CDC25A、AURKB 和 TOP2A 基因的过度表达可能是 A 型乳腺癌的重要线索。

IF 1.7 Q4 ONCOLOGY
Murat Kaya, Asmaa Abuaisha, İlknur Süer, Melike Sultan Alptekin, Fahrünnisa Abanoz, Selman Emiroğlu, Şükrü Palanduz, Kıvanç Cefle, Şükrü Öztürk
{"title":"CDC25A、AURKB 和 TOP2A 基因的过度表达可能是 A 型乳腺癌的重要线索。","authors":"Murat Kaya, Asmaa Abuaisha, İlknur Süer, Melike Sultan Alptekin, Fahrünnisa Abanoz, Selman Emiroğlu, Şükrü Palanduz, Kıvanç Cefle, Şükrü Öztürk","doi":"10.4274/ejbh.galenos.2024.2024-4-3","DOIUrl":null,"url":null,"abstract":"<p><strong>Objective: </strong>Breast cancer (BC) is highly heterogeneous and one of the most common cancers. Luminal A (LUM A) is a subtype of BC with a better prognosis than other BC subtypes. The molecular mechanisms underlying the initiation and progression of the LUM A subtype are still unclear. Big data generated from microarray and sequencing systems can be re-analyzed, especially with the help of various <i>in silico</i> tools developed in recent years, and made applicable for <i>in vitro</i> and <i>in vivo</i> research. This work aimed to identify genes that may play a role in the progression of LUM A subtype of BC using both computational and laboratory-based methods.</p><p><strong>Materials and methods: </strong>Overlapping genes associated with BC were identified from the The Cancer Genome Atlas database, GSE233242, GSE100925 geodata sets, and the geneshot tool. The network functional analysis between overlapping genes was determined with STRING 12.0. Expression levels of overlapping genes in BC were investigated with the TNMplot (https://tnmplot.com/analysis/) <i>in silico</i> tool. The effect of overlapping genes on the overall survival of LUM A cancer patients was defined using the Kaplan-Meier plotter tool. Expressions of genes identified using bioinformatics data were investigated via quantitative real-time -polymerase chain reaction (qRT-PCR) in LUM A tumor and adjacent tissue samples. The data were evaluated using the t-test. Both the sensitivity and specificity of selected genes have been determined using the receiver operating characteristic curve.</p><p><strong>Results: </strong><i>In silico</i> investigation showed that eleven genes were possibly associated with BC. Among them <i>CDC25A, AURKB</i>, and <i>TOP2A</i> were considerably increased in LUM A samples according to qRT-PCR results. An overall survival analysis also showed that overexpression of these three genes could reduce the overall survival of LUM A patients.</p><p><strong>Conclusion: </strong>The genes <i>CDC25A, AURKB</i>, and <i>TOP2A</i> may play crucial functions in LUM A pathogenesis. Therapeutic strategies that diminish the expression of these connected genes may enhance the prognosis of LUM A patients.</p>","PeriodicalId":93996,"journal":{"name":"European journal of breast health","volume":"20 4","pages":"284-291"},"PeriodicalIF":1.7000,"publicationDate":"2024-09-26","publicationTypes":"Journal Article","fieldsOfStudy":null,"isOpenAccess":false,"openAccessPdf":"https://www.ncbi.nlm.nih.gov/pmc/articles/PMC11589183/pdf/","citationCount":"0","resultStr":"{\"title\":\"Overexpression of <i>CDC25A, AURKB</i>, and <i>TOP2A</i> Genes Could Be an Important Clue for Luminal A Breast Cancer.\",\"authors\":\"Murat Kaya, Asmaa Abuaisha, İlknur Süer, Melike Sultan Alptekin, Fahrünnisa Abanoz, Selman Emiroğlu, Şükrü Palanduz, Kıvanç Cefle, Şükrü Öztürk\",\"doi\":\"10.4274/ejbh.galenos.2024.2024-4-3\",\"DOIUrl\":null,\"url\":null,\"abstract\":\"<p><strong>Objective: </strong>Breast cancer (BC) is highly heterogeneous and one of the most common cancers. Luminal A (LUM A) is a subtype of BC with a better prognosis than other BC subtypes. The molecular mechanisms underlying the initiation and progression of the LUM A subtype are still unclear. Big data generated from microarray and sequencing systems can be re-analyzed, especially with the help of various <i>in silico</i> tools developed in recent years, and made applicable for <i>in vitro</i> and <i>in vivo</i> research. This work aimed to identify genes that may play a role in the progression of LUM A subtype of BC using both computational and laboratory-based methods.</p><p><strong>Materials and methods: </strong>Overlapping genes associated with BC were identified from the The Cancer Genome Atlas database, GSE233242, GSE100925 geodata sets, and the geneshot tool. The network functional analysis between overlapping genes was determined with STRING 12.0. Expression levels of overlapping genes in BC were investigated with the TNMplot (https://tnmplot.com/analysis/) <i>in silico</i> tool. The effect of overlapping genes on the overall survival of LUM A cancer patients was defined using the Kaplan-Meier plotter tool. Expressions of genes identified using bioinformatics data were investigated via quantitative real-time -polymerase chain reaction (qRT-PCR) in LUM A tumor and adjacent tissue samples. The data were evaluated using the t-test. Both the sensitivity and specificity of selected genes have been determined using the receiver operating characteristic curve.</p><p><strong>Results: </strong><i>In silico</i> investigation showed that eleven genes were possibly associated with BC. Among them <i>CDC25A, AURKB</i>, and <i>TOP2A</i> were considerably increased in LUM A samples according to qRT-PCR results. An overall survival analysis also showed that overexpression of these three genes could reduce the overall survival of LUM A patients.</p><p><strong>Conclusion: </strong>The genes <i>CDC25A, AURKB</i>, and <i>TOP2A</i> may play crucial functions in LUM A pathogenesis. Therapeutic strategies that diminish the expression of these connected genes may enhance the prognosis of LUM A patients.</p>\",\"PeriodicalId\":93996,\"journal\":{\"name\":\"European journal of breast health\",\"volume\":\"20 4\",\"pages\":\"284-291\"},\"PeriodicalIF\":1.7000,\"publicationDate\":\"2024-09-26\",\"publicationTypes\":\"Journal Article\",\"fieldsOfStudy\":null,\"isOpenAccess\":false,\"openAccessPdf\":\"https://www.ncbi.nlm.nih.gov/pmc/articles/PMC11589183/pdf/\",\"citationCount\":\"0\",\"resultStr\":null,\"platform\":\"Semanticscholar\",\"paperid\":null,\"PeriodicalName\":\"European journal of breast health\",\"FirstCategoryId\":\"1085\",\"ListUrlMain\":\"https://doi.org/10.4274/ejbh.galenos.2024.2024-4-3\",\"RegionNum\":0,\"RegionCategory\":null,\"ArticlePicture\":[],\"TitleCN\":null,\"AbstractTextCN\":null,\"PMCID\":null,\"EPubDate\":\"\",\"PubModel\":\"\",\"JCR\":\"Q4\",\"JCRName\":\"ONCOLOGY\",\"Score\":null,\"Total\":0}","platform":"Semanticscholar","paperid":null,"PeriodicalName":"European journal of breast health","FirstCategoryId":"1085","ListUrlMain":"https://doi.org/10.4274/ejbh.galenos.2024.2024-4-3","RegionNum":0,"RegionCategory":null,"ArticlePicture":[],"TitleCN":null,"AbstractTextCN":null,"PMCID":null,"EPubDate":"","PubModel":"","JCR":"Q4","JCRName":"ONCOLOGY","Score":null,"Total":0}
引用次数: 0

