心脏康复运动频率对冠心病患者运动能力的影响:一项回顾性研究。

IF 1.7 4区 医学 Q2 MEDICINE, GENERAL & INTERNAL
Libyan Journal of Medicine Pub Date : 2024-12-31 Epub Date: 2024-09-24 DOI:10.1080/19932820.2024.2406110
Javier Loureiro Diaz, Praveen Jayaprabha Surendran, Amine Ghram, Prasobh Jacob, Liam David Foster, Omar Ibrahim, Rajvir Singh, Mohammed Abdulla A A Al-Hashemi
{"title":"心脏康复运动频率对冠心病患者运动能力的影响:一项回顾性研究。","authors":"Javier Loureiro Diaz, Praveen Jayaprabha Surendran, Amine Ghram, Prasobh Jacob, Liam David Foster, Omar Ibrahim, Rajvir Singh, Mohammed Abdulla A A Al-Hashemi","doi":"10.1080/19932820.2024.2406110","DOIUrl":null,"url":null,"abstract":"<p><p>Cardiac rehabilitation (CR) significantly improves cardiovascular outcomes in patients with coronary artery disease (CAD). International guidelines vary in the minimum recommended frequency of supervised exercise from 1 to 3 sessions per week. This is the first study in the Middle East and North African regions assessing the impact of 2 versus 3 days/week of supervised exercise on peak exercise capacity in patients with CAD. Single-center retrospective cohort study involving 362 patients enrolled in the only CR center in the State of Qatar. Only high-quality data was included by strict evaluation of compliance to the exercise intervention. Fifty patients who underwent a symptom-limited exercise test before and after CR were included (31 patients on 2 days/week, 19 on 3 days/week). No significant differences were observed in baseline characteristics between groups. Exercise intervention differed significantly between groups in exercise training frequency (2 days/week: 1.97 ± 0.2 vs. 3 days/week: 2.7 ± 0.3; <i>p</i> < 0.00). Peak exercise capacity as peak metabolic equivalents of task (MET) significantly increased in both groups (2 days/week: Pre 8.3 ± 2.4 vs. Post 9.4 ± 2.9, p-value 0.00; 3 days/week: Pre 7.4 ± 1.6 vs. Post 8.4 ± 2.0, p-value 0.00). No significant difference was observed between groups for change in Peak Exercise Capacity (2 days/week 1.1 ± 1.1 vs. 3 days/week 1.0 ± 0.9, <i>p</i> = 0.87). When the total number of exercise sessions is equal, supervised exercise frequencies of 2 and 3 days/week may significantly and equally improve peak exercise capacity in patients with CAD.</p>","PeriodicalId":49910,"journal":{"name":"Libyan Journal of Medicine","volume":"19 1","pages":"2406110"},"PeriodicalIF":1.7000,"publicationDate":"2024-12-31","publicationTypes":"Journal Article","fieldsOfStudy":null,"isOpenAccess":false,"openAccessPdf":"https://www.ncbi.nlm.nih.gov/pmc/articles/PMC11425695/pdf/","citationCount":"0","resultStr":"{\"title\":\"Impact of cardiac rehabilitation exercise frequency on exercise capacity in patients with coronary artery disease: a retrospective study.