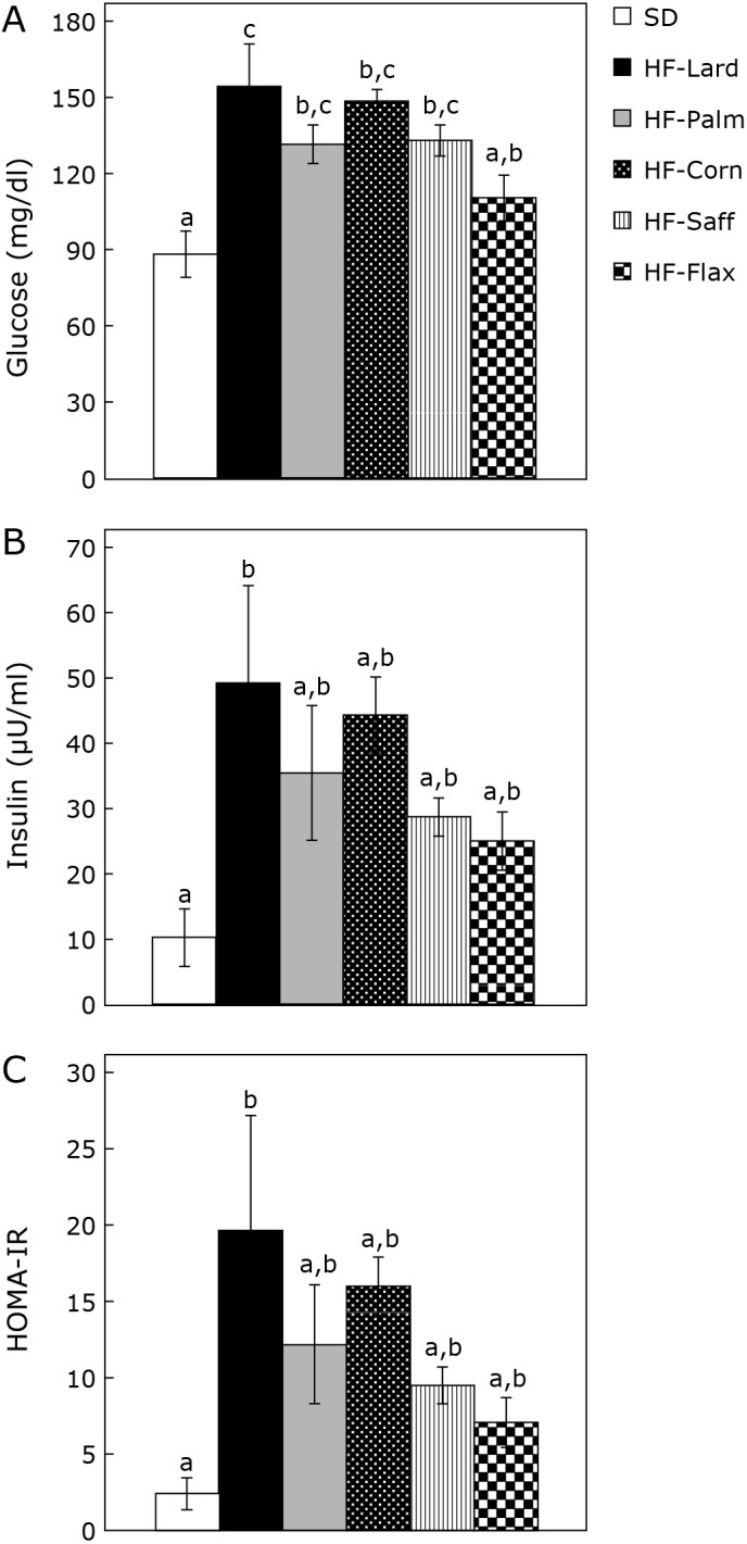
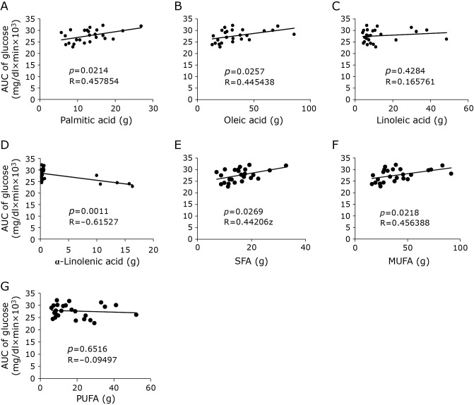
膳食亚麻籽油通过增加肌肉中的α-亚麻酸含量来抑制高血糖和高胰岛素血症。