摘要

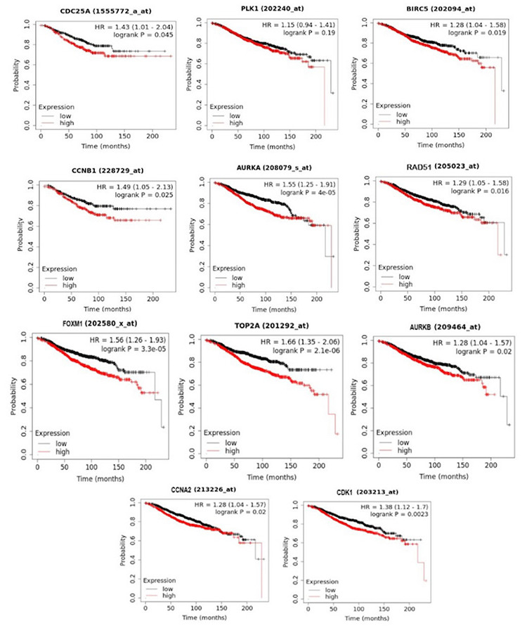
目的:乳腺癌(BC)具有高度异质性,是最常见的癌症之一。腔隙 A 型(LUM A)是乳腺癌的一种亚型,其预后优于其他亚型。LUM A亚型发病和进展的分子机制尚不清楚。微阵列和测序系统产生的大数据可以重新分析,特别是借助近年来开发的各种硅学工具,使其适用于体外和体内研究。这项工作旨在利用计算和实验室方法,找出可能在LUM A亚型BC进展过程中发挥作用的基因:从癌症基因组图谱数据库、GSE233242、GSE100925 地理数据集和 geneshot 工具中确定了与 BC 相关的重叠基因。重叠基因之间的网络功能分析由 STRING 12.0 确定。使用 TNMplot (https://tnmplot.com/analysis/) 硅工具研究了 BC 中重叠基因的表达水平。使用 Kaplan-Meier plotter 工具确定了重叠基因对 LUM A 癌症患者总生存期的影响。通过实时聚合酶链反应(qRT-PCR)对 LUM A 肿瘤和邻近组织样本中利用生物信息学数据确定的基因表达进行了研究。数据采用 t 检验进行评估。使用接收者操作特征曲线确定了所选基因的敏感性和特异性:硅学调查显示,有 11 个基因可能与乳腺癌有关。根据 qRT-PCR 结果,其中 CDC25A、AURKB 和 TOP2A 在 LUM A 样本中显著增加。总生存率分析也显示,这三个基因的过度表达会降低 LUM A 患者的总生存率:结论:CDC25A、AURKB和TOP2A基因可能在LUM A发病机制中发挥关键作用。结论:CDC25A、AURKB 和 TOP2A 基因可能在 LUM A 发病机制中发挥关键作用,减少这些相关基因表达的治疗策略可能会改善 LUM A 患者的预后。
本文章由计算机程序翻译,如有差异,请以英文原文为准。

