有肺结核病史的艾滋病病毒感染者,其循环 CD4+ T 细胞中的完整 HIV DNA 更多。

Q1 Medicine
Pathogens and Immunity Pub Date : 2024-09-23 eCollection Date: 2024-01-01 DOI:10.20411/pai.v9i2.722
Marc Antoine Jean Juste, Yvetot Joseph, Dominique Lespinasse, Alexandra Apollon, Parmida Jamshidi, Myung Hee Lee, Maureen Ward, Esther Brill, Yanique Duffus, Uche Chukwukere, Ali Danesh, Winiffer Conce Alberto, Daniel W Fitzgerald, Jean W Pape, R Brad Jones, Kathryn Dupnik
{"title":"有肺结核病史的艾滋病病毒感染者,其循环 CD4+ T 细胞中的完整 HIV DNA 更多。","authors":"Marc Antoine Jean Juste, Yvetot Joseph, Dominique Lespinasse, Alexandra Apollon, Parmida Jamshidi, Myung Hee Lee, Maureen Ward, Esther Brill, Yanique Duffus, Uche Chukwukere, Ali Danesh, Winiffer Conce Alberto, Daniel W Fitzgerald, Jean W Pape, R Brad Jones, Kathryn Dupnik","doi":"10.20411/pai.v9i2.722","DOIUrl":null,"url":null,"abstract":"<p><strong>Background: </strong>A primary barrier to curing HIV is the HIV reservoir. The leading infectious cause of death worldwide for people living with HIV is tuberculosis (TB), but we do not know how TB impacts the HIV reservoir.</p><p><strong>Methods: </strong>Participants in identification and validation cohorts were selected from previously enrolled studies at Groupe Haïtien d'Étude du Sarcome de Kaposi et des Infections Opportunistes (GHESKIO) in Port au Prince, Haiti. Intact and non-intact proviral DNA were quantified using droplet digital PCR of peripheral blood mononuclear cell (PBMC)-derived CD4+ T cells. Kruskal-Wallis tests were used to compare medians with tobit regression for censoring.</p><p><strong>Results: </strong>In the identification cohort, we found that people living with HIV with a history of active pulmonary TB (n=19) had higher levels of intact provirus than people living with HIV without a history of active TB (n=47) (median 762; IQR, 183-1173 vs 117; IQR, 24-279 intact provirus per million CD4, respectively; <i>P</i>=0.0001). This difference also was seen in the validation cohort (n=31), (median 102; IQR, 0-737 vs 0; IQR, 0-24.5 intact provirus per million CD4, <i>P</i>=0.03) for TB vs no-TB history groups, respectively. The frequencies of CD4+ T cells with any detectable proviral fragment was directly proportional to the levels of interleukin-1 beta (r=0.524, <i>P</i>= 0.0025) and interleukin-2 (r=0.622, <i>P</i>=0.0002).</p><p><strong>Conclusions: </strong>People living with HIV with a history of active pulmonary TB have more HIV pro-virus in their circulating CD4+ T cells, even years after TB cure. We need to characterize which CD4+ T cells are harboring intact provirus to consider the impact of T cell-targeting HIV cure interventions for people living in TB-endemic areas.</p>","PeriodicalId":36419,"journal":{"name":"Pathogens and Immunity","volume":"9 2","pages":"172-193"},"PeriodicalIF":0.0000,"publicationDate":"2024-09-23","publicationTypes":"Journal Article","fieldsOfStudy":null,"isOpenAccess":false,"openAccessPdf":"https://www.ncbi.nlm.nih.gov/pmc/articles/PMC11432494/pdf/","citationCount":"0","resultStr":"{\"title\":\"People Living With HIV Have More Intact HIV DNA in Circulating CD4+ T Cells if They Have History of Pulmonary Tuberculosis.\",\"authors\":\"Marc Antoine Jean Juste, Yvetot Joseph, Dominique Lespinasse, Alexandra Apollon, Parmida Jamshidi, Myung Hee Lee, Maureen Ward, Esther Brill, Yanique Duffus, Uche Chukwukere, Ali Danesh, Winiffer Conce Alberto, Daniel W Fitzgerald, Jean W Pape, R Brad Jones, Kathryn Dupnik\",\"doi\":\"10.20411/pai.v9i2.722\",\"DOIUrl\":null,\"url\":null,\"abstract\":\"<p><strong>Background: </strong>A primary barrier to curing HIV is the HIV reservoir. The leading infectious cause of death worldwide for people living with HIV is tuberculosis (TB), but we do not know how TB impacts the HIV reservoir.</p><p><strong>Methods: </strong>Participants in identification and validation cohorts were selected from previously enrolled studies at Groupe Haïtien d'Étude du Sarcome de Kaposi et des Infections Opportunistes (GHESKIO) in Port au Prince, Haiti. Intact and non-intact proviral DNA were quantified using droplet digital PCR of peripheral blood mononuclear cell (PBMC)-derived CD4+ T cells. Kruskal-Wallis tests were used to compare medians with tobit regression for censoring.</p><p><strong>Results: </strong>In the identification cohort, we found that people living with HIV with a history of active pulmonary TB (n=19) had higher levels of intact provirus than people living with HIV without a history of active TB (n=47) (median 762; IQR, 183-1173 vs 117; IQR, 24-279 intact provirus per million CD4, respectively; <i>P</i>=0.0001). This difference also was seen in the validation cohort (n=31), (median 102; IQR, 0-737 vs 0; IQR, 0-24.5 intact provirus per million CD4, <i>P</i>=0.03) for TB vs no-TB history groups, respectively. The frequencies of CD4+ T cells with any detectable proviral fragment was directly proportional to the levels of interleukin-1 beta (r=0.524, <i>P</i>= 0.0025) and interleukin-2 (r=0.622, <i>P</i>=0.0002).</p><p><strong>Conclusions: </strong>People living with HIV with a history of active pulmonary TB have more HIV pro-virus in their circulating CD4+ T cells, even years after TB cure. We need to characterize which CD4+ T cells are harboring intact provirus to consider the impact of T cell-targeting HIV cure interventions for people living in TB-endemic areas.</p>\",\"PeriodicalId\":36419,\"journal\":{\"name\":\"Pathogens and Immunity\",\"volume\":\"9 2\",\"pages\":\"172-193\"},\"PeriodicalIF\":0.0000,\"publicationDate\":\"2024-09-23\",\"publicationTypes\":\"Journal Article\",\"fieldsOfStudy\":null,\"isOpenAccess\":false,\"openAccessPdf\":\"https://www.ncbi.nlm.nih.gov/pmc/articles/PMC11432494/pdf/\",\"citationCount\":\"0\",\"resultStr\":null,\"platform\":\"Semanticscholar\",\"paperid\":null,\"PeriodicalName\":\"Pathogens and Immunity\",\"FirstCategoryId\":\"1085\",\"ListUrlMain\":\"https://doi.org/10.20411/pai.v9i2.722\",\"RegionNum\":0,\"RegionCategory\":null,\"ArticlePicture\":[],\"TitleCN\":null,\"AbstractTextCN\":null,\"PMCID\":null,\"EPubDate\":\"2024/1/1 0:00:00\",\"PubModel\":\"eCollection\",\"JCR\":\"Q1\",\"JCRName\":\"Medicine\",\"Score\":null,\"Total\":0}","platform":"Semanticscholar","paperid":null,"PeriodicalName":"Pathogens and Immunity","FirstCategoryId":"1085","ListUrlMain":"https://doi.org/10.20411/pai.v9i2.722","RegionNum":0,"RegionCategory":null,"ArticlePicture":[],"TitleCN":null,"AbstractTextCN":null,"PMCID":null,"EPubDate":"2024/1/1 0:00:00","PubModel":"eCollection","JCR":"Q1","JCRName":"Medicine","Score":null,"Total":0}
引用次数: 0

