多种低密度脂蛋白胆固醇计算公式与直接均质法的比较

Q2 Medicine
Journal of Lipid and Atherosclerosis Pub Date : 2024-09-01 Epub Date: 2024-07-15 DOI:10.12997/jla.2024.13.3.348
Rawaa E K Alsadig, Adel N Morsi
{"title":"多种低密度脂蛋白胆固醇计算公式与直接均质法的比较","authors":"Rawaa E K Alsadig, Adel N Morsi","doi":"10.12997/jla.2024.13.3.348","DOIUrl":null,"url":null,"abstract":"<p><strong>Objective: </strong>Several equations have been proposed as alternatives for the reference method of measuring low-density lipoprotein cholesterol (LDL-C). This study aimed to evaluate these alternatives in comparison to the homogeneous method and validate their clinical utility.</p><p><strong>Methods: </strong>Data on the lipid profiles of 1,006 Sudanese individuals were analyzed. The paired t-test was used to compare the results of direct and calculated LDL-C. Bland-Altman plots were used to demonstrate the differences between the measured and calculated LDL-C against the mean values. Linear regression was conducted, using the correlation coefficient (<i>r</i>) to quantify the relationship between methods. The bias between measured and calculated LDL-C was compared to the National Cholesterol Education Program Laboratory Standardization Panel criteria (i.e., accuracy within ±4% of expected values).</p><p><strong>Results: </strong>The Martin and Anandaraja equations showed no significant difference compared to directly measured LDL-C (<i>p</i>>0.05). The DeLong equation indicated an insignificant difference only with a 99% confidence interval (<i>p</i>>0.01). The Martin, DeLong, and Teerakanchana equations exhibited the smallest limits of agreement, with data points concentrated closely around the mean difference line. Linear regression analysis revealed strong positive correlations (<i>r</i>>0.8) for most equations, except for the Ahmadi equation. The DeLong, Rao, and Martin equations demonstrated superior performance for LDL cutoff points (bias within ± 4%). The DeLong formula also showed superior performance at different lipid levels, closely followed by the Martin equation (bias within ±4%).</p><p><strong>Conclusion: </strong>The DeLong and Martin equations outperformed others, such as the widely used Friedewald equation, in calculating LDL-C. Further validation studies are needed.</p>","PeriodicalId":16284,"journal":{"name":"Journal of Lipid and Atherosclerosis","volume":"13 3","pages":"348-357"},"PeriodicalIF":0.0000,"publicationDate":"2024-09-01","publicationTypes":"Journal Article","fieldsOfStudy":null,"isOpenAccess":false,"openAccessPdf":"https://www.ncbi.nlm.nih.gov/pmc/articles/PMC11439753/pdf/","citationCount":"0","resultStr":"{\"title\":\"Comparison of Multiple Equations for Low-Density Lipoprotein Cholesterol Calculation Against the Direct Homogeneous Method.\",\"authors\":\"Rawaa E K Alsadig, Adel N Morsi\",\"doi\":\"10.12997/jla.2024.13.3.348\",\"DOIUrl\":null,\"url\":null,\"abstract\":\"<p><strong>Objective: </strong>Several equations have been proposed as alternatives for the reference method of measuring low-density lipoprotein cholesterol (LDL-C). This study aimed to evaluate these alternatives in comparison to the homogeneous method and validate their clinical utility.</p><p><strong>Methods: </strong>Data on the lipid profiles of 1,006 Sudanese individuals were analyzed. The paired t-test was used to compare the results of direct and calculated LDL-C. Bland-Altman plots were used to demonstrate the differences between the measured and calculated LDL-C against the mean values. Linear regression was conducted, using the correlation coefficient (<i>r</i>) to quantify the relationship between methods. The bias between measured and calculated LDL-C was compared to the National Cholesterol Education Program Laboratory Standardization Panel criteria (i.e., accuracy within ±4% of expected values).</p><p><strong>Results: </strong>The Martin and Anandaraja equations showed no significant difference compared to directly measured LDL-C (<i>p</i>>0.05). The DeLong equation indicated an insignificant difference only with a 99% confidence interval (<i>p</i>>0.01). The Martin, DeLong, and Teerakanchana equations exhibited the smallest limits of agreement, with data points concentrated closely around the mean difference line. Linear regression analysis revealed strong positive correlations (<i>r</i>>0.8) for most equations, except for the Ahmadi equation. The DeLong, Rao, and Martin equations demonstrated superior performance for LDL cutoff points (bias within ± 4%). The DeLong formula also showed superior performance at different lipid levels, closely followed by the Martin equation (bias within ±4%).</p><p><strong>Conclusion: </strong>The DeLong and Martin equations outperformed others, such as the widely used Friedewald equation, in calculating LDL-C. Further validation studies are needed.</p>\",\"PeriodicalId\":16284,\"journal\":{\"name\":\"Journal of Lipid and Atherosclerosis\",\"volume\":\"13 3\",\"pages\":\"348-357\"},\"PeriodicalIF\":0.0000,\"publicationDate\":\"2024-09-01\",\"publicationTypes\":\"Journal Article\",\"fieldsOfStudy\":null,\"isOpenAccess\":false,\"openAccessPdf\":\"https://www.ncbi.nlm.nih.gov/pmc/articles/PMC11439753/pdf/\",\"citationCount\":\"0\",\"resultStr\":null,\"platform\":\"Semanticscholar\",\"paperid\":null,\"PeriodicalName\":\"Journal of Lipid and Atherosclerosis\",\"FirstCategoryId\":\"1085\",\"ListUrlMain\":\"https://doi.org/10.12997/jla.2024.13.3.348\",\"RegionNum\":0,\"RegionCategory\":null,\"ArticlePicture\":[],\"TitleCN\":null,\"AbstractTextCN\":null,\"PMCID\":null,\"EPubDate\":\"2024/7/15 0:00:00\",\"PubModel\":\"Epub\",\"JCR\":\"Q2\",\"JCRName\":\"Medicine\",\"Score\":null,\"Total\":0}","platform":"Semanticscholar","paperid":null,"PeriodicalName":"Journal of Lipid and Atherosclerosis","FirstCategoryId":"1085","ListUrlMain":"https://doi.org/10.12997/jla.2024.13.3.348","RegionNum":0,"RegionCategory":null,"ArticlePicture":[],"TitleCN":null,"AbstractTextCN":null,"PMCID":null,"EPubDate":"2024/7/15 0:00:00","PubModel":"Epub","JCR":"Q2","JCRName":"Medicine","Score":null,"Total":0}
引用次数: 0

