循环中 CXCR5+ 滤泡辅助 T 细胞比例升高反映了哮喘患者气道阻塞的存在。

IF 3.6 3区 医学 Q2 IMMUNOLOGY
Journal of Immunology Research Pub Date : 2024-09-19 eCollection Date: 2024-01-01 DOI:10.1155/2024/2020514
Tsukie Kin Tsukuda, Kimiko Tsuji, Akari Nishimori, Takehiko Ito, Yuka Kobayashi, Taro Suzuki, Akihito Yokoyama
{"title":"循环中 CXCR5+ 滤泡辅助 T 细胞比例升高反映了哮喘患者气道阻塞的存在。","authors":"Tsukie Kin Tsukuda, Kimiko Tsuji, Akari Nishimori, Takehiko Ito, Yuka Kobayashi, Taro Suzuki, Akihito Yokoyama","doi":"10.1155/2024/2020514","DOIUrl":null,"url":null,"abstract":"<p><strong>Materials and methods: </strong>Using flow cytometry, we identified and quantified Group 2 innate lymphocytes, T helper 2 cells, follicular helper T cells, and T helper 17 cells in peripheral blood samples from 49 individuals with asthma. We then conducted cross-sectional analyses to assess relationships between levels of these immune cells and lung function parameters, including the percentage predicted forced expiratory volume in 1 s (%FEV1). We also examined correlations between the proportions of immune cells and type 2 biomarkers.</p><p><strong>Results: </strong>Proportions of CXCR5<sup>+</sup> follicular helper T cells in human peripheral blood, as opposed to Group 2 innate lymphoid cells (ILC2) or T helper 2 cells, were significantly higher in cases with %FEV1 < 80% compared to those with %FEV1 ≥ 80%. Further, these proportions correlated negatively with %FEV1 and positively with blood eosinophil counts.</p><p><strong>Conclusions: </strong>The proportion of circulating follicular helper T cells, but not T helper 2 cells or Group 2 innate lymphoid cells, may reflect the presence of airway obstruction caused by persistent type 2 inflammation.</p>","PeriodicalId":15952,"journal":{"name":"Journal of Immunology Research","volume":"2024 ","pages":"2020514"},"PeriodicalIF":3.6000,"publicationDate":"2024-09-19","publicationTypes":"Journal Article","fieldsOfStudy":null,"isOpenAccess":false,"openAccessPdf":"https://www.ncbi.nlm.nih.gov/pmc/articles/PMC11427719/pdf/","citationCount":"0","resultStr":"{\"title\":\"Elevated Proportions of Circulating CXCR5<sup>+</sup> Follicular Helper T Cells Reflect the Presence of Airway Obstruction in Asthma.\",\"authors\":\"Tsukie Kin Tsukuda, Kimiko Tsuji, Akari Nishimori, Takehiko Ito, Yuka Kobayashi, Taro Suzuki, Akihito Yokoyama\",\"doi\":\"10.1155/2024/2020514\",\"DOIUrl\":null,\"url\":null,\"abstract\":\"<p><strong>Materials and methods: </strong>Using flow cytometry, we identified and quantified Group 2 innate lymphocytes, T helper 2 cells, follicular helper T cells, and T helper 17 cells in peripheral blood samples from 49 individuals with asthma. We then conducted cross-sectional analyses to assess relationships between levels of these immune cells and lung function parameters, including the percentage predicted forced expiratory volume in 1 s (%FEV1). We also examined correlations between the proportions of immune cells and type 2 biomarkers.</p><p><strong>Results: </strong>Proportions of CXCR5<sup>+</sup> follicular helper T cells in human peripheral blood, as opposed to Group 2 innate lymphoid cells (ILC2) or T helper 2 cells, were significantly higher in cases with %FEV1 < 80% compared to those with %FEV1 ≥ 80%. Further, these proportions correlated negatively with %FEV1 and positively with blood eosinophil counts.</p><p><strong>Conclusions: </strong>The proportion of circulating follicular helper T cells, but not T helper 2 cells or Group 2 innate lymphoid cells, may reflect the presence of airway obstruction caused by persistent type 2 inflammation.</p>\",\"PeriodicalId\":15952,\"journal\":{\"name\":\"Journal of Immunology Research\",\"volume\":\"2024 \",\"pages\":\"2020514\"},\"PeriodicalIF\":3.6000,\"publicationDate\":\"2024-09-19\",\"publicationTypes\":\"Journal Article\",\"fieldsOfStudy\":null,\"isOpenAccess\":false,\"openAccessPdf\":\"https://www.ncbi.nlm.nih.gov/pmc/articles/PMC11427719/pdf/\",\"citationCount\":\"0\",\"resultStr\":null,\"platform\":\"Semanticscholar\",\"paperid\":null,\"PeriodicalName\":\"Journal of Immunology Research\",\"FirstCategoryId\":\"3\",\"ListUrlMain\":\"https://doi.org/10.1155/2024/2020514\",\"RegionNum\":3,\"RegionCategory\":\"医学\",\"ArticlePicture\":[],\"TitleCN\":null,\"AbstractTextCN\":null,\"PMCID\":null,\"EPubDate\":\"2024/1/1 0:00:00\",\"PubModel\":\"eCollection\",\"JCR\":\"Q2\",\"JCRName\":\"IMMUNOLOGY\",\"Score\":null,\"Total\":0}","platform":"Semanticscholar","paperid":null,"PeriodicalName":"Journal of Immunology Research","FirstCategoryId":"3","ListUrlMain":"https://doi.org/10.1155/2024/2020514","RegionNum":3,"RegionCategory":"医学","ArticlePicture":[],"TitleCN":null,"AbstractTextCN":null,"PMCID":null,"EPubDate":"2024/1/1 0:00:00","PubModel":"eCollection","JCR":"Q2","JCRName":"IMMUNOLOGY","Score":null,"Total":0}
引用次数: 0