摘要

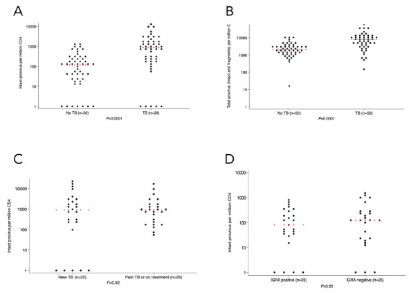
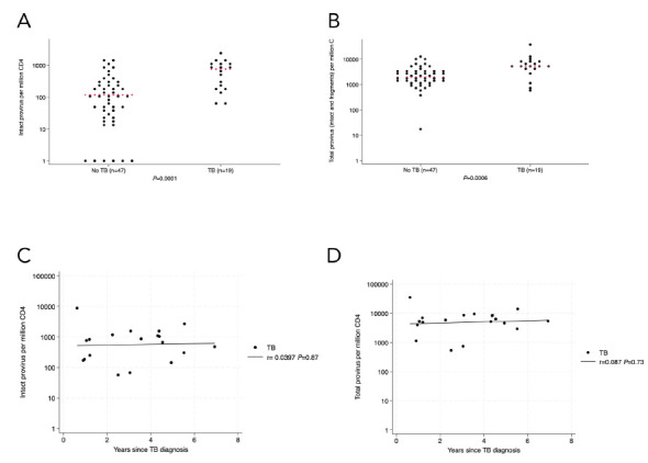
背景:艾滋病病毒库是治愈艾滋病的主要障碍。结核病是导致全球艾滋病病毒感染者死亡的主要传染病,但我们并不知道结核病如何影响艾滋病病毒库:方法:从海地太子港的 Grouïtien d'Étude du Sarcome de Kaposi et des Infections Opportunistes (GHESKIO) 先前登记的研究中挑选识别和验证队列的参与者。使用外周血单核细胞(PBMC)衍生的 CD4+ T 细胞的液滴数字 PCR 对完整和非完整的前病毒 DNA 进行了定量。采用 Kruskal-Wallis 检验比较中位数,并用 tobit 回归进行普查:在鉴定队列中,我们发现有活动性肺结核病史的 HIV 感染者(19 人)比无活动性肺结核病史的 HIV 感染者(47 人)有更高水平的完整病毒(中位数分别为 762;IQR,183-1173 vs 117;IQR,每百万 CD4 24-279 个完整病毒;P=0.0001)。在验证队列(n=31)中,结核病史组与无结核病史组也分别出现了这种差异(中位数 102;IQR,0-737 vs 0;IQR,0-24.5)。可检测到任何前病毒片段的 CD4+ T 细胞的频率与白细胞介素-1 beta(r=0.524,P= 0.0025)和白细胞介素-2(r=0.622,P=0.0002)的水平成正比:结论:有活动性肺结核病史的艾滋病病毒感染者的循环 CD4+ T 细胞中含有更多的艾滋病原病毒,即使在结核病治愈多年后也是如此。我们需要确定哪些 CD4+ T 细胞携带完整的原病毒,以考虑针对 T 细胞的 HIV 治愈干预措施对结核病流行地区患者的影响。
本文章由计算机程序翻译,如有差异,请以英文原文为准。