IF 1.7 4区 医学 Q3 NUTRITION & DIETETICS
Journal of Clinical Biochemistry and Nutrition Pub Date : 2024-09-01 Epub Date: 2024-03-02 DOI:10.3164/jcbn.23-78
Midori Seike, Yasuko Makino, Yoko Yamashita, Hitoshi Ashida
{"title":"膳食亚麻籽油通过增加肌肉中的α-亚麻酸含量来抑制高血糖和高胰岛素血症。","authors":"Midori Seike, Yasuko Makino, Yoko Yamashita, Hitoshi Ashida","doi":"10.3164/jcbn.23-78","DOIUrl":null,"url":null,"abstract":"<p><p>Types of fats and oils affect the onset of lifestyle diseases. In this study, we investigated the relationship between the postprandial hyperglycemia and fatty acids content in the skeletal muscle of C57BL/6 mice given 20% lard, palm oil, corn oil, safflower oil, and flaxseed oil for 16 weeks. Lard increased plasma glucose and insulin levels at the end of feeding period, whereas flaxseed oil did not. It was noteworthy that there is a positive correlation between palmitic acid content in the muscle and postprandial hyperglycemia, and a negative correlation between α-linolenic acid content and hyperglycemia. Alternatively, mice were given 30% lard for 16 weeks. When lard was partially substituted with flaxseed oil (10-50% substitution), flaxseed oil dose-dependently prevented lard-induced hyperglycemia and hyperinsulinemia. In conclusion, flaxseed oil prevents the adverse effects of lard through increasing in α-linolenic acid content in the muscle.</p>","PeriodicalId":15429,"journal":{"name":"Journal of Clinical Biochemistry and Nutrition","volume":"75 2","pages":"133-144"},"PeriodicalIF":1.7000,"publicationDate":"2024-09-01","publicationTypes":"Journal Article","fieldsOfStudy":null,"isOpenAccess":false,"openAccessPdf":"https://www.ncbi.nlm.nih.gov/pmc/articles/PMC11425079/pdf/","citationCount":"0","resultStr":"{\"title\":\"Dietary flaxseed oil suppresses hyperglycemia and hyperinsulinemia through increasing in α-linolenic acid content in the muscle.\",\"authors\":\"Midori Seike, Yasuko Makino, Yoko Yamashita, Hitoshi Ashida\",\"doi\":\"10.3164/jcbn.23-78\",\"DOIUrl\":null,\"url\":null,\"abstract\":\"<p><p>Types of fats and oils affect the onset of lifestyle diseases. In this study, we investigated the relationship between the postprandial hyperglycemia and fatty acids content in the skeletal muscle of C57BL/6 mice given 20% lard, palm oil, corn oil, safflower oil, and flaxseed oil for 16 weeks. Lard increased plasma glucose and insulin levels at the end of feeding period, whereas flaxseed oil did not. It was noteworthy that there is a positive correlation between palmitic acid content in the muscle and postprandial hyperglycemia, and a negative correlation between α-linolenic acid content and hyperglycemia. Alternatively, mice were given 30% lard for 16 weeks. When lard was partially substituted with flaxseed oil (10-50% substitution), flaxseed oil dose-dependently prevented lard-induced hyperglycemia and hyperinsulinemia. In conclusion, flaxseed oil prevents the adverse effects of lard through increasing in α-linolenic acid content in the muscle.</p>\",\"PeriodicalId\":15429,\"journal\":{\"name\":\"Journal of Clinical Biochemistry and Nutrition\",\"volume\":\"75 2\",\"pages\":\"133-144\"},\"PeriodicalIF\":1.7000,\"publicationDate\":\"2024-09-01\",\"publicationTypes\":\"Journal Article\",\"fieldsOfStudy\":null,\"isOpenAccess\":false,\"openAccessPdf\":\"https://www.ncbi.nlm.nih.gov/pmc/articles/PMC11425079/pdf/\",\"citationCount\":\"0\",\"resultStr\":null,\"platform\":\"Semanticscholar\",\"paperid\":null,\"PeriodicalName\":\"Journal of Clinical Biochemistry and Nutrition\",\"FirstCategoryId\":\"3\",\"ListUrlMain\":\"https://doi.org/10.3164/jcbn.23-78\",\"RegionNum\":4,\"RegionCategory\":\"医学\",\"ArticlePicture\":[],\"TitleCN\":null,\"AbstractTextCN\":null,\"PMCID\":null,\"EPubDate\":\"2024/3/2 0:00:00\",\"PubModel\":\"Epub\",\"JCR\":\"Q3\",\"JCRName\":\"NUTRITION & DIETETICS\",\"Score\":null,\"Total\":0}","platform":"Semanticscholar","paperid":null,"PeriodicalName":"Journal of Clinical Biochemistry and Nutrition","FirstCategoryId":"3","ListUrlMain":"https://doi.org/10.3164/jcbn.23-78","RegionNum":4,"RegionCategory":"医学","ArticlePicture":[],"TitleCN":null,"AbstractTextCN":null,"PMCID":null,"EPubDate":"2024/3/2 0:00:00","PubModel":"Epub","JCR":"Q3","JCRName":"NUTRITION & DIETETICS","Score":null,"Total":0}
引用次数: 0

