不同视力测试的比较和数字设备的验证。

IF 1.8 Q2 Medicine
Blanca Montori, Teresa Pérez Roche, Maria Vilella, Estela López, Adrián Alejandre, Xian Pan, Marta Ortín, Marta Lacort, Victoria Pueyo
{"title":"不同视力测试的比较和数字设备的验证。","authors":"Blanca Montori, Teresa Pérez Roche, Maria Vilella, Estela López, Adrián Alejandre, Xian Pan, Marta Ortín, Marta Lacort, Victoria Pueyo","doi":"10.3390/vision8030057","DOIUrl":null,"url":null,"abstract":"<p><strong>Purpose: </strong>To compare different visual acuity (VA) tests (printed and digital, symbols and letters) and to validate a new device for VA testing called DIVE (Devices for an Integral Visual Examination).</p><p><strong>Methods: </strong>VA was tested in a wide spectrum of adult people with printed tests (ETDRS and LEA Symbols) and with two implemented tests in DIVE (HOTV and DIVE Symbols). We measured agreement between the different VA tests using the intraclass correlation coefficient and Bland-Altman method. In addition, we measured the repeatability of all tests.</p><p><strong>Results: </strong>Right eyes from 51 adult participants were included in the study. Correlation between tests was high (ICC from 0.95 to 0.97). Bland-Altman analysis showed good agreement among the different tests, with differences within reasonable clinical limits. However, slightly better VA values were obtained with DIVE HOTV and ETDRS, followed by LEA and DIVE Symbols. ETDRS had the best repeatability.</p><p><strong>Conclusion: </strong>The four evaluated VA tests provide comparable outcomes. In an adult sample, letter optotypes obtained better VA values than symbol optotypes. DIVE VA tests are reliable and well-correlated with printed VA tests.</p>","PeriodicalId":36586,"journal":{"name":"Vision (Switzerland)","volume":"8 3","pages":""},"PeriodicalIF":1.8000,"publicationDate":"2024-09-23","publicationTypes":"Journal Article","fieldsOfStudy":null,"isOpenAccess":false,"openAccessPdf":"https://www.ncbi.nlm.nih.gov/pmc/articles/PMC11437472/pdf/","citationCount":"0","resultStr":"{\"title\":\"Comparison between Different Visual Acuity Tests and Validation of a Digital Device.\",\"authors\":\"Blanca Montori, Teresa Pérez Roche, Maria Vilella, Estela López, Adrián Alejandre, Xian Pan, Marta Ortín, Marta Lacort, Victoria Pueyo\",\"doi\":\"10.3390/vision8030057\",\"DOIUrl\":null,\"url\":null,\"abstract\":\"<p><strong>Purpose: </strong>To compare different visual acuity (VA) tests (printed and digital, symbols and letters) and to validate a new device for VA testing called DIVE (Devices for an Integral Visual Examination).</p><p><strong>Methods: </strong>VA was tested in a wide spectrum of adult people with printed tests (ETDRS and LEA Symbols) and with two implemented tests in DIVE (HOTV and DIVE Symbols). We measured agreement between the different VA tests using the intraclass correlation coefficient and Bland-Altman method. In addition, we measured the repeatability of all tests.</p><p><strong>Results: </strong>Right eyes from 51 adult participants were included in the study. Correlation between tests was high (ICC from 0.95 to 0.97). Bland-Altman analysis showed good agreement among the different tests, with differences within reasonable clinical limits. However, slightly better VA values were obtained with DIVE HOTV and ETDRS, followed by LEA and DIVE Symbols. ETDRS had the best repeatability.</p><p><strong>Conclusion: </strong>The four evaluated VA tests provide comparable outcomes. In an adult sample, letter optotypes obtained better VA values than symbol optotypes. DIVE VA tests are reliable and well-correlated with printed VA tests.</p>\",\"PeriodicalId\":36586,\"journal\":{\"name\":\"Vision (Switzerland)\",\"volume\":\"8 3\",\"pages\":\"\"},\"PeriodicalIF\":1.8000,\"publicationDate\":\"2024-09-23\",\"publicationTypes\":\"Journal Article\",\"fieldsOfStudy\":null,\"isOpenAccess\":false,\"openAccessPdf\":\"https://www.ncbi.nlm.nih.gov/pmc/articles/PMC11437472/pdf/\",\"citationCount\":\"0\",\"resultStr\":null,\"platform\":\"Semanticscholar\",\"paperid\":null,\"PeriodicalName\":\"Vision (Switzerland)\",\"FirstCategoryId\":\"1085\",\"ListUrlMain\":\"https://doi.org/10.3390/vision8030057\",\"RegionNum\":0,\"RegionCategory\":null,\"ArticlePicture\":[],\"TitleCN\":null,\"AbstractTextCN\":null,\"PMCID\":null,\"EPubDate\":\"\",\"PubModel\":\"\",\"JCR\":\"Q2\",\"JCRName\":\"Medicine\",\"Score\":null,\"Total\":0}","platform":"Semanticscholar","paperid":null,"PeriodicalName":"Vision (Switzerland)","FirstCategoryId":"1085","ListUrlMain":"https://doi.org/10.3390/vision8030057","RegionNum":0,"RegionCategory":null,"ArticlePicture":[],"TitleCN":null,"AbstractTextCN":null,"PMCID":null,"EPubDate":"","PubModel":"","JCR":"Q2","JCRName":"Medicine","Score":null,"Total":0}
引用次数: 0