People Living With HIV Have More Intact HIV DNA in Circulating CD4+ T Cells if They Have History of Pulmonary Tuberculosis.

People Living With HIV Have More Intact HIV DNA in Circulating CD4+ T Cells if They Have History of Pulmonary Tuberculosis.

People Living With HIV Have More Intact HIV DNA in Circulating CD4+ T Cells if They Have History of Pulmonary Tuberculosis.

People Living With HIV Have More Intact HIV DNA in Circulating CD4+ T Cells if They Have History of Pulmonary Tuberculosis.

Background: A primary barrier to curing HIV is the HIV reservoir. The leading infectious cause of death worldwide for people living with HIV is tuberculosis (TB), but we do not know how TB impacts the HIV reservoir.

Methods: Participants in identification and validation cohorts were selected from previously enrolled studies at Groupe Haïtien d'Étude du Sarcome de Kaposi et des Infections Opportunistes (GHESKIO) in Port au Prince, Haiti. Intact and non-intact proviral DNA were quantified using droplet digital PCR of peripheral blood mononuclear cell (PBMC)-derived CD4+ T cells. Kruskal-Wallis tests were used to compare medians with tobit regression for censoring.

Results: In the identification cohort, we found that people living with HIV with a history of active pulmonary TB (n=19) had higher levels of intact provirus than people living with HIV without a history of active TB (n=47) (median 762; IQR, 183-1173 vs 117; IQR, 24-279 intact provirus per million CD4, respectively; P=0.0001). This difference also was seen in the validation cohort (n=31), (median 102; IQR, 0-737 vs 0; IQR, 0-24.5 intact provirus per million CD4, P=0.03) for TB vs no-TB history groups, respectively. The frequencies of CD4+ T cells with any detectable proviral fragment was directly proportional to the levels of interleukin-1 beta (r=0.524, P= 0.0025) and interleukin-2 (r=0.622, P=0.0002).

Conclusions: People living with HIV with a history of active pulmonary TB have more HIV pro-virus in their circulating CD4+ T cells, even years after TB cure. We need to characterize which CD4+ T cells are harboring intact provirus to consider the impact of T cell-targeting HIV cure interventions for people living in TB-endemic areas.

求助全文
通过发布文献求助,成功后即可免费获取论文全文。 去求助
来源期刊
Pathogens and Immunity
Pathogens and Immunity Medicine-Infectious Diseases
CiteScore
10.60
自引率
0.00%
发文量
16
审稿时长
10 weeks
×
引用
GB/T 7714-2015
复制
MLA
复制
APA
复制
导出至
BibTeX EndNote RefMan NoteFirst NoteExpress
×
提示
您的信息不完整,为了账户安全,请先补充。
现在去补充
×
提示
您因"违规操作"
具体请查看互助需知
我知道了
×
提示
确定
请完成安全验证×
copy
已复制链接
快去分享给好友吧!
我知道了
右上角分享
点击右上角分享
0
联系我们:info@booksci.cn Book学术提供免费学术资源搜索服务,方便国内外学者检索中英文文献。致力于提供最便捷和优质的服务体验。 Copyright © 2023 布克学术 All rights reserved.
京ICP备2023020795号-1
ghs 京公网安备 11010802042870号
Book学术文献互助
Book学术文献互助群
群 号:604180095
Book学术官方微信