大豆生物量的高通量表型:利用无人机遥感和深度学习模型进行传统性状估计和新颖的潜在特征提取。

IF 6.4 1区 农林科学 Q1 AGRONOMY
Plant Phenomics Pub Date : 2024-09-09 eCollection Date: 2024-01-01 DOI:10.34133/plantphenomics.0244
Mashiro Okada, Clément Barras, Yusuke Toda, Kosuke Hamazaki, Yoshihiro Ohmori, Yuji Yamasaki, Hirokazu Takahashi, Hideki Takanashi, Mai Tsuda, Masami Yokota Hirai, Hisashi Tsujimoto, Akito Kaga, Mikio Nakazono, Toru Fujiwara, Hiroyoshi Iwata
{"title":"大豆生物量的高通量表型:利用无人机遥感和深度学习模型进行传统性状估计和新颖的潜在特征提取。","authors":"Mashiro Okada, Clément Barras, Yusuke Toda, Kosuke Hamazaki, Yoshihiro Ohmori, Yuji Yamasaki, Hirokazu Takahashi, Hideki Takanashi, Mai Tsuda, Masami Yokota Hirai, Hisashi Tsujimoto, Akito Kaga, Mikio Nakazono, Toru Fujiwara, Hiroyoshi Iwata","doi":"10.34133/plantphenomics.0244","DOIUrl":null,"url":null,"abstract":"<p><p>High-throughput phenotyping serves as a framework to reduce chronological costs and accelerate breeding cycles. In this study, we developed models to estimate the phenotypes of biomass-related traits in soybean (<i>Glycine max</i>) using unmanned aerial vehicle (UAV) remote sensing and deep learning models. In 2018, a field experiment was conducted using 198 soybean germplasm accessions with known whole-genome sequences under 2 irrigation conditions: drought and control. We used a convolutional neural network (CNN) as a model to estimate the phenotypic values of 5 conventional biomass-related traits: dry weight, main stem length, numbers of nodes and branches, and plant height. We utilized manually measured phenotypes of conventional traits along with RGB images and digital surface models from UAV remote sensing to train our CNN models. The accuracy of the developed models was assessed through 10-fold cross-validation, which demonstrated their ability to accurately estimate the phenotypes of all conventional traits simultaneously. Deep learning enabled us to extract features that exhibited strong correlations with the output (i.e., phenotypes of the target traits) and accurately estimate the values of the features from the input data. We considered the extracted low-dimensional features as phenotypes in the latent space and attempted to annotate them based on the phenotypes of conventional traits. Furthermore, we validated whether these low-dimensional latent features were genetically controlled by assessing the accuracy of genomic predictions. The results revealed the potential utility of these low-dimensional latent features in actual breeding scenarios.</p>","PeriodicalId":20318,"journal":{"name":"Plant Phenomics","volume":"6 ","pages":"0244"},"PeriodicalIF":6.4000,"publicationDate":"2024-09-09","publicationTypes":"Journal Article","fieldsOfStudy":null,"isOpenAccess":false,"openAccessPdf":"https://www.ncbi.nlm.nih.gov/pmc/articles/PMC11382017/pdf/","citationCount":"0","resultStr":"{\"title\":\"High-Throughput Phenotyping of Soybean Biomass: Conventional Trait Estimation and Novel Latent Feature Extraction Using UAV Remote Sensing and Deep Learning Models.