Overexpression of <i>CDC25A, AURKB</i>, and <i>TOP2A</i> Genes Could Be an Important Clue for Luminal A Breast Cancer.

Overexpression of <i>CDC25A, AURKB</i>, and <i>TOP2A</i> Genes Could Be an Important Clue for Luminal A Breast Cancer.

Overexpression of <i>CDC25A, AURKB</i>, and <i>TOP2A</i> Genes Could Be an Important Clue for Luminal A Breast Cancer.

Overexpression of CDC25A, AURKB, and TOP2A Genes Could Be an Important Clue for Luminal A Breast Cancer.

Objective: Breast cancer (BC) is highly heterogeneous and one of the most common cancers. Luminal A (LUM A) is a subtype of BC with a better prognosis than other BC subtypes. The molecular mechanisms underlying the initiation and progression of the LUM A subtype are still unclear. Big data generated from microarray and sequencing systems can be re-analyzed, especially with the help of various in silico tools developed in recent years, and made applicable for in vitro and in vivo research. This work aimed to identify genes that may play a role in the progression of LUM A subtype of BC using both computational and laboratory-based methods.

Materials and methods: Overlapping genes associated with BC were identified from the The Cancer Genome Atlas database, GSE233242, GSE100925 geodata sets, and the geneshot tool. The network functional analysis between overlapping genes was determined with STRING 12.0. Expression levels of overlapping genes in BC were investigated with the TNMplot (https://tnmplot.com/analysis/) in silico tool. The effect of overlapping genes on the overall survival of LUM A cancer patients was defined using the Kaplan-Meier plotter tool. Expressions of genes identified using bioinformatics data were investigated via quantitative real-time -polymerase chain reaction (qRT-PCR) in LUM A tumor and adjacent tissue samples. The data were evaluated using the t-test. Both the sensitivity and specificity of selected genes have been determined using the receiver operating characteristic curve.

Results: In silico investigation showed that eleven genes were possibly associated with BC. Among them CDC25A, AURKB, and TOP2A were considerably increased in LUM A samples according to qRT-PCR results. An overall survival analysis also showed that overexpression of these three genes could reduce the overall survival of LUM A patients.

Conclusion: The genes CDC25A, AURKB, and TOP2A may play crucial functions in LUM A pathogenesis. Therapeutic strategies that diminish the expression of these connected genes may enhance the prognosis of LUM A patients.

求助全文
通过发布文献求助,成功后即可免费获取论文全文。 去求助
来源期刊
CiteScore
2.60
自引率
0.00%
发文量
0
×
引用
GB/T 7714-2015
复制
MLA
复制
APA
复制
导出至
BibTeX EndNote RefMan NoteFirst NoteExpress
×
提示
您的信息不完整,为了账户安全,请先补充。
现在去补充
×
提示
您因"违规操作"
具体请查看互助需知
我知道了
×
提示
确定
请完成安全验证×
copy
已复制链接
快去分享给好友吧!
我知道了
右上角分享
点击右上角分享
0
联系我们:info@booksci.cn Book学术提供免费学术资源搜索服务,方便国内外学者检索中英文文献。致力于提供最便捷和优质的服务体验。 Copyright © 2023 布克学术 All rights reserved.
京ICP备2023020795号-1
ghs 京公网安备 11010802042870号
Book学术文献互助
Book学术文献互助群
群 号:604180095
Book学术官方微信
小红书