摘要

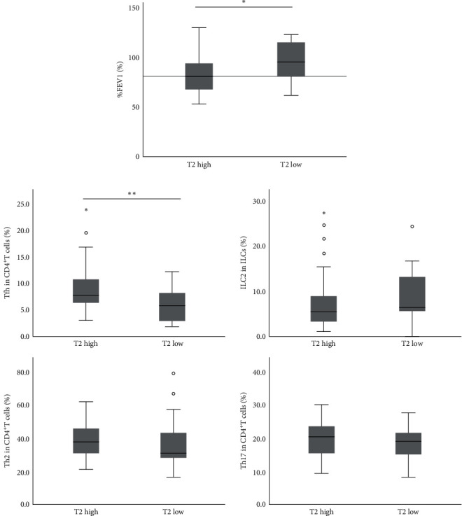
材料和方法:我们使用流式细胞术鉴定并量化了 49 名哮喘患者外周血样本中的第 2 组先天性淋巴细胞、T 辅助 2 细胞、滤泡辅助 T 细胞和 T 辅助 17 细胞。然后,我们进行了横断面分析,以评估这些免疫细胞的水平与肺功能参数(包括 1 秒内预测用力呼气容积百分比(%FEV1))之间的关系。我们还研究了免疫细胞比例与 2 型生物标志物之间的相关性:结果:外周血中 CXCR5+ 滤泡辅助性 T 细胞的比例,与第 2 组先天性淋巴细胞 (ILC2) 或 T 辅助细胞 2 的比例相比,在有 %FEV1 的病例中明显更高:循环中滤泡辅助性 T 细胞的比例,而非 T 辅助性 2 细胞或第 2 组先天性淋巴细胞的比例,可能反映出存在由持续性 2 型炎症引起的气道阻塞。
本文章由计算机程序翻译,如有差异,请以英文原文为准。

Elevated Proportions of Circulating CXCR5<sup>+</sup> Follicular Helper T Cells Reflect the Presence of Airway Obstruction in Asthma.

Elevated Proportions of Circulating CXCR5<sup>+</sup> Follicular Helper T Cells Reflect the Presence of Airway Obstruction in Asthma.

Elevated Proportions of Circulating CXCR5+ Follicular Helper T Cells Reflect the Presence of Airway Obstruction in Asthma.

Materials and methods: Using flow cytometry, we identified and quantified Group 2 innate lymphocytes, T helper 2 cells, follicular helper T cells, and T helper 17 cells in peripheral blood samples from 49 individuals with asthma. We then conducted cross-sectional analyses to assess relationships between levels of these immune cells and lung function parameters, including the percentage predicted forced expiratory volume in 1 s (%FEV1). We also examined correlations between the proportions of immune cells and type 2 biomarkers.

Results: Proportions of CXCR5+ follicular helper T cells in human peripheral blood, as opposed to Group 2 innate lymphoid cells (ILC2) or T helper 2 cells, were significantly higher in cases with %FEV1 < 80% compared to those with %FEV1 ≥ 80%. Further, these proportions correlated negatively with %FEV1 and positively with blood eosinophil counts.

Conclusions: The proportion of circulating follicular helper T cells, but not T helper 2 cells or Group 2 innate lymphoid cells, may reflect the presence of airway obstruction caused by persistent type 2 inflammation.

求助全文
通过发布文献求助,成功后即可免费获取论文全文。 去求助
来源期刊
CiteScore
6.90
自引率
2.40%
发文量
423
审稿时长
15 weeks
期刊介绍: Journal of Immunology Research is a peer-reviewed, Open Access journal that provides a platform for scientists and clinicians working in different areas of immunology and therapy. The journal publishes research articles, review articles, as well as clinical studies related to classical immunology, molecular immunology, clinical immunology, cancer immunology, transplantation immunology, immune pathology, immunodeficiency, autoimmune diseases, immune disorders, and immunotherapy.
×
引用
GB/T 7714-2015
复制
MLA
复制
APA
复制
导出至
BibTeX EndNote RefMan NoteFirst NoteExpress
×
提示
您的信息不完整,为了账户安全,请先补充。
现在去补充
×
提示
您因"违规操作"
具体请查看互助需知
我知道了
×
提示
确定
请完成安全验证×
copy
已复制链接
快去分享给好友吧!
我知道了
右上角分享
点击右上角分享
0
联系我们:info@booksci.cn Book学术提供免费学术资源搜索服务,方便国内外学者检索中英文文献。致力于提供最便捷和优质的服务体验。 Copyright © 2023 布克学术 All rights reserved.
京ICP备2023020795号-1
ghs 京公网安备 11010802042870号
Book学术文献互助
Book学术文献互助群
群 号:604180095
Book学术官方微信