妊娠早期遭受饥荒的妇女在 76 岁之前的死亡率都会增加。

IF 2.5 3区 医学 Q2 OBSTETRICS & GYNECOLOGY
Paediatric and perinatal epidemiology Pub Date : 2025-03-01 Epub Date: 2024-10-01 DOI:10.1111/ppe.13131
Aline Marileen Wiegersma, Tessa J Roseboom, Susanne R de Rooij
{"title":"妊娠早期遭受饥荒的妇女在 76 岁之前的死亡率都会增加。","authors":"Aline Marileen Wiegersma, Tessa J Roseboom, Susanne R de Rooij","doi":"10.1111/ppe.13131","DOIUrl":null,"url":null,"abstract":"<p><strong>Background: </strong>We have previously shown that exposure to famine in early gestation was associated with poorer adult health and, in women, with reduced survival up to age 64.</p><p><strong>Objectives: </strong>Here, we explore the association between prenatal famine exposure and mortality up to age 76 for men and women separately.</p><p><strong>Methods: </strong>We studied adult mortality (>18 years) in men (n = 989) and women (n = 1002) born as term singletons around the time of the 1944-1945 Dutch famine. We compared overall and cause-specific mortality among men and women exposed to famine in late, mid, or early gestation to that among unexposed persons (born before or conceived after the famine) using Cox regression.</p><p><strong>Results: </strong>In total, 500 persons (25.1%) had died after age 18. Women exposed to famine in early gestation had higher overall (HR 1.49, 95% CI 1.00, 2.23), cancer (HR 2.17, 95% CI 1.32,3.58) and cardiovascular mortality (HR 2.33, 95% CI 0.91, 5.95) compared to unexposed women. Mortality rates among men were not different between exposure groups.</p><p><strong>Conclusion: </strong>This study showed that women, but not men, exposed to famine in early gestation had increased overall, cardiovascular and cancer mortality up to age 76. Although prenatal famine exposure affects adult health of both men and women, it seems to only lead to increased mortality among women.</p>","PeriodicalId":19698,"journal":{"name":"Paediatric and perinatal epidemiology","volume":" ","pages":"236-241"},"PeriodicalIF":2.5000,"publicationDate":"2025-03-01","publicationTypes":"Journal Article","fieldsOfStudy":null,"isOpenAccess":false,"openAccessPdf":"https://www.ncbi.nlm.nih.gov/pmc/articles/PMC11997240/pdf/","citationCount":"0","resultStr":"{\"title\":\"Women exposed to famine in early gestation have increased mortality up to age 76 years.\",\"authors\":\"Aline Marileen Wiegersma, Tessa J Roseboom, Susanne R de Rooij\",\"doi\":\"10.1111/ppe.13131\",\"DOIUrl\":null,\"url\":null,\"abstract\":\"<p><strong>Background: </strong>We have previously shown that exposure to famine in early gestation was associated with poorer adult health and, in women, with reduced survival up to age 64.</p><p><strong>Objectives: </strong>Here, we explore the association between prenatal famine exposure and mortality up to age 76 for men and women separately.</p><p><strong>Methods: </strong>We studied adult mortality (>18 years) in men (n = 989) and women (n = 1002) born as term singletons around the time of the 1944-1945 Dutch famine. We compared overall and cause-specific mortality among men and women exposed to famine in late, mid, or early gestation to that among unexposed persons (born before or conceived after the famine) using Cox regression.</p><p><strong>Results: </strong>In total, 500 persons (25.1%) had died after age 18. Women exposed to famine in early gestation had higher overall (HR 1.49, 95% CI 1.00, 2.23), cancer (HR 2.17, 95% CI 1.32,3.58) and cardiovascular mortality (HR 2.33, 95% CI 0.91, 5.95) compared to unexposed women. Mortality rates among men were not different between exposure groups.</p><p><strong>Conclusion: </strong>This study showed that women, but not men, exposed to famine in early gestation had increased overall, cardiovascular and cancer mortality up to age 76. Although prenatal famine exposure affects adult health of both men and women, it seems to only lead to increased mortality among women.</p>\",\"PeriodicalId\":19698,\"journal\":{\"name\":\"Paediatric and perinatal epidemiology\",\"volume\":\" \",\"pages\":\"236-241\"},\"PeriodicalIF\":2.5000,\"publicationDate\":\"2025-03-01\",\"publicationTypes\":\"Journal Article\",\"fieldsOfStudy\":null,\"isOpenAccess\":false,\"openAccessPdf\":\"https://www.ncbi.nlm.nih.gov/pmc/articles/PMC11997240/pdf/\",\"citationCount\":\"0\",\"resultStr\":null,\"platform\":\"Semanticscholar\",\"paperid\":null,\"PeriodicalName\":\"Paediatric and perinatal epidemiology\",\"FirstCategoryId\":\"3\",\"ListUrlMain\":\"https://doi.org/10.1111/ppe.13131\",\"RegionNum\":3,\"RegionCategory\":\"医学\",\"ArticlePicture\":[],\"TitleCN\":null,\"AbstractTextCN\":null,\"PMCID\":null,\"EPubDate\":\"2024/10/1 0:00:00\",\"PubModel\":\"Epub\",\"JCR\":\"Q2\",\"JCRName\":\"OBSTETRICS & GYNECOLOGY\",\"Score\":null,\"Total\":0}","platform":"Semanticscholar","paperid":null,"PeriodicalName":"Paediatric and perinatal epidemiology","FirstCategoryId":"3","ListUrlMain":"https://doi.org/10.1111/ppe.13131","RegionNum":3,"RegionCategory":"医学","ArticlePicture":[],"TitleCN":null,"AbstractTextCN":null,"PMCID":null,"EPubDate":"2024/10/1 0:00:00","PubModel":"Epub","JCR":"Q2","JCRName":"OBSTETRICS & GYNECOLOGY","Score":null,"Total":0}
引用次数: 0

