代谢综合征与肌肉骨骼状况之间的关系:NHANES 的一项横断面研究。

IF 2.3 4区 医学 Q3 ENDOCRINOLOGY & METABOLISM
International Journal of Endocrinology Pub Date : 2024-09-21 eCollection Date: 2024-01-01 DOI:10.1155/2024/7330133
Yue Shi, Shuhan Li, Xiaolong Xie, Yue Feng
{"title":"代谢综合征与肌肉骨骼状况之间的关系:NHANES 的一项横断面研究。","authors":"Yue Shi, Shuhan Li, Xiaolong Xie, Yue Feng","doi":"10.1155/2024/7330133","DOIUrl":null,"url":null,"abstract":"<p><strong>Objective: </strong>The metabolic effects of metabolic syndrome (MetS) on musculoskeletal metabolism are controversial. This study explored the effect of MetS on bone mineral density (BMD) and muscle quality index (MQI).</p><p><strong>Methods: </strong>Data from the NHANES database from 2011 to 2014 were extracted, and nonpregnant participants aged 45-59 years were included. The included data were first weighted by complex sampling, and then, the effect of MetS on BMD and MQI was analyzed using multifactorial linear regression. We then performed a stratified analysis by gender and BMI classification. Moreover, a mediation analysis of MetS on BMD was conducted, with MQI as a mediating variable. A propensity score matching analysis method with a complex sampling design was additionally performed to verify the stability of the results.</p><p><strong>Results: </strong>A total of 1943 participants were eventually included. After adjusting for covariates, the results of linear regression show that MetS is associated with elevated pelvic BMD (beta = 0.03; 95% CI = 0.01, 0.06; <i>P</i>=0.02) and reduced MQI, especially arm MQI (beta = -1.02; 95% CI = -1.27, -0.77; <i>P</i> < 0.0001). MetS is more associated with BMD in women, MQI in normal or heavyweight, and BMD in lightweight, according to stratified analysis. MQI explains the indirect effect of MetS on BMD (beta = 0.007; 95% CI = 0.003, 0.010).</p><p><strong>Conclusion: </strong>This study provides evidence that MetS elevates BMD and reduces MQI, and further, that there is a mediating effect of MQI on elevated BMD.</p>","PeriodicalId":13966,"journal":{"name":"International Journal of Endocrinology","volume":"2024 ","pages":"7330133"},"PeriodicalIF":2.3000,"publicationDate":"2024-09-21","publicationTypes":"Journal Article","fieldsOfStudy":null,"isOpenAccess":false,"openAccessPdf":"https://www.ncbi.nlm.nih.gov/pmc/articles/PMC11438510/pdf/","citationCount":"0","resultStr":"{\"title\":\"Association between Metabolic Syndrome and Musculoskeletal Status: A Cross-Sectional Study of NHANES.\",\"authors\":\"Yue Shi, Shuhan Li, Xiaolong Xie, Yue Feng\",\"doi\":\"10.1155/2024/7330133\",\"DOIUrl\":null,\"url\":null,\"abstract\":\"<p><strong>Objective: </strong>The metabolic effects of metabolic syndrome (MetS) on musculoskeletal metabolism are controversial. This study explored the effect of MetS on bone mineral density (BMD) and muscle quality index (MQI).</p><p><strong>Methods: </strong>Data from the NHANES database from 2011 to 2014 were extracted, and nonpregnant participants aged 45-59 years were included. The included data were first weighted by complex sampling, and then, the effect of MetS on BMD and MQI was analyzed using multifactorial linear regression. We then performed a stratified analysis by gender and BMI classification. Moreover, a mediation analysis of MetS on BMD was conducted, with MQI as a mediating variable. A propensity score matching analysis method with a complex sampling design was additionally performed to verify the stability of the results.</p><p><strong>Results: </strong>A total of 1943 participants were eventually included. After adjusting for covariates, the results of linear regression show that MetS is associated with elevated pelvic BMD (beta = 0.03; 95% CI = 0.01, 0.06; <i>P</i>=0.02) and reduced MQI, especially arm MQI (beta = -1.02; 95% CI = -1.27, -0.77; <i>P</i> < 0.0001). MetS is more associated with BMD in women, MQI in normal or heavyweight, and BMD in lightweight, according to stratified analysis. MQI explains the indirect effect of MetS on BMD (beta = 0.007; 95% CI = 0.003, 0.010).</p><p><strong>Conclusion: </strong>This study provides evidence that MetS elevates BMD and reduces MQI, and further, that there is a mediating effect of MQI on elevated BMD.</p>\",\"PeriodicalId\":13966,\"journal\":{\"name\":\"International Journal of Endocrinology\",\"volume\":\"2024 \",\"pages\":\"7330133\"},\"PeriodicalIF\":2.3000,\"publicationDate\":\"2024-09-21\",\"publicationTypes\":\"Journal Article\",\"fieldsOfStudy\":null,\"isOpenAccess\":false,\"openAccessPdf\":\"https://www.ncbi.nlm.nih.gov/pmc/articles/PMC11438510/pdf/\",\"citationCount\":\"0\",\"resultStr\":null,\"platform\":\"Semanticscholar\",\"paperid\":null,\"PeriodicalName\":\"International Journal of Endocrinology\",\"FirstCategoryId\":\"3\",\"ListUrlMain\":\"https://doi.org/10.1155/2024/7330133\",\"RegionNum\":4,\"RegionCategory\":\"医学\",\"ArticlePicture\":[],\"TitleCN\":null,\"AbstractTextCN\":null,\"PMCID\":null,\"EPubDate\":\"2024/1/1 0:00:00\",\"PubModel\":\"eCollection\",\"JCR\":\"Q3\",\"JCRName\":\"ENDOCRINOLOGY & METABOLISM\",\"Score\":null,\"Total\":0}","platform":"Semanticscholar","paperid":null,"PeriodicalName":"International Journal of Endocrinology","FirstCategoryId":"3","ListUrlMain":"https://doi.org/10.1155/2024/7330133","RegionNum":4,"RegionCategory":"医学","ArticlePicture":[],"TitleCN":null,"AbstractTextCN":null,"PMCID":null,"EPubDate":"2024/1/1 0:00:00","PubModel":"eCollection","JCR":"Q3","JCRName":"ENDOCRINOLOGY & METABOLISM","Score":null,"Total":0}
引用次数: 0

