血清 TNFα 和 IL-17A 水平可预测抑郁症状的加重:日本 Shika 研究队列项目的发现。

IF 2.4 4区 医学 Q2 PSYCHIATRY
Hirohito Tsuboi, Hiroyuki Sakakibara, Yuuki Minamida-Urata, Hiromasa Tsujiguchi, Akinori Hara, Keita Suzuki, Sakae Miyagi, Masaharu Nakamura, Chie Takazawa, Takayuki Kannon, Jiaye Zhao, Yukari Shimizu, Aki Shibata, Aya Ogawa, Fumihiko Suzuki, Yasuhiro Kambayashi, Tadashi Konoshita, Atsushi Tajima, Hiroyuki Nakamura
{"title":"血清 TNFα 和 IL-17A 水平可预测抑郁症状的加重:日本 Shika 研究队列项目的发现。","authors":"Hirohito Tsuboi, Hiroyuki Sakakibara, Yuuki Minamida-Urata, Hiromasa Tsujiguchi, Akinori Hara, Keita Suzuki, Sakae Miyagi, Masaharu Nakamura, Chie Takazawa, Takayuki Kannon, Jiaye Zhao, Yukari Shimizu, Aki Shibata, Aya Ogawa, Fumihiko Suzuki, Yasuhiro Kambayashi, Tadashi Konoshita, Atsushi Tajima, Hiroyuki Nakamura","doi":"10.1186/s13030-024-00317-5","DOIUrl":null,"url":null,"abstract":"<p><strong>Background: </strong>Low-grade systemic inflammation may be a key player in the immune activation that has been reported for mental health deterioration. We hypothesised that elevated serum levels of inflammatory cytokines increase neuroinflammation and exacerbate depressive symptoms.</p><p><strong>Methods: </strong>The participants were part of a cohort study for whom data was available for both 2015 and 2019. In 2015, blood samples were collected from 232 participants. Their depressive symptoms were assessed both 2015 and 2019 using the Centre for Epidemiologic Studies Depression Scale (CES-D) (n = 33). The multiplex immunoassay system (Luminex® 200) was used to measure the serum concentrations of IL-6, IL-10, IL-12, IL-17A and TNFα. Data were analysed using linear models with the level of significance considered to be p < 0.05.</p><p><strong>Results: </strong>After controlling for age, BMI, smoking and alcohol consumption, in 2015 the serum concentrations of IL-17A and TNFα in 2015 were significantly positively associated with the CES-D scores of women (standardised β (B) = .027, p < 0.01 and B = 0.26, p < 0.01, respectively). The serum concentrations of IL-17A and TNFα of men were significantly positively associated with the CES-D scores of 2019 (B = 0.62, p = 0.02 and B = 0.59, p = 0.02, respectively).</p><p><strong>Conclusions: </strong>In this cross-sectional study, we found a significant positive correlation between the depressive symptoms and serum TNFα and IL-17A levels of women. In addition, our longitudinal findings suggest the possibility that TNFα and IL-17A could elevate the depressive symptoms of men.</p>","PeriodicalId":9027,"journal":{"name":"BioPsychoSocial Medicine","volume":"18 1","pages":"20"},"PeriodicalIF":2.4000,"publicationDate":"2024-10-02","publicationTypes":"Journal Article","fieldsOfStudy":null,"isOpenAccess":false,"openAccessPdf":"https://www.ncbi.nlm.nih.gov/pmc/articles/PMC11446020/pdf/","citationCount":"0","resultStr":"{\"title\":\"Serum TNFα and IL-17A levels may predict increased depressive symptoms: findings from the Shika Study cohort project in Japan.\",\"authors\":\"Hirohito Tsuboi, Hiroyuki Sakakibara, Yuuki Minamida-Urata, Hiromasa Tsujiguchi, Akinori Hara, Keita Suzuki, Sakae Miyagi, Masaharu Nakamura, Chie Takazawa, Takayuki Kannon, Jiaye Zhao, Yukari Shimizu, Aki Shibata, Aya Ogawa, Fumihiko Suzuki, Yasuhiro Kambayashi, Tadashi Konoshita, Atsushi Tajima, Hiroyuki Nakamura\",\"doi\":\"10.1186/s13030-024-00317-5\",\"DOIUrl\":null,\"url\":null,\"abstract\":\"<p><strong>Background: </strong>Low-grade systemic inflammation may be a key player in the immune activation that has been reported for mental health deterioration. We hypothesised that elevated serum levels of inflammatory cytokines increase neuroinflammation and exacerbate depressive symptoms.</p><p><strong>Methods: </strong>The participants were part of a cohort study for whom data was available for both 2015 and 2019. In 2015, blood samples were collected from 232 participants. Their depressive symptoms were assessed both 2015 and 2019 using the Centre for Epidemiologic Studies Depression Scale (CES-D) (n = 33). The multiplex immunoassay system (Luminex® 200) was used to measure the serum concentrations of IL-6, IL-10, IL-12, IL-17A and TNFα. Data were analysed using linear models with the level of significance considered to be p < 0.05.</p><p><strong>Results: </strong>After controlling for age, BMI, smoking and alcohol consumption, in 2015 the serum concentrations of IL-17A and TNFα in 2015 were significantly positively associated with the CES-D scores of women (standardised β (B) = .027, p < 0.01 and B = 0.26, p < 0.01, respectively). The serum concentrations of IL-17A and TNFα of men were significantly positively associated with the CES-D scores of 2019 (B = 0.62, p = 0.02 and B = 0.59, p = 0.02, respectively).</p><p><strong>Conclusions: </strong>In this cross-sectional study, we found a significant positive correlation between the depressive symptoms and serum TNFα and IL-17A levels of women. In addition, our longitudinal findings suggest the possibility that TNFα and IL-17A could elevate the depressive symptoms of men.</p>\",\"PeriodicalId\":9027,\"journal\":{\"name\":\"BioPsychoSocial Medicine\",\"volume\":\"18 1\",\"pages\":\"20\"},\"PeriodicalIF\":2.4000,\"publicationDate\":\"2024-10-02\",\"publicationTypes\":\"Journal Article\",\"fieldsOfStudy\":null,\"isOpenAccess\":false,\"openAccessPdf\":\"https://www.ncbi.nlm.nih.gov/pmc/articles/PMC11446020/pdf/\",\"citationCount\":\"0\",\"resultStr\":null,\"platform\":\"Semanticscholar\",\"paperid\":null,\"PeriodicalName\":\"BioPsychoSocial Medicine\",\"FirstCategoryId\":\"3\",\"ListUrlMain\":\"https://doi.org/10.1186/s13030-024-00317-5\",\"RegionNum\":4,\"RegionCategory\":\"医学\",\"ArticlePicture\":[],\"TitleCN\":null,\"AbstractTextCN\":null,\"PMCID\":null,\"EPubDate\":\"\",\"PubModel\":\"\",\"JCR\":\"Q2\",\"JCRName\":\"PSYCHIATRY\",\"Score\":null,\"Total\":0}","platform":"Semanticscholar","paperid":null,"PeriodicalName":"BioPsychoSocial Medicine","FirstCategoryId":"3","ListUrlMain":"https://doi.org/10.1186/s13030-024-00317-5","RegionNum":4,"RegionCategory":"医学","ArticlePicture":[],"TitleCN":null,"AbstractTextCN":null,"PMCID":null,"EPubDate":"","PubModel":"","JCR":"Q2","JCRName":"PSYCHIATRY","Score":null,"Total":0}
引用次数: 0