摘要

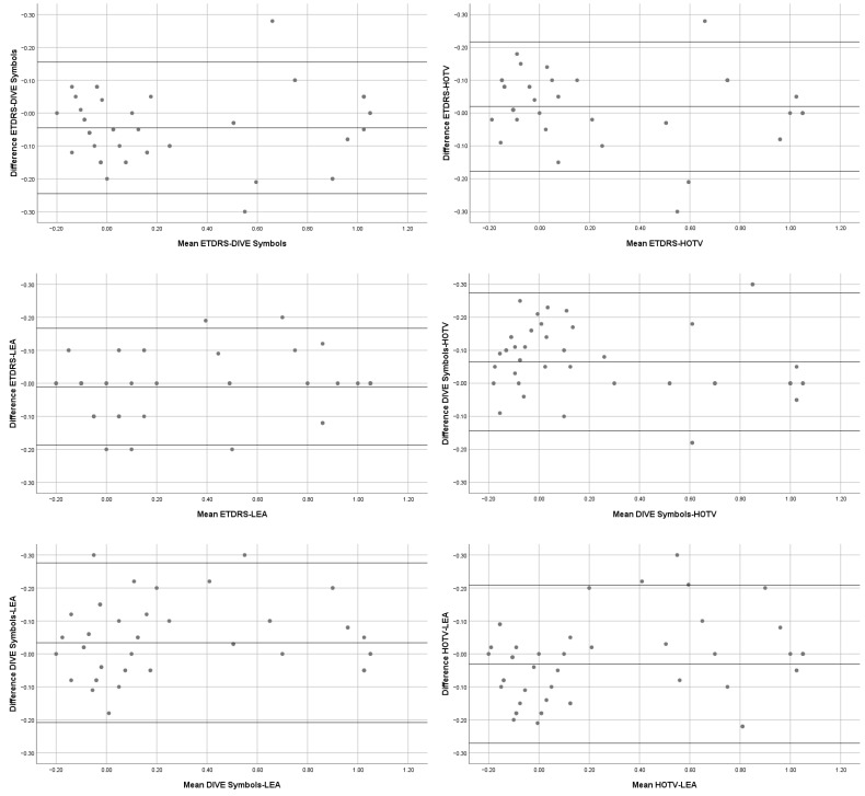
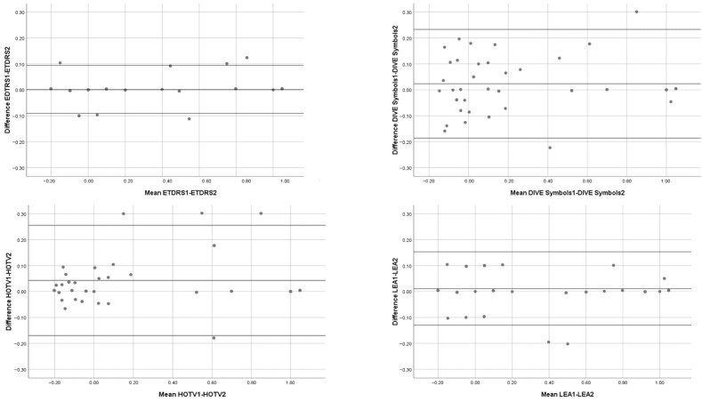
目的:比较不同的视力(VA)测试(印刷和数字、符号和字母),并验证一种名为 DIVE(整体视觉检查设备)的新视力测试设备:方法:我们使用印刷测试(ETDRS 和 LEA 符号)和 DIVE 中的两种执行测试(HOTV 和 DIVE 符号)对各类成年人进行了视力测试。我们使用类内相关系数和 Bland-Altman 方法测量了不同 VA 测试之间的一致性。此外,我们还测量了所有测试的重复性:研究共纳入了 51 名成年参与者的右眼。测试之间的相关性很高(ICC 从 0.95 到 0.97)。Bland-Altman分析表明,不同测试之间的一致性很好,差异在合理的临床范围内。然而,DIVE HOTV 和 ETDRS 获得的视力值稍好,其次是 LEA 和 DIVE Symbols。ETDRS的重复性最好:结论:四种经过评估的视力测试结果具有可比性。在成人样本中,字母光型的视力值优于符号光型。DIVE 视力测试可靠,与印刷视力测试的相关性良好。
本文章由计算机程序翻译,如有差异,请以英文原文为准。