摘要

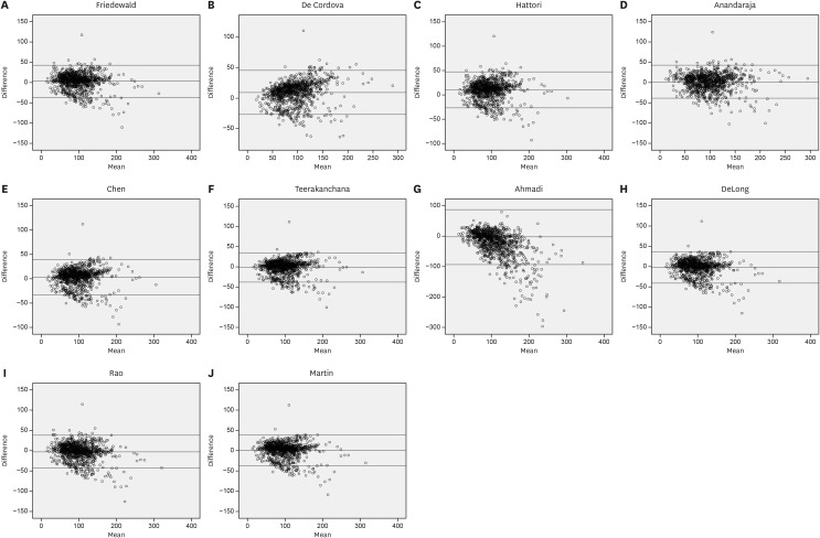
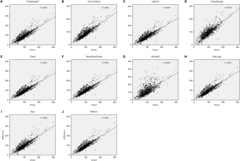
目的:目前已提出几种方程作为测量低密度脂蛋白胆固醇(LDL-C)参考方法的替代方法。本研究旨在评估这些替代方法与同质方法的比较,并验证其临床实用性:方法:分析了 1006 名苏丹人的血脂概况数据。采用配对 t 检验比较直接法和计算法得出的 LDL-C 结果。使用Bland-Altman图显示测量和计算的低密度脂蛋白胆固醇与平均值之间的差异。使用相关系数 (r) 进行线性回归,以量化各种方法之间的关系。测量和计算的 LDL-C 之间的偏差与美国国家胆固醇教育计划实验室标准化小组的标准(即准确度在预期值的±4%以内)进行了比较:结果:马丁方程和阿南达拉贾方程与直接测量的低密度脂蛋白胆固醇相比无显著差异(P>0.05)。DeLong 方程仅在 99% 的置信区间内显示出不显著的差异(p>0.01)。Martin、DeLong 和 Teerakanchana 方程显示出最小的一致性极限,数据点紧密集中在平均差异线附近。线性回归分析表明,除 Ahmadi 方程外,大多数方程都具有很强的正相关性(r>0.8)。DeLong、Rao 和 Martin 方程在低密度脂蛋白临界点方面表现优异(偏差在 ± 4% 以内)。DeLong 公式在不同血脂水平下也表现出卓越的性能,Martin 公式紧随其后(偏差在 ±4% 以内):结论:在计算低密度脂蛋白胆固醇方面,德隆公式和马丁公式优于其他公式,如广泛使用的弗里德瓦尔德公式。还需要进一步的验证研究。
本文章由计算机程序翻译,如有差异,请以英文原文为准。