摘要

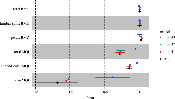
目的:代谢综合征(MetS)对肌肉骨骼代谢的影响尚存争议。本研究探讨了代谢综合征对骨矿物质密度(BMD)和肌肉质量指数(MQI)的影响:方法:从 2011 年至 2014 年的 NHANES 数据库中提取数据,纳入 45-59 岁的非怀孕参与者。首先对纳入的数据进行复合抽样加权,然后使用多因素线性回归分析 MetS 对 BMD 和 MQI 的影响。然后,我们按性别和体重指数分类进行了分层分析。此外,我们还以 MQI 为中介变量,进行了 MetS 对 BMD 的中介分析。此外,我们还采用了复杂抽样设计的倾向得分匹配分析方法,以验证结果的稳定性:最终共纳入 1943 名参与者。调整协变量后,线性回归结果显示,MetS 与骨盆 BMD 升高(beta = 0.03;95% CI = 0.01,0.06;P=0.02)和 MQI 降低有关,尤其是手臂 MQI(beta =-1.02;95% CI =-1.27,-0.77;P <0.0001)。根据分层分析,MetS 与女性的 BMD、正常体重或体重偏重者的 MQI 以及体重偏轻者的 BMD 关系更大。MQI解释了MetS对BMD的间接影响(β=0.007;95% CI = 0.003,0.010):本研究提供的证据表明,MetS 会升高 BMD 并降低 MQI,而且 MQI 对 BMD 升高有中介效应。
本文章由计算机程序翻译,如有差异,请以英文原文为准。

Association between Metabolic Syndrome and Musculoskeletal Status: A Cross-Sectional Study of NHANES.

Association between Metabolic Syndrome and Musculoskeletal Status: A Cross-Sectional Study of NHANES.

Association between Metabolic Syndrome and Musculoskeletal Status: A Cross-Sectional Study of NHANES.

Objective: The metabolic effects of metabolic syndrome (MetS) on musculoskeletal metabolism are controversial. This study explored the effect of MetS on bone mineral density (BMD) and muscle quality index (MQI).

Methods: Data from the NHANES database from 2011 to 2014 were extracted, and nonpregnant participants aged 45-59 years were included. The included data were first weighted by complex sampling, and then, the effect of MetS on BMD and MQI was analyzed using multifactorial linear regression. We then performed a stratified analysis by gender and BMI classification. Moreover, a mediation analysis of MetS on BMD was conducted, with MQI as a mediating variable. A propensity score matching analysis method with a complex sampling design was additionally performed to verify the stability of the results.

Results: A total of 1943 participants were eventually included. After adjusting for covariates, the results of linear regression show that MetS is associated with elevated pelvic BMD (beta = 0.03; 95% CI = 0.01, 0.06; P=0.02) and reduced MQI, especially arm MQI (beta = -1.02; 95% CI = -1.27, -0.77; P < 0.0001). MetS is more associated with BMD in women, MQI in normal or heavyweight, and BMD in lightweight, according to stratified analysis. MQI explains the indirect effect of MetS on BMD (beta = 0.007; 95% CI = 0.003, 0.010).

Conclusion: This study provides evidence that MetS elevates BMD and reduces MQI, and further, that there is a mediating effect of MQI on elevated BMD.

求助全文
通过发布文献求助,成功后即可免费获取论文全文。 去求助
来源期刊
International Journal of Endocrinology
International Journal of Endocrinology ENDOCRINOLOGY & METABOLISM-
CiteScore
5.20
自引率
0.00%
发文量
147
审稿时长
1 months
期刊介绍: International Journal of Endocrinology is a peer-reviewed, Open Access journal that provides a forum for scientists and clinicians working in basic and translational research. The journal publishes original research articles, review articles, and clinical studies that provide insights into the endocrine system and its associated diseases at a genomic, molecular, biochemical and cellular level.
×
引用
GB/T 7714-2015
复制
MLA
复制
APA
复制
导出至
BibTeX EndNote RefMan NoteFirst NoteExpress
×
提示
您的信息不完整,为了账户安全,请先补充。
现在去补充
×
提示
您因"违规操作"
具体请查看互助需知
我知道了
×
提示
确定
请完成安全验证×
copy
已复制链接
快去分享给好友吧!
我知道了
右上角分享
点击右上角分享
0
联系我们:info@booksci.cn Book学术提供免费学术资源搜索服务,方便国内外学者检索中英文文献。致力于提供最便捷和优质的服务体验。 Copyright © 2023 布克学术 All rights reserved.
京ICP备2023020795号-1
ghs 京公网安备 11010802042870号
Book学术文献互助
Book学术文献互助群
群 号:604180095
Book学术官方微信