\",\"authors\":\"Javier Loureiro Diaz, Praveen Jayaprabha Surendran, Amine Ghram, Prasobh Jacob, Liam David Foster, Omar Ibrahim, Rajvir Singh, Mohammed Abdulla A A Al-Hashemi\",\"doi\":\"10.1080/19932820.2024.2406110\",\"DOIUrl\":null,\"url\":null,\"abstract\":\"<p><p>Cardiac rehabilitation (CR) significantly improves cardiovascular outcomes in patients with coronary artery disease (CAD). International guidelines vary in the minimum recommended frequency of supervised exercise from 1 to 3 sessions per week. This is the first study in the Middle East and North African regions assessing the impact of 2 versus 3 days/week of supervised exercise on peak exercise capacity in patients with CAD. Single-center retrospective cohort study involving 362 patients enrolled in the only CR center in the State of Qatar. Only high-quality data was included by strict evaluation of compliance to the exercise intervention. Fifty patients who underwent a symptom-limited exercise test before and after CR were included (31 patients on 2 days/week, 19 on 3 days/week). No significant differences were observed in baseline characteristics between groups. Exercise intervention differed significantly between groups in exercise training frequency (2 days/week: 1.97 ± 0.2 vs. 3 days/week: 2.7 ± 0.3; <i>p</i> < 0.00). Peak exercise capacity as peak metabolic equivalents of task (MET) significantly increased in both groups (2 days/week: Pre 8.3 ± 2.4 vs. Post 9.4 ± 2.9, p-value 0.00; 3 days/week: Pre 7.4 ± 1.6 vs. Post 8.4 ± 2.0, p-value 0.00). No significant difference was observed between groups for change in Peak Exercise Capacity (2 days/week 1.1 ± 1.1 vs. 3 days/week 1.0 ± 0.9, <i>p</i> = 0.87). When the total number of exercise sessions is equal, supervised exercise frequencies of 2 and 3 days/week may significantly and equally improve peak exercise capacity in patients with CAD.</p>\",\"PeriodicalId\":49910,\"journal\":{\"name\":\"Libyan Journal of Medicine\",\"volume\":\"19 1\",\"pages\":\"2406110\"},\"PeriodicalIF\":1.7000,\"publicationDate\":\"2024-12-31\",\"publicationTypes\":\"Journal Article\",\"fieldsOfStudy\":null,\"isOpenAccess\":false,\"openAccessPdf\":\"https://www.ncbi.nlm.nih.gov/pmc/articles/PMC11425695/pdf/\",\"citationCount\":\"0\",\"resultStr\":null,\"platform\":\"Semanticscholar\",\"paperid\":null,\"PeriodicalName\":\"Libyan Journal of Medicine\",\"FirstCategoryId\":\"3\",\"ListUrlMain\":\"https://doi.org/10.1080/19932820.2024.2406110\",\"RegionNum\":4,\"RegionCategory\":\"医学\",\"ArticlePicture\":[],\"TitleCN\":null,\"AbstractTextCN\":null,\"PMCID\":null,\"EPubDate\":\"2024/9/24 0:00:00\",\"PubModel\":\"Epub\",\"JCR\":\"Q2\",\"JCRName\":\"MEDICINE, GENERAL & INTERNAL\",\"Score\":null,\"Total\":0}","platform":"Semanticscholar","paperid":null,"PeriodicalName":"Libyan Journal of Medicine","FirstCategoryId":"3","ListUrlMain":"https://doi.org/10.1080/19932820.2024.2406110","RegionNum":4,"RegionCategory":"医学","ArticlePicture":[],"TitleCN":null,"AbstractTextCN":null,"PMCID":null,"EPubDate":"2024/9/24 0:00:00","PubModel":"Epub","JCR":"Q2","JCRName":"MEDICINE, GENERAL & INTERNAL","Score":null,"Total":0}
引用次数: 0

