探索近红外光谱和高光谱成像作为厌氧肠道真菌的新型表征方法。

IF 4
FEMS microbes Pub Date : 2024-09-10 eCollection Date: 2024-01-01 DOI:10.1093/femsmc/xtae025
Markus Neurauter, Julia M Vinzelj, Sophia F A Strobl, Christoph Kappacher, Tobias Schlappack, Jovan Badzoka, Matthias Rainer, Christian W Huck, Sabine M Podmirseg
{"title":"探索近红外光谱和高光谱成像作为厌氧肠道真菌的新型表征方法。","authors":"Markus Neurauter, Julia M Vinzelj, Sophia F A Strobl, Christoph Kappacher, Tobias Schlappack, Jovan Badzoka, Matthias Rainer, Christian W Huck, Sabine M Podmirseg","doi":"10.1093/femsmc/xtae025","DOIUrl":null,"url":null,"abstract":"<p><p>Neocallimastigomycota are a phylum of anaerobic gut fungi (AGF) that inhabit the gastrointestinal tract of herbivores and play a pivotal role in plant matter degradation. Their identification and characterization with marker gene regions has long been hampered due to the high inter- and intraspecies length variability in the commonly used fungal marker gene region internal transcribed spacer (ITS). While recent research has improved methodology (i.e. switch to LSU D2 as marker region), molecular methods will always introduce bias through nucleic acid extraction or PCR amplification. Here, near-infrared spectroscopy (NIRS) and hyperspectral imaging (HSI) are introduced as two nucleic acid sequence-independent tools for the characterization and identification of AGF strains. We present a proof-of-concept for both, achieving an independent prediction accuracy of above 95% for models based on discriminant analysis trained with samples of three different genera. We further demonstrated the robustness of the NIRS model by testing it on cultures of different growth times. Overall, NIRS provides a simple, reliable, and nondestructive approach for AGF classification, independent of molecular approaches. The HSI method provides further advantages by requiring less biomass and adding spatial information, a valuable feature if this method is extended to mixed cultures or environmental samples in the future.</p>","PeriodicalId":73024,"journal":{"name":"FEMS microbes","volume":"5 ","pages":"xtae025"},"PeriodicalIF":4.0000,"publicationDate":"2024-09-10","publicationTypes":"Journal Article","fieldsOfStudy":null,"isOpenAccess":false,"openAccessPdf":"https://www.ncbi.nlm.nih.gov/pmc/articles/PMC11412074/pdf/","citationCount":"0","resultStr":"{\"title\":\"Exploring near-infrared spectroscopy and hyperspectral imaging as novel characterization methods for anaerobic gut fungi.\",\"authors\":\"Markus Neurauter, Julia M Vinzelj, Sophia F A Strobl, Christoph Kappacher, Tobias Schlappack, Jovan Badzoka, Matthias Rainer, Christian W Huck, Sabine M Podmirseg\",\"doi\":\"10.1093/femsmc/xtae025\",\"DOIUrl\":null,\"url\":null,\"abstract\":\"<p><p>Neocallimastigomycota are a phylum of anaerobic gut fungi (AGF) that inhabit the gastrointestinal tract of herbivores and play a pivotal role in plant matter degradation. Their identification and characterization with marker gene regions has long been hampered due to the high inter- and intraspecies length variability in the commonly used fungal marker gene region internal transcribed spacer (ITS). While recent research has improved methodology (i.e. switch to LSU D2 as marker region), molecular methods will always introduce bias through nucleic acid extraction or PCR amplification. Here, near-infrared spectroscopy (NIRS) and hyperspectral imaging (HSI) are introduced as two nucleic acid sequence-independent tools for the characterization and identification of AGF strains. We present a proof-of-concept for both, achieving an independent prediction accuracy of above 95% for models based on discriminant analysis trained with samples of three different genera. We further demonstrated the robustness of the NIRS model by testing it on cultures of different growth times. Overall, NIRS provides a simple, reliable, and nondestructive approach for AGF classification, independent of molecular approaches. The HSI method provides further advantages by requiring less biomass and adding spatial information, a valuable feature if this method is extended to mixed cultures or environmental samples in the future.</p>\",\"PeriodicalId\":73024,\"journal\":{\"name\":\"FEMS microbes\",\"volume\":\"5 \",\"pages\":\"xtae025\"},\"PeriodicalIF\":4.0000,\"publicationDate\":\"2024-09-10\",\"publicationTypes\":\"Journal Article\",\"fieldsOfStudy\":null,\"isOpenAccess\":false,\"openAccessPdf\":\"https://www.ncbi.nlm.nih.gov/pmc/articles/PMC11412074/pdf/\",\"citationCount\":\"0\",\"resultStr\":null,\"platform\":\"Semanticscholar\",\"paperid\":null,\"PeriodicalName\":\"FEMS microbes\",\"FirstCategoryId\":\"1085\",\"ListUrlMain\":\"https://doi.org/10.1093/femsmc/xtae025\",\"RegionNum\":0,\"RegionCategory\":null,\"ArticlePicture\":[],\"TitleCN\":null,\"AbstractTextCN\":null,\"PMCID\":null,\"EPubDate\":\"2024/1/1 0:00:00\",\"PubModel\":\"eCollection\",\"JCR\":\"\",\"JCRName\":\"\",\"Score\":null,\"Total\":0}","platform":"Semanticscholar","paperid":null,"PeriodicalName":"FEMS microbes","FirstCategoryId":"1085","ListUrlMain":"https://doi.org/10.1093/femsmc/xtae025","RegionNum":0,"RegionCategory":null,"ArticlePicture":[],"TitleCN":null,"AbstractTextCN":null,"PMCID":null,"EPubDate":"2024/1/1 0:00:00","PubModel":"eCollection","JCR":"","JCRName":"","Score":null,"Total":0}
引用次数: 0