摘要

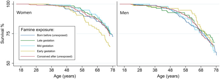
背景:我们以前曾研究表明,妊娠早期遭受饥荒与成年后健康状况较差有关,对女性而言,则与64岁前存活率降低有关:在此,我们分别探讨了男性和女性产前遭受饥荒与 76 岁以下死亡率之间的关系:我们研究了 1944-1945 年荷兰饥荒前后出生的足月单胎男性(n = 989)和女性(n = 1002)的成人死亡率(>18 岁)。我们使用 Cox 回归法比较了妊娠晚期、中期或早期遭受饥荒的男性和女性与未遭受饥荒者(饥荒前出生或饥荒后受孕)的总死亡率和特定原因死亡率:共有 500 人(25.1%)在 18 岁后死亡。与未受饥荒影响的妇女相比,妊娠早期受饥荒影响的妇女的总死亡率(HR 1.49,95% CI 1.00,2.23)、癌症死亡率(HR 2.17,95% CI 1.32,3.58)和心血管死亡率(HR 2.33,95% CI 0.91,5.95)较高。结论:这项研究表明,女性死亡率高于男性,而男性死亡率低于女性:这项研究表明,在妊娠早期暴露于饥荒的女性(而非男性)在76岁之前的总死亡率、心血管死亡率和癌症死亡率均有所上升。虽然产前接触饥荒会影响男性和女性的成年健康,但似乎只会导致女性死亡率上升。
本文章由计算机程序翻译,如有差异,请以英文原文为准。

Women exposed to famine in early gestation have increased mortality up to age 76 years.

Women exposed to famine in early gestation have increased mortality up to age 76 years.

Background: We have previously shown that exposure to famine in early gestation was associated with poorer adult health and, in women, with reduced survival up to age 64.

Objectives: Here, we explore the association between prenatal famine exposure and mortality up to age 76 for men and women separately.

Methods: We studied adult mortality (>18 years) in men (n = 989) and women (n = 1002) born as term singletons around the time of the 1944-1945 Dutch famine. We compared overall and cause-specific mortality among men and women exposed to famine in late, mid, or early gestation to that among unexposed persons (born before or conceived after the famine) using Cox regression.

Results: In total, 500 persons (25.1%) had died after age 18. Women exposed to famine in early gestation had higher overall (HR 1.49, 95% CI 1.00, 2.23), cancer (HR 2.17, 95% CI 1.32,3.58) and cardiovascular mortality (HR 2.33, 95% CI 0.91, 5.95) compared to unexposed women. Mortality rates among men were not different between exposure groups.

Conclusion: This study showed that women, but not men, exposed to famine in early gestation had increased overall, cardiovascular and cancer mortality up to age 76. Although prenatal famine exposure affects adult health of both men and women, it seems to only lead to increased mortality among women.

求助全文
通过发布文献求助,成功后即可免费获取论文全文。 去求助
来源期刊
CiteScore
5.40
自引率
7.10%
发文量
84
审稿时长
1 months
期刊介绍: Paediatric and Perinatal Epidemiology crosses the boundaries between the epidemiologist and the paediatrician, obstetrician or specialist in child health, ensuring that important paediatric and perinatal studies reach those clinicians for whom the results are especially relevant. In addition to original research articles, the Journal also includes commentaries, book reviews and annotations.
×
引用
GB/T 7714-2015
复制
MLA
复制
APA
复制
导出至
BibTeX EndNote RefMan NoteFirst NoteExpress
×
提示
您的信息不完整,为了账户安全,请先补充。
现在去补充
×
提示
您因"违规操作"
具体请查看互助需知
我知道了
×
提示
确定
请完成安全验证×
copy
已复制链接
快去分享给好友吧!
我知道了
右上角分享
点击右上角分享
0
联系我们:info@booksci.cn Book学术提供免费学术资源搜索服务,方便国内外学者检索中英文文献。致力于提供最便捷和优质的服务体验。 Copyright © 2023 布克学术 All rights reserved.
京ICP备2023020795号-1
ghs 京公网安备 11010802042870号
Book学术文献互助
Book学术文献互助群
群 号:604180095
Book学术官方微信