摘要

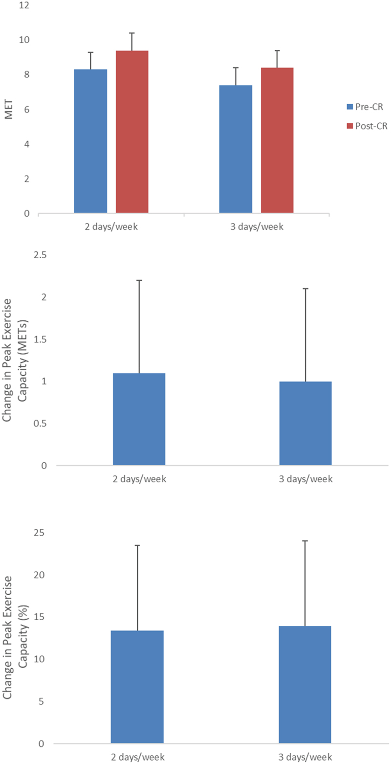
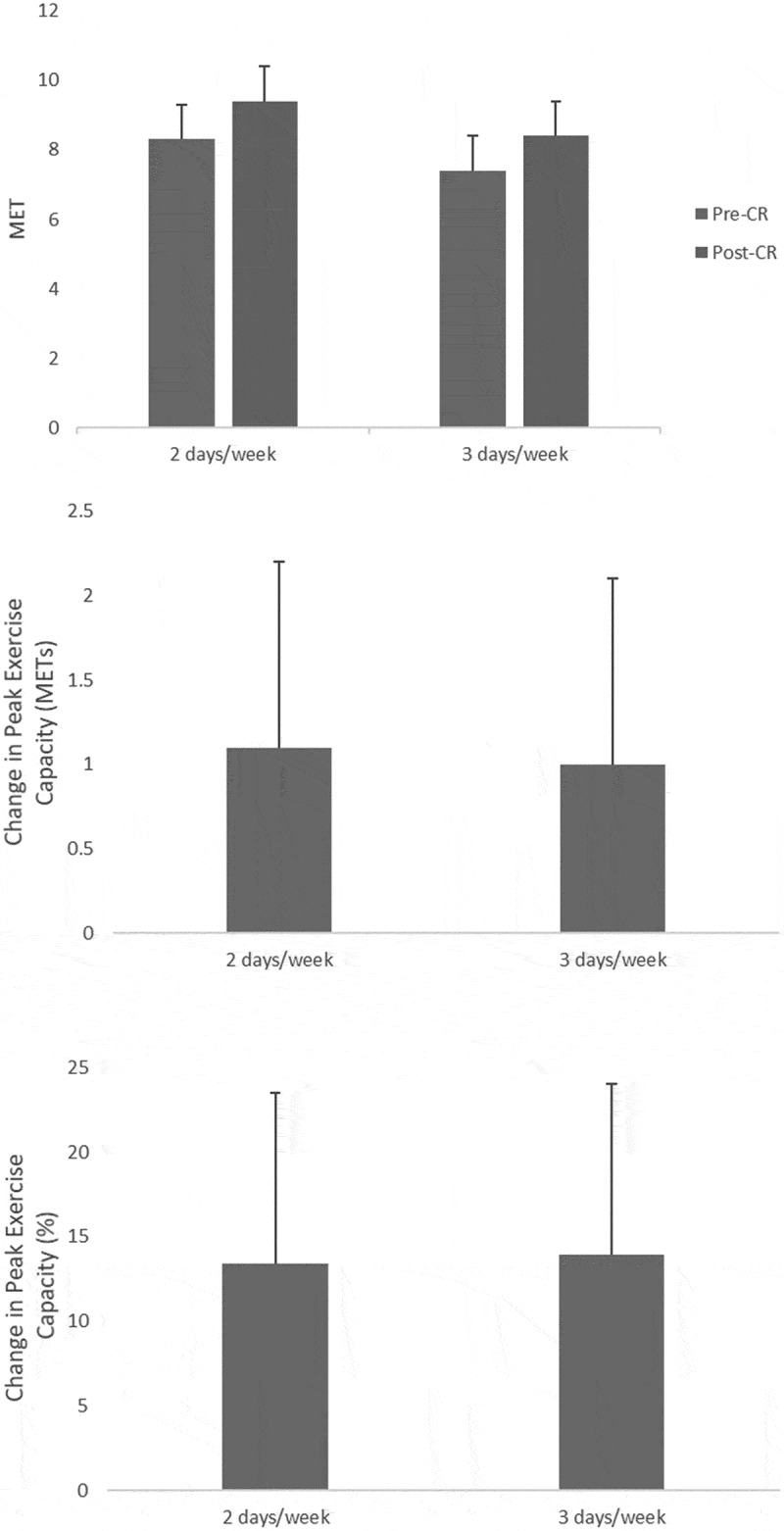
心脏康复(CR)可明显改善冠状动脉疾病(CAD)患者的心血管预后。国际指南推荐的最低运动频率各不相同,从每周 1 次到 3 次不等。这是中东和北非地区的第一项研究,旨在评估每周 2 天与 3 天的指导锻炼对冠心病患者峰值运动能力的影响。这项单中心回顾性队列研究涉及卡塔尔国唯一一家 CR 中心的 362 名患者。通过严格评估运动干预的依从性,只纳入了高质量的数据。研究纳入了 50 名在 CR 之前和 CR 之后接受过症状限制性运动测试的患者(31 名患者每周 2 天,19 名患者每周 3 天)。各组间的基线特征无明显差异。运动干预组之间在运动训练频率上存在显著差异(2 天/周:1.97 ± 0.2 vs. 3 天/周:2.7 ± 0.3;P = 0.87)。当运动总次数相同时,每周 2 天和 3 天的监督运动频率可显著提高 CAD 患者的峰值运动能力。
本文章由计算机程序翻译,如有差异,请以英文原文为准。

Impact of cardiac rehabilitation exercise frequency on exercise capacity in patients with coronary artery disease: a retrospective study.

