms mediated this relationship, although indirect effects were small. Higher-level EP tasks were more strongly associated with negative symptoms than lower-level tasks. Relationships between EP and both social functioning and positive symptoms were smaller in the first episode of psychosis than in established illness.</p><p><strong>Conclusions: </strong>The mediating relationship suggests that EP not only influences social dysfunction directly but contributes to negative and disorganization symptoms, which in turn impair social functioning. This pathway suggests that targeting negative and disorganization symptoms may ultimately improve social outcomes for individuals with psychosis. Future research, particularly in early psychosis, is needed to determine other factors impacting these interrelationships.</p>","PeriodicalId":21530,"journal":{"name":"Schizophrenia Bulletin","volume":" ","pages":"1054-1071"},"PeriodicalIF":4.8000,"publicationDate":"2025-07-07","publicationTypes":"Journal Article","fieldsOfStudy":null,"isOpenAccess":false,"openAccessPdf":"https://www.ncbi.nlm.nih.gov/pmc/articles/PMC12236351/pdf/","citationCount":"0","resultStr":"{\"title\":\"Emotion Processing and Its Relationship to Social Functioning and Symptoms in Psychotic Disorder: A Systematic Review and Meta-analysis.\",\"authors\":\"Sean Murrihy, Kate Filia, Sue Cotton, Lisa Phillips, Sarah Youn, Anuradhi Jayasinghe, Anna Wrobel, Eslam M Bastawy, Kelly Allott, Amity Watson\",\"doi\":\"10.1093/schbul/sbae167\",\"DOIUrl\":null,\"url\":null,\"abstract\":\"<p><strong>Background: </strong>Emotion processing (EP) is impaired in individuals with psychosis and associated with social functioning; however, it is unclear how symptoms fit into this relationship. The aim of this systematic review and meta-analysis was to examine interrelationships between EP, symptoms, and social functioning, test whether different symptom domains mediate the relationship between EP and social functioning, and examine the moderating effects of illness stage and EP task type.</p><p><strong>Study design: </strong>MEDLINE, Embase, and PsycINFO databases were searched for studies that included individuals with psychosis and reported correlations between EP, symptom domains (positive, negative, depressive, and disorganization), and social functioning. Random effects meta-analyses determined the strength of correlations, and subgroup analyses included illness stage and EP task type (lower- vs higher-level processing). Meta-analytic structural equation models tested whether symptom domains mediated the relationship between EP and social functioning.</p><p><strong>Results: </strong>There was a small relationship (r = .18) between EP and social functioning. Positive, negative, and disorganization symptoms mediated this relationship, although indirect effects were small. Higher-level EP tasks were more strongly associated with negative symptoms than lower-level tasks. Relationships between EP and both social functioning and positive symptoms were smaller in the first episode of psychosis than in established illness.</p><p><strong>Conclusions: </strong>The mediating relationship suggests that EP not only influences social dysfunction directly but contributes to negative and disorganization symptoms, which in turn impair social functioning. This pathway suggests that targeting negative and disorganization symptoms may ultimately improve social outcomes for individuals with psychosis. Future research, particularly in early psychosis, is needed to determine other factors impacting these interrelationships.</p>\",\"PeriodicalId\":21530,\"journal\":{\"name\":\"Schizophrenia Bulletin\",\"volume\":\" \",\"pages\":\"1054-1071\"},\"PeriodicalIF\":4.8000,\"publicationDate\":\"2025-07-07\",\"publicationTypes\":\"Journal Article\",\"fieldsOfStudy\":null,\"isOpenAccess\":false,\"openAccessPdf\":\"https://www.ncbi.nlm.nih.gov/pmc/articles/PMC12236351/pdf/\",\"citationCount\":\"0\",\"resultStr\":null,\"platform\":\"Semanticscholar\",\"paperid\":null,\"PeriodicalName\":\"Schizophrenia Bulletin\",\"FirstCategoryId\":\"3\",\"ListUrlMain\":\"https://doi.org/10.1093/schbul/sbae167\",\"RegionNum\":1,\"RegionCategory\":\"医学\",\"ArticlePicture\":[],\"TitleCN\":null,\"AbstractTextCN\":null,\"PMCID\":null,\"EPubDate\":\"\",\"PubModel\":\"\",\"JCR\":\"Q1\",\"JCRName\":\"PSYCHIATRY\",\"Score\":null,\"Total\":0}","platform":"Semanticscholar","paperid":null,"PeriodicalName":"Schizophrenia Bulletin","FirstCategoryId":"3","ListUrlMain":"https://doi.org/10.1093/schbul/sbae167","RegionNum":1,"RegionCategory":"医学","ArticlePicture":[],"TitleCN":null,"AbstractTextCN":null,"PMCID":null,"EPubDate":"","PubModel":"","JCR":"Q1","JCRName":"PSYCHIATRY","Score":null,"Total":0}
引用次数: 0