摘要

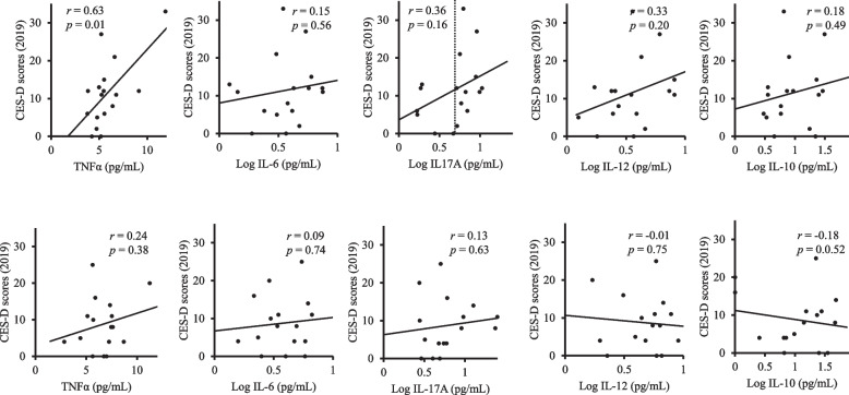
背景:低水平的全身性炎症可能是导致免疫激活的关键因素,有报道称免疫激活会导致精神健康恶化。我们假设,血清中炎症细胞因子水平的升高会加重神经炎症并加剧抑郁症状:参与者是一项队列研究的一部分,2015 年和 2019 年的数据均可获得。2015 年,研究人员采集了 232 名参与者的血液样本。在 2015 年和 2019 年均使用流行病学研究中心抑郁量表(CES-D)对他们的抑郁症状进行了评估(n = 33)。多重免疫测定系统(Luminex® 200)用于测量血清中IL-6、IL-10、IL-12、IL-17A和TNFα的浓度。采用线性模型对数据进行分析,显著性水平为 p 结果:在控制了年龄、体重指数、吸烟和饮酒量后,2015 年女性血清中 IL-17A 和 TNFα 的浓度与 CES-D 评分呈显著正相关(标准化 β (B) = .027,p 结论:IL-6、IL-10、IL-12、IL-17A 和 TNFα 的浓度与 CES-D 评分呈显著正相关(标准化 β (B) = .027,p):在这项横断面研究中,我们发现女性的抑郁症状与血清TNFα和IL-17A水平之间存在明显的正相关。此外,我们的纵向研究结果表明,TNFα和IL-17A可能会加重男性的抑郁症状。
本文章由计算机程序翻译,如有差异,请以英文原文为准。