Comparison between Different Visual Acuity Tests and Validation of a Digital Device.

Comparison between Different Visual Acuity Tests and Validation of a Digital Device.

Comparison between Different Visual Acuity Tests and Validation of a Digital Device.

Comparison between Different Visual Acuity Tests and Validation of a Digital Device.

Purpose: To compare different visual acuity (VA) tests (printed and digital, symbols and letters) and to validate a new device for VA testing called DIVE (Devices for an Integral Visual Examination).

Methods: VA was tested in a wide spectrum of adult people with printed tests (ETDRS and LEA Symbols) and with two implemented tests in DIVE (HOTV and DIVE Symbols). We measured agreement between the different VA tests using the intraclass correlation coefficient and Bland-Altman method. In addition, we measured the repeatability of all tests.

Results: Right eyes from 51 adult participants were included in the study. Correlation between tests was high (ICC from 0.95 to 0.97). Bland-Altman analysis showed good agreement among the different tests, with differences within reasonable clinical limits. However, slightly better VA values were obtained with DIVE HOTV and ETDRS, followed by LEA and DIVE Symbols. ETDRS had the best repeatability.

Conclusion: The four evaluated VA tests provide comparable outcomes. In an adult sample, letter optotypes obtained better VA values than symbol optotypes. DIVE VA tests are reliable and well-correlated with printed VA tests.

求助全文
通过发布文献求助,成功后即可免费获取论文全文。 去求助
来源期刊
Vision (Switzerland)
Vision (Switzerland) Health Professions-Optometry
CiteScore
2.30
自引率
0.00%
发文量
62
审稿时长
11 weeks
×
引用
GB/T 7714-2015
复制
MLA
复制
APA
复制
导出至
BibTeX EndNote RefMan NoteFirst NoteExpress
×
提示
您的信息不完整,为了账户安全,请先补充。
现在去补充
×
提示
您因"违规操作"
具体请查看互助需知
我知道了
×
提示
确定
请完成安全验证×
copy
已复制链接
快去分享给好友吧!
我知道了
右上角分享
点击右上角分享
0
联系我们:info@booksci.cn Book学术提供免费学术资源搜索服务,方便国内外学者检索中英文文献。致力于提供最便捷和优质的服务体验。 Copyright © 2023 布克学术 All rights reserved.
京ICP备2023020795号-1
ghs 京公网安备 11010802042870号
Book学术文献互助
Book学术文献互助群
群 号:604180095
Book学术官方微信