瑞典延迟双侧白内障连续手术 (DSBCS) 的十年趋势:一项基于登记的研究。

IF 4 1区 医学 Q1 OPHTHALMOLOGY
Andreas Viberg, Tomas Bro, Anders Behndig, Maria Kugelberg, Madeleine Zetterberg, Ingela Nilsson, Mats Lundström
{"title":"瑞典延迟双侧白内障连续手术 (DSBCS) 的十年趋势:一项基于登记的研究。","authors":"Andreas Viberg, Tomas Bro, Anders Behndig, Maria Kugelberg, Madeleine Zetterberg, Ingela Nilsson, Mats Lundström","doi":"10.1186/s40662-024-00406-0","DOIUrl":null,"url":null,"abstract":"<p><strong>Purpose: </strong>To study the trend of delayed sequential bilateral cataract surgery (DSBCS) in Sweden in the past decade.</p><p><strong>Methods: </strong>This register-based cohort study utilized data from the Swedish National Cataract Register (NCR) from 2010 through 2019. Register files from patients who underwent cataract surgery in both eyes during the study period were linked using their social security numbers. Bilateral surgeries on different days were classified as DSBCS. The study investigated the association between DSBCS within 3 months and several variables with stratification and multivariate logistic regression. The following variables were used: operation year, region, private or public unit, age, sex, indication for surgery, type of intraocular lens (IOL), preoperative visual acuity, ocular comorbidity, posterior capsule rupture and perioperative difficulties.</p><p><strong>Results: </strong>During the study period, 368,106 patients underwent DSBCS, of which 62.6% (n = 230,331) had bilateral surgery within 3 months. The median time between the surgeries was 61 days (interquartile range 26-161 days), showing regional variations. Better visual acuity in the fellow eye, presence of ocular comorbidity, various perioperative events and complications were associated with longer time to surgery of the second eye. Conversely, cataract surgery in more recent years, private clinic, increasing age, anisometropia and multifocal IOL were associated with shorter timespan between surgeries.</p><p><strong>Conclusions: </strong>The majority of DSBCS were conducted within a 3-month timeframe, with the interval between surgeries decreasing throughout the study period. Several rational factors were associated with the time difference, in addition to regional variations. Many patients would probably benefit from less time between the surgeries, and we encourage a clinical practice taking the whole patient's visual function into account.</p>","PeriodicalId":12194,"journal":{"name":"Eye and Vision","volume":"11 1","pages":"39"},"PeriodicalIF":4.0000,"publicationDate":"2024-10-01","publicationTypes":"Journal Article","fieldsOfStudy":null,"isOpenAccess":false,"openAccessPdf":"https://www.ncbi.nlm.nih.gov/pmc/articles/PMC11443835/pdf/","citationCount":"0","resultStr":"{\"title\":\"Ten-year trends of delayed sequential bilateral cataract surgery (DSBCS) in Sweden: a register-based study.\",\"authors\":\"Andreas Viberg, Tomas Bro, Anders Behndig, Maria Kugelberg, Madeleine Zetterberg, Ingela Nilsson, Mats Lundström\",\"doi\":\"10.1186/s40662-024-00406-0\",\"DOIUrl\":null,\"url\":null,\"abstract\":\"<p><strong>Purpose: </strong>To study the trend of delayed sequential bilateral cataract surgery (DSBCS) in Sweden in the past decade.</p><p><strong>Methods: </strong>This register-based cohort study utilized data from the Swedish National Cataract Register (NCR) from 2010 through 2019. Register files from patients who underwent cataract surgery in both eyes during the study period were linked using their social security numbers. Bilateral surgeries on different days were classified as DSBCS. The study investigated the association between DSBCS within 3 months and several variables with stratification and multivariate logistic regression. The following variables were used: operation year, region, private or public unit, age, sex, indication for surgery, type of intraocular lens (IOL), preoperative visual acuity, ocular comorbidity, posterior capsule rupture and perioperative difficulties.</p><p><strong>Results: </strong>During the study period, 368,106 patients underwent DSBCS, of which 62.6% (n = 230,331) had bilateral surgery within 3 months. The median time between the surgeries was 61 days (interquartile range 26-161 days), showing regional variations. Better visual acuity in the fellow eye, presence of ocular comorbidity, various perioperative events and complications were associated with longer time to surgery of the second eye. Conversely, cataract surgery in more recent years, private clinic, increasing age, anisometropia and multifocal IOL were associated with shorter timespan between surgeries.</p><p><strong>Conclusions: </strong>The majority of DSBCS were conducted within a 3-month timeframe, with the interval between surgeries decreasing throughout the study period. Several rational factors were associated with the time difference, in addition to regional variations. Many patients would probably benefit from less time between the surgeries, and we encourage a clinical practice taking the whole patient's visual function into account.</p>\",\"PeriodicalId\":12194,\"journal\":{\"name\":\"Eye and Vision\",\"volume\":\"11 1\",\"pages\":\"39\"},\"PeriodicalIF\":4.0000,\"publicationDate\":\"2024-10-01\",\"publicationTypes\":\"Journal Article\",\"fieldsOfStudy\":null,\"isOpenAccess\":false,\"openAccessPdf\":\"https://www.ncbi.nlm.nih.gov/pmc/articles/PMC11443835/pdf/\",\"citationCount\":\"0\",\"resultStr\":null,\"platform\":\"Semanticscholar\",\"paperid\":null,\"PeriodicalName\":\"Eye and Vision\",\"FirstCategoryId\":\"3\",\"ListUrlMain\":\"https://doi.org/10.1186/s40662-024-00406-0\",\"RegionNum\":1,\"RegionCategory\":\"医学\",\"ArticlePicture\":[],\"TitleCN\":null,\"AbstractTextCN\":null,\"PMCID\":null,\"EPubDate\":\"\",\"PubModel\":\"\",\"JCR\":\"Q1\",\"JCRName\":\"OPHTHALMOLOGY\",\"Score\":null,\"Total\":0}","platform":"Semanticscholar","paperid":null,"PeriodicalName":"Eye and Vision","FirstCategoryId":"3","ListUrlMain":"https://doi.org/10.1186/s40662-024-00406-0","RegionNum":1,"RegionCategory":"医学","ArticlePicture":[],"TitleCN":null,"AbstractTextCN":null,"PMCID":null,"EPubDate":"","PubModel":"","JCR":"Q1","JCRName":"OPHTHALMOLOGY","Score":null,"Total":0}
引用次数: 0