摘要

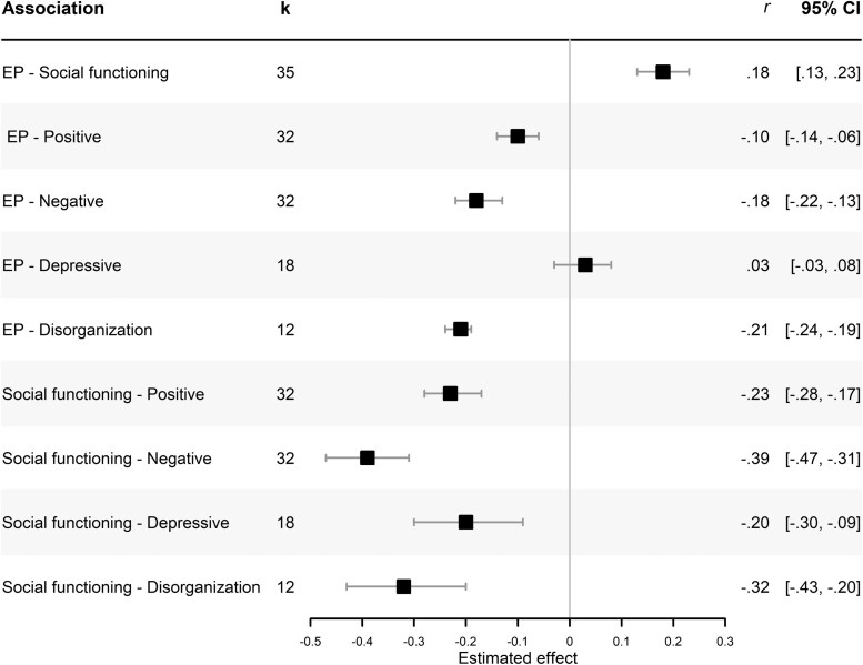
背景:情感处理(EP)在精神病患者中受损,并与社会功能相关;然而,目前还不清楚症状是如何与这种关系相联系的。本系统综述和荟萃分析旨在研究情绪处理、症状和社会功能之间的相互关系,检验不同症状领域是否对情绪处理和社会功能之间的关系起中介作用,并研究疾病阶段和情绪处理任务类型的调节作用:研究设计:我们在MEDLINE、Embase和PsycINFO数据库中检索了包括精神病患者在内的研究,这些研究报告了EP、症状领域(积极、消极、抑郁和混乱)和社会功能之间的相关性。随机效应元分析确定了相关性的强度,亚组分析包括疾病阶段和 EP 任务类型(低级处理与高级处理)。元分析结构方程模型检验了症状域是否介导了 EP 与社会功能之间的关系:EP与社会功能之间的关系较小(r = .18)。虽然间接影响很小,但积极、消极和混乱症状对这种关系起到了中介作用。与低级任务相比,高级 EP 任务与消极症状的关系更为密切。EP与社会功能和积极症状之间的关系在精神病首次发作时比在病情稳定时要小:这种中介关系表明,EP 不仅直接影响社会功能障碍,而且会导致消极和混乱症状,进而损害社会功能。这一途径表明,针对消极和混乱症状的治疗最终可能会改善精神病患者的社会功能。未来的研究,尤其是针对早期精神病的研究,需要确定影响这些相互关系的其他因素。
本文章由计算机程序翻译,如有差异,请以英文原文为准。

Emotion Processing and Its Relationship to Social Functioning and Symptoms in Psychotic Disorder: A Systematic Review and Meta-analysis.