摘要

油脂的种类会影响生活方式疾病的发病。在这项研究中,我们调查了连续 16 周喂食 20% 猪油、棕榈油、玉米油、红花油和亚麻籽油的 C57BL/6 小鼠餐后高血糖与骨骼肌中脂肪酸含量之间的关系。喂食期结束时,猪油会增加血浆葡萄糖和胰岛素水平,而亚麻籽油不会。值得注意的是,肌肉中棕榈酸含量与餐后高血糖呈正相关,而α-亚麻酸含量与高血糖呈负相关。另外,给小鼠喂食 30% 的猪油长达 16 周。当亚麻籽油部分替代猪油(10-50%)时,亚麻籽油剂量依赖性地防止了猪油引起的高血糖和高胰岛素血症。总之,亚麻籽油通过增加肌肉中的α-亚麻酸含量来防止猪油的不良影响。
本文章由计算机程序翻译,如有差异,请以英文原文为准。

Dietary flaxseed oil suppresses hyperglycemia and hyperinsulinemia through increasing in α-linolenic acid content in the muscle.

Dietary flaxseed oil suppresses hyperglycemia and hyperinsulinemia through increasing in α-linolenic acid content in the muscle.

Dietary flaxseed oil suppresses hyperglycemia and hyperinsulinemia through increasing in α-linolenic acid content in the muscle.

Dietary flaxseed oil suppresses hyperglycemia and hyperinsulinemia through increasing in α-linolenic acid content in the muscle.

Types of fats and oils affect the onset of lifestyle diseases. In this study, we investigated the relationship between the postprandial hyperglycemia and fatty acids content in the skeletal muscle of C57BL/6 mice given 20% lard, palm oil, corn oil, safflower oil, and flaxseed oil for 16 weeks. Lard increased plasma glucose and insulin levels at the end of feeding period, whereas flaxseed oil did not. It was noteworthy that there is a positive correlation between palmitic acid content in the muscle and postprandial hyperglycemia, and a negative correlation between α-linolenic acid content and hyperglycemia. Alternatively, mice were given 30% lard for 16 weeks. When lard was partially substituted with flaxseed oil (10-50% substitution), flaxseed oil dose-dependently prevented lard-induced hyperglycemia and hyperinsulinemia. In conclusion, flaxseed oil prevents the adverse effects of lard through increasing in α-linolenic acid content in the muscle.

求助全文
通过发布文献求助,成功后即可免费获取论文全文。 去求助
来源期刊
CiteScore
4.30
自引率
8.30%
发文量
57
审稿时长
6-12 weeks
期刊介绍: Journal of Clinical Biochemistry and Nutrition (JCBN) is an international, interdisciplinary publication encompassing chemical, biochemical, physiological, pathological, toxicological and medical approaches to research on lipid peroxidation, free radicals, oxidative stress and nutrition. The Journal welcomes original contributions dealing with all aspects of clinical biochemistry and clinical nutrition including both in vitro and in vivo studies.
×
引用
GB/T 7714-2015
复制
MLA
复制
APA
复制
导出至
BibTeX EndNote RefMan NoteFirst NoteExpress
×
提示
您的信息不完整,为了账户安全,请先补充。
现在去补充
×
提示
您因"违规操作"
具体请查看互助需知
我知道了
×
提示
确定
请完成安全验证×
copy
已复制链接
快去分享给好友吧!
我知道了
右上角分享
点击右上角分享
0
联系我们:info@booksci.cn Book学术提供免费学术资源搜索服务,方便国内外学者检索中英文文献。致力于提供最便捷和优质的服务体验。 Copyright © 2023 布克学术 All rights reserved.
京ICP备2023020795号-1
ghs 京公网安备 11010802042870号
Book学术文献互助
Book学术文献互助群
群 号:604180095
Book学术官方微信