Serum TNFα and IL-17A levels may predict increased depressive symptoms: findings from the Shika Study cohort project in Japan.

Serum TNFα and IL-17A levels may predict increased depressive symptoms: findings from the Shika Study cohort project in Japan.

Serum TNFα and IL-17A levels may predict increased depressive symptoms: findings from the Shika Study cohort project in Japan.

Serum TNFα and IL-17A levels may predict increased depressive symptoms: findings from the Shika Study cohort project in Japan.

Background: Low-grade systemic inflammation may be a key player in the immune activation that has been reported for mental health deterioration. We hypothesised that elevated serum levels of inflammatory cytokines increase neuroinflammation and exacerbate depressive symptoms.

Methods: The participants were part of a cohort study for whom data was available for both 2015 and 2019. In 2015, blood samples were collected from 232 participants. Their depressive symptoms were assessed both 2015 and 2019 using the Centre for Epidemiologic Studies Depression Scale (CES-D) (n = 33). The multiplex immunoassay system (Luminex® 200) was used to measure the serum concentrations of IL-6, IL-10, IL-12, IL-17A and TNFα. Data were analysed using linear models with the level of significance considered to be p < 0.05.

Results: After controlling for age, BMI, smoking and alcohol consumption, in 2015 the serum concentrations of IL-17A and TNFα in 2015 were significantly positively associated with the CES-D scores of women (standardised β (B) = .027, p < 0.01 and B = 0.26, p < 0.01, respectively). The serum concentrations of IL-17A and TNFα of men were significantly positively associated with the CES-D scores of 2019 (B = 0.62, p = 0.02 and B = 0.59, p = 0.02, respectively).

Conclusions: In this cross-sectional study, we found a significant positive correlation between the depressive symptoms and serum TNFα and IL-17A levels of women. In addition, our longitudinal findings suggest the possibility that TNFα and IL-17A could elevate the depressive symptoms of men.

求助全文
通过发布文献求助,成功后即可免费获取论文全文。 去求助
来源期刊
CiteScore
3.60
自引率
0.00%
发文量
23
审稿时长
18 weeks
期刊介绍: BioPsychoSocial Medicine is an open access, peer-reviewed online journal that encompasses all aspects of the interrelationships between the biological, psychological, social, and behavioral factors of health and illness. BioPsychoSocial Medicine is the official journal of the Japanese Society of Psychosomatic Medicine, and publishes research on psychosomatic disorders and diseases that are characterized by objective organic changes and/or functional changes that could be induced, progressed, aggravated, or exacerbated by psychological, social, and/or behavioral factors and their associated psychosomatic treatments.
×
引用
GB/T 7714-2015
复制
MLA
复制
APA
复制
导出至
BibTeX EndNote RefMan NoteFirst NoteExpress
×
提示
您的信息不完整,为了账户安全,请先补充。
现在去补充
×
提示
您因"违规操作"
具体请查看互助需知
我知道了
×
提示
确定
请完成安全验证×
copy
已复制链接
快去分享给好友吧!
我知道了
右上角分享
点击右上角分享
0
联系我们:info@booksci.cn Book学术提供免费学术资源搜索服务,方便国内外学者检索中英文文献。致力于提供最便捷和优质的服务体验。 Copyright © 2023 布克学术 All rights reserved.
京ICP备2023020795号-1
ghs 京公网安备 11010802042870号
Book学术文献互助
Book学术文献互助群
群 号:604180095
Book学术官方微信