Emotion Processing and Its Relationship to Social Functioning and Symptoms in Psychotic Disorder: A Systematic Review and Meta-analysis.

Emotion Processing and Its Relationship to Social Functioning and Symptoms in Psychotic Disorder: A Systematic Review and Meta-analysis.

Emotion Processing and Its Relationship to Social Functioning and Symptoms in Psychotic Disorder: A Systematic Review and Meta-analysis.

Background: Emotion processing (EP) is impaired in individuals with psychosis and associated with social functioning; however, it is unclear how symptoms fit into this relationship. The aim of this systematic review and meta-analysis was to examine interrelationships between EP, symptoms, and social functioning, test whether different symptom domains mediate the relationship between EP and social functioning, and examine the moderating effects of illness stage and EP task type.

Study design: MEDLINE, Embase, and PsycINFO databases were searched for studies that included individuals with psychosis and reported correlations between EP, symptom domains (positive, negative, depressive, and disorganization), and social functioning. Random effects meta-analyses determined the strength of correlations, and subgroup analyses included illness stage and EP task type (lower- vs higher-level processing). Meta-analytic structural equation models tested whether symptom domains mediated the relationship between EP and social functioning.

Results: There was a small relationship (r = .18) between EP and social functioning. Positive, negative, and disorganization symptoms mediated this relationship, although indirect effects were small. Higher-level EP tasks were more strongly associated with negative symptoms than lower-level tasks. Relationships between EP and both social functioning and positive symptoms were smaller in the first episode of psychosis than in established illness.

Conclusions: The mediating relationship suggests that EP not only influences social dysfunction directly but contributes to negative and disorganization symptoms, which in turn impair social functioning. This pathway suggests that targeting negative and disorganization symptoms may ultimately improve social outcomes for individuals with psychosis. Future research, particularly in early psychosis, is needed to determine other factors impacting these interrelationships.

求助全文
通过发布文献求助,成功后即可免费获取论文全文。 去求助
来源期刊
Schizophrenia Bulletin
Schizophrenia Bulletin 医学-精神病学
CiteScore
11.40
自引率
6.10%
发文量
163
审稿时长
4-8 weeks
期刊介绍: Schizophrenia Bulletin seeks to review recent developments and empirically based hypotheses regarding the etiology and treatment of schizophrenia. We view the field as broad and deep, and will publish new knowledge ranging from the molecular basis to social and cultural factors. We will give new emphasis to translational reports which simultaneously highlight basic neurobiological mechanisms and clinical manifestations. Some of the Bulletin content is invited as special features or manuscripts organized as a theme by special guest editors. Most pages of the Bulletin are devoted to unsolicited manuscripts of high quality that report original data or where we can provide a special venue for a major study or workshop report. Supplement issues are sometimes provided for manuscripts reporting from a recent conference.
×
引用
GB/T 7714-2015
复制
MLA
复制
APA
复制
导出至
BibTeX EndNote RefMan NoteFirst NoteExpress
×
提示
您的信息不完整,为了账户安全,请先补充。
现在去补充
×
提示
您因"违规操作"
具体请查看互助需知
我知道了
×
提示
确定
请完成安全验证×
copy
已复制链接
快去分享给好友吧!
我知道了
右上角分享
点击右上角分享
0
联系我们:info@booksci.cn Book学术提供免费学术资源搜索服务,方便国内外学者检索中英文文献。致力于提供最便捷和优质的服务体验。 Copyright © 2023 布克学术 All rights reserved.
京ICP备2023020795号-1
ghs 京公网安备 11010802042870号
Book学术文献互助
Book学术文献互助群
群 号:604180095
Book学术官方微信