Comparison of Multiple Equations for Low-Density Lipoprotein Cholesterol Calculation Against the Direct Homogeneous Method.

Comparison of Multiple Equations for Low-Density Lipoprotein Cholesterol Calculation Against the Direct Homogeneous Method.

Comparison of Multiple Equations for Low-Density Lipoprotein Cholesterol Calculation Against the Direct Homogeneous Method.

Comparison of Multiple Equations for Low-Density Lipoprotein Cholesterol Calculation Against the Direct Homogeneous Method.

Objective: Several equations have been proposed as alternatives for the reference method of measuring low-density lipoprotein cholesterol (LDL-C). This study aimed to evaluate these alternatives in comparison to the homogeneous method and validate their clinical utility.

Methods: Data on the lipid profiles of 1,006 Sudanese individuals were analyzed. The paired t-test was used to compare the results of direct and calculated LDL-C. Bland-Altman plots were used to demonstrate the differences between the measured and calculated LDL-C against the mean values. Linear regression was conducted, using the correlation coefficient (r) to quantify the relationship between methods. The bias between measured and calculated LDL-C was compared to the National Cholesterol Education Program Laboratory Standardization Panel criteria (i.e., accuracy within ±4% of expected values).

Results: The Martin and Anandaraja equations showed no significant difference compared to directly measured LDL-C (p>0.05). The DeLong equation indicated an insignificant difference only with a 99% confidence interval (p>0.01). The Martin, DeLong, and Teerakanchana equations exhibited the smallest limits of agreement, with data points concentrated closely around the mean difference line. Linear regression analysis revealed strong positive correlations (r>0.8) for most equations, except for the Ahmadi equation. The DeLong, Rao, and Martin equations demonstrated superior performance for LDL cutoff points (bias within ± 4%). The DeLong formula also showed superior performance at different lipid levels, closely followed by the Martin equation (bias within ±4%).

Conclusion: The DeLong and Martin equations outperformed others, such as the widely used Friedewald equation, in calculating LDL-C. Further validation studies are needed.

求助全文
通过发布文献求助,成功后即可免费获取论文全文。 去求助
来源期刊
Journal of Lipid and Atherosclerosis
Journal of Lipid and Atherosclerosis Medicine-Internal Medicine
CiteScore
6.90
自引率
0.00%
发文量
26
审稿时长
12 weeks
×
引用
GB/T 7714-2015
复制
MLA
复制
APA
复制
导出至
BibTeX EndNote RefMan NoteFirst NoteExpress
×
提示
您的信息不完整,为了账户安全,请先补充。
现在去补充
×
提示
您因"违规操作"
具体请查看互助需知
我知道了
×
提示
确定
请完成安全验证×
copy
已复制链接
快去分享给好友吧!
我知道了
右上角分享
点击右上角分享
0
联系我们:info@booksci.cn Book学术提供免费学术资源搜索服务,方便国内外学者检索中英文文献。致力于提供最便捷和优质的服务体验。 Copyright © 2023 布克学术 All rights reserved.
京ICP备2023020795号-1
ghs 京公网安备 11010802042870号
Book学术文献互助
Book学术文献互助群
群 号:604180095
Book学术官方微信