摘要

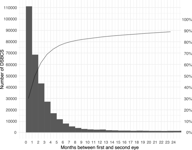
目的:研究过去十年瑞典双侧白内障延迟连续手术(DSBCS)的发展趋势:这项基于登记的队列研究利用了瑞典国家白内障登记处(NCR)2010 年至 2019 年的数据。在研究期间接受双眼白内障手术的患者的登记档案通过其社会保障号码进行了关联。不同日期的双侧手术被归类为 DSBCS。研究采用分层和多变量逻辑回归的方法调查了 3 个月内 DSBCS 与多个变量之间的关系。研究使用了以下变量:手术年份、地区、私立或公立单位、年龄、性别、手术指征、眼内人工晶体(IOL)类型、术前视力、眼部合并症、后囊破裂和围手术期困难:在研究期间,368 106 名患者接受了 DSBCS 手术,其中 62.6% 的患者(n = 230 331)在 3 个月内接受了双侧手术。手术间隔时间的中位数为 61 天(四分位数间距为 26-161 天),显示出地区差异。同侧眼视力较好、存在眼部合并症、各种围手术期事件和并发症与第二只眼手术时间较长有关。相反,近几年的白内障手术、私人诊所、年龄增长、异视和多焦点人工晶体与手术间隔时间较短有关:大多数 DSBCS 都是在 3 个月的时间内完成的,在整个研究期间,手术间隔时间在缩短。除地区差异外,时间差还与几个合理因素有关。许多患者可能会从缩短手术间隔时间中获益,我们鼓励临床实践将患者的整体视觉功能考虑在内。
本文章由计算机程序翻译,如有差异,请以英文原文为准。

Ten-year trends of delayed sequential bilateral cataract surgery (DSBCS) in Sweden: a register-based study.