摘要

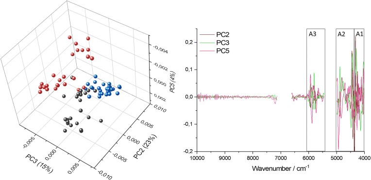
新嗜水气真菌门(Neocallimastigomycota)是厌氧肠道真菌(AGF)的一个门类,栖息在食草动物的胃肠道中,在植物物质降解过程中发挥着关键作用。由于常用的真菌标记基因区域内部转录间隔区(ITS)的种间和种内长度变异很大,长期以来一直无法利用标记基因区域对它们进行鉴定和表征。虽然最近的研究改进了方法(如改用 LSU D2 作为标记区域),但分子方法总会通过核酸提取或 PCR 扩增引入偏差。本文介绍了近红外光谱(NIRS)和高光谱成像(HSI)这两种独立于核酸序列的工具,用于表征和鉴定 AGF 菌株。我们对这两种方法进行了概念验证,基于用三个不同属的样本训练的判别分析模型的独立预测准确率达到 95% 以上。通过对不同生长时间的培养物进行测试,我们进一步证明了 NIRS 模型的稳健性。总之,近红外光谱技术为 AGF 分类提供了一种简单、可靠和无损的方法,与分子方法无关。HSI 方法还具有更多优势,它对生物量的要求更低,并增加了空间信息,如果该方法将来扩展到混合培养物或环境样本,这是一个非常有价值的特点。
本文章由计算机程序翻译,如有差异,请以英文原文为准。

Exploring near-infrared spectroscopy and hyperspectral imaging as novel characterization methods for anaerobic gut fungi.

Exploring near-infrared spectroscopy and hyperspectral imaging as novel characterization methods for anaerobic gut fungi.

Exploring near-infrared spectroscopy and hyperspectral imaging as novel characterization methods for anaerobic gut fungi.

Exploring near-infrared spectroscopy and hyperspectral imaging as novel characterization methods for anaerobic gut fungi.

Neocallimastigomycota are a phylum of anaerobic gut fungi (AGF) that inhabit the gastrointestinal tract of herbivores and play a pivotal role in plant matter degradation. Their identification and characterization with marker gene regions has long been hampered due to the high inter- and intraspecies length variability in the commonly used fungal marker gene region internal transcribed spacer (ITS). While recent research has improved methodology (i.e. switch to LSU D2 as marker region), molecular methods will always introduce bias through nucleic acid extraction or PCR amplification. Here, near-infrared spectroscopy (NIRS) and hyperspectral imaging (HSI) are introduced as two nucleic acid sequence-independent tools for the characterization and identification of AGF strains. We present a proof-of-concept for both, achieving an independent prediction accuracy of above 95% for models based on discriminant analysis trained with samples of three different genera. We further demonstrated the robustness of the NIRS model by testing it on cultures of different growth times. Overall, NIRS provides a simple, reliable, and nondestructive approach for AGF classification, independent of molecular approaches. The HSI method provides further advantages by requiring less biomass and adding spatial information, a valuable feature if this method is extended to mixed cultures or environmental samples in the future.

求助全文
通过发布文献求助,成功后即可免费获取论文全文。 去求助
来源期刊
CiteScore
3.30
自引率
0.00%
发文量
0
审稿时长
15 weeks
×
引用
GB/T 7714-2015
复制
MLA
复制
APA
复制
导出至
BibTeX EndNote RefMan NoteFirst NoteExpress
×
提示
您的信息不完整,为了账户安全,请先补充。
现在去补充
×
提示
您因"违规操作"
具体请查看互助需知
我知道了
×
提示
确定
请完成安全验证×
copy
已复制链接
快去分享给好友吧!
我知道了
右上角分享
点击右上角分享
0
联系我们:info@booksci.cn Book学术提供免费学术资源搜索服务,方便国内外学者检索中英文文献。致力于提供最便捷和优质的服务体验。 Copyright © 2023 布克学术 All rights reserved.
京ICP备2023020795号-1
ghs 京公网安备 11010802042870号
Book学术文献互助
Book学术文献互助群
群 号:604180095
Book学术官方微信