Impact of cardiac rehabilitation exercise frequency on exercise capacity in patients with coronary artery disease: a retrospective study.

Impact of cardiac rehabilitation exercise frequency on exercise capacity in patients with coronary artery disease: a retrospective study.

Impact of cardiac rehabilitation exercise frequency on exercise capacity in patients with coronary artery disease: a retrospective study.

Cardiac rehabilitation (CR) significantly improves cardiovascular outcomes in patients with coronary artery disease (CAD). International guidelines vary in the minimum recommended frequency of supervised exercise from 1 to 3 sessions per week. This is the first study in the Middle East and North African regions assessing the impact of 2 versus 3 days/week of supervised exercise on peak exercise capacity in patients with CAD. Single-center retrospective cohort study involving 362 patients enrolled in the only CR center in the State of Qatar. Only high-quality data was included by strict evaluation of compliance to the exercise intervention. Fifty patients who underwent a symptom-limited exercise test before and after CR were included (31 patients on 2 days/week, 19 on 3 days/week). No significant differences were observed in baseline characteristics between groups. Exercise intervention differed significantly between groups in exercise training frequency (2 days/week: 1.97 ± 0.2 vs. 3 days/week: 2.7 ± 0.3; p < 0.00). Peak exercise capacity as peak metabolic equivalents of task (MET) significantly increased in both groups (2 days/week: Pre 8.3 ± 2.4 vs. Post 9.4 ± 2.9, p-value 0.00; 3 days/week: Pre 7.4 ± 1.6 vs. Post 8.4 ± 2.0, p-value 0.00). No significant difference was observed between groups for change in Peak Exercise Capacity (2 days/week 1.1 ± 1.1 vs. 3 days/week 1.0 ± 0.9, p = 0.87). When the total number of exercise sessions is equal, supervised exercise frequencies of 2 and 3 days/week may significantly and equally improve peak exercise capacity in patients with CAD.

求助全文
通过发布文献求助,成功后即可免费获取论文全文。 去求助
来源期刊
Libyan Journal of Medicine
Libyan Journal of Medicine MEDICINE, GENERAL & INTERNAL-
CiteScore
3.50
自引率
4.20%
发文量
20
审稿时长
>12 weeks
期刊介绍: Libyan Journal of Medicine (LJM) is a peer-reviewed, Open Access, international medical journal aiming to promote heath and health education by publishing high-quality medical research in the different disciplines of medicine. LJM was founded in 2006 by a group of enthusiastic Libyan medical scientists who looked at the contribution of Libyan publications to the international medical literature and saw that a publication outlet was missing. To fill this gap they launched LJM as a tool for transferring current medical knowledge to and from colleagues in developing countries, particularly African countries, as well as internationally.The journal is still led by a group of Libyan physicians inside and outside Libya, but it also enjoys support and recognition from the international medical community.
×
引用
GB/T 7714-2015
复制
MLA
复制
APA
复制
导出至
BibTeX EndNote RefMan NoteFirst NoteExpress
×
提示
您的信息不完整,为了账户安全,请先补充。
现在去补充
×
提示
您因"违规操作"
具体请查看互助需知
我知道了
×
提示
确定
请完成安全验证×
copy
已复制链接
快去分享给好友吧!
我知道了
右上角分享
点击右上角分享
0
联系我们:info@booksci.cn Book学术提供免费学术资源搜索服务,方便国内外学者检索中英文文献。致力于提供最便捷和优质的服务体验。 Copyright © 2023 布克学术 All rights reserved.
京ICP备2023020795号-1
ghs 京公网安备 11010802042870号
Book学术文献互助
Book学术文献互助群
群 号:604180095
Book学术官方微信