Ten-year trends of delayed sequential bilateral cataract surgery (DSBCS) in Sweden: a register-based study.

Ten-year trends of delayed sequential bilateral cataract surgery (DSBCS) in Sweden: a register-based study.

Ten-year trends of delayed sequential bilateral cataract surgery (DSBCS) in Sweden: a register-based study.

Purpose: To study the trend of delayed sequential bilateral cataract surgery (DSBCS) in Sweden in the past decade.

Methods: This register-based cohort study utilized data from the Swedish National Cataract Register (NCR) from 2010 through 2019. Register files from patients who underwent cataract surgery in both eyes during the study period were linked using their social security numbers. Bilateral surgeries on different days were classified as DSBCS. The study investigated the association between DSBCS within 3 months and several variables with stratification and multivariate logistic regression. The following variables were used: operation year, region, private or public unit, age, sex, indication for surgery, type of intraocular lens (IOL), preoperative visual acuity, ocular comorbidity, posterior capsule rupture and perioperative difficulties.

Results: During the study period, 368,106 patients underwent DSBCS, of which 62.6% (n = 230,331) had bilateral surgery within 3 months. The median time between the surgeries was 61 days (interquartile range 26-161 days), showing regional variations. Better visual acuity in the fellow eye, presence of ocular comorbidity, various perioperative events and complications were associated with longer time to surgery of the second eye. Conversely, cataract surgery in more recent years, private clinic, increasing age, anisometropia and multifocal IOL were associated with shorter timespan between surgeries.

Conclusions: The majority of DSBCS were conducted within a 3-month timeframe, with the interval between surgeries decreasing throughout the study period. Several rational factors were associated with the time difference, in addition to regional variations. Many patients would probably benefit from less time between the surgeries, and we encourage a clinical practice taking the whole patient's visual function into account.

求助全文
通过发布文献求助,成功后即可免费获取论文全文。 去求助
来源期刊
Eye and Vision
Eye and Vision OPHTHALMOLOGY-
CiteScore
8.60
自引率
2.40%
发文量
89
审稿时长
15 weeks
期刊介绍: Eye and Vision is an open access, peer-reviewed journal for ophthalmologists and visual science specialists. It welcomes research articles, reviews, methodologies, commentaries, case reports, perspectives and short reports encompassing all aspects of eye and vision. Topics of interest include but are not limited to: current developments of theoretical, experimental and clinical investigations in ophthalmology, optometry and vision science which focus on novel and high-impact findings on central issues pertaining to biology, pathophysiology and etiology of eye diseases as well as advances in diagnostic techniques, surgical treatment, instrument updates, the latest drug findings, results of clinical trials and research findings. It aims to provide ophthalmologists and visual science specialists with the latest developments in theoretical, experimental and clinical investigations in eye and vision.
×
引用
GB/T 7714-2015
复制
MLA
复制
APA
复制
导出至
BibTeX EndNote RefMan NoteFirst NoteExpress
×
提示
您的信息不完整,为了账户安全,请先补充。
现在去补充
×
提示
您因"违规操作"
具体请查看互助需知
我知道了
×
提示
确定
请完成安全验证×
copy
已复制链接
快去分享给好友吧!
我知道了
右上角分享
点击右上角分享
0
联系我们:info@booksci.cn Book学术提供免费学术资源搜索服务,方便国内外学者检索中英文文献。致力于提供最便捷和优质的服务体验。 Copyright © 2023 布克学术 All rights reserved.
京ICP备2023020795号-1
ghs 京公网安备 11010802042870号
Book学术文献互助
Book学术文献互助群
群 号:604180095
Book学术官方微信