\",\"authors\":\"Mashiro Okada, Clément Barras, Yusuke Toda, Kosuke Hamazaki, Yoshihiro Ohmori, Yuji Yamasaki, Hirokazu Takahashi, Hideki Takanashi, Mai Tsuda, Masami Yokota Hirai, Hisashi Tsujimoto, Akito Kaga, Mikio Nakazono, Toru Fujiwara, Hiroyoshi Iwata\",\"doi\":\"10.34133/plantphenomics.0244\",\"DOIUrl\":null,\"url\":null,\"abstract\":\"<p><p>High-throughput phenotyping serves as a framework to reduce chronological costs and accelerate breeding cycles. In this study, we developed models to estimate the phenotypes of biomass-related traits in soybean (<i>Glycine max</i>) using unmanned aerial vehicle (UAV) remote sensing and deep learning models. In 2018, a field experiment was conducted using 198 soybean germplasm accessions with known whole-genome sequences under 2 irrigation conditions: drought and control. We used a convolutional neural network (CNN) as a model to estimate the phenotypic values of 5 conventional biomass-related traits: dry weight, main stem length, numbers of nodes and branches, and plant height. We utilized manually measured phenotypes of conventional traits along with RGB images and digital surface models from UAV remote sensing to train our CNN models. The accuracy of the developed models was assessed through 10-fold cross-validation, which demonstrated their ability to accurately estimate the phenotypes of all conventional traits simultaneously. Deep learning enabled us to extract features that exhibited strong correlations with the output (i.e., phenotypes of the target traits) and accurately estimate the values of the features from the input data. We considered the extracted low-dimensional features as phenotypes in the latent space and attempted to annotate them based on the phenotypes of conventional traits. Furthermore, we validated whether these low-dimensional latent features were genetically controlled by assessing the accuracy of genomic predictions. The results revealed the potential utility of these low-dimensional latent features in actual breeding scenarios.</p>\",\"PeriodicalId\":20318,\"journal\":{\"name\":\"Plant Phenomics\",\"volume\":\"6 \",\"pages\":\"0244\"},\"PeriodicalIF\":6.4000,\"publicationDate\":\"2024-09-09\",\"publicationTypes\":\"Journal Article\",\"fieldsOfStudy\":null,\"isOpenAccess\":false,\"openAccessPdf\":\"https://www.ncbi.nlm.nih.gov/pmc/articles/PMC11382017/pdf/\",\"citationCount\":\"0\",\"resultStr\":null,\"platform\":\"Semanticscholar\",\"paperid\":null,\"PeriodicalName\":\"Plant Phenomics\",\"FirstCategoryId\":\"97\",\"ListUrlMain\":\"https://doi.org/10.34133/plantphenomics.0244\",\"RegionNum\":1,\"RegionCategory\":\"农林科学\",\"ArticlePicture\":[],\"TitleCN\":null,\"AbstractTextCN\":null,\"PMCID\":null,\"EPubDate\":\"2024/1/1 0:00:00\",\"PubModel\":\"eCollection\",\"JCR\":\"Q1\",\"JCRName\":\"AGRONOMY\",\"Score\":null,\"Total\":0}","platform":"Semanticscholar","paperid":null,"PeriodicalName":"Plant Phenomics","FirstCategoryId":"97","ListUrlMain":"https://doi.org/10.34133/plantphenomics.0244","RegionNum":1,"RegionCategory":"农林科学","ArticlePicture":[],"TitleCN":null,"AbstractTextCN":null,"PMCID":null,"EPubDate":"2024/1/1 0:00:00","PubModel":"eCollection","JCR":"Q1","JCRName":"AGRONOMY","Score":null,"Total":0}
引用次数: 0

摘要

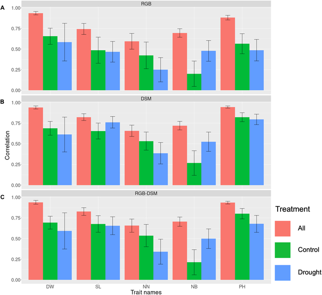
高通量表型分析是降低时间成本和加速育种周期的框架。在本研究中,我们利用无人飞行器(UAV)遥感和深度学习模型开发了大豆(Glycine max)生物质相关性状表型估计模型。2018 年,在干旱和对照两种灌溉条件下,使用 198 个具有已知全基因组序列的大豆种质登录品进行了田间试验。我们使用卷积神经网络(CNN)作为模型来估计 5 个常规生物质相关性状的表型值:干重、主茎长度、节数和分枝数以及株高。我们利用人工测量的传统性状表型以及无人机遥感的 RGB 图像和数字地表模型来训练 CNN 模型。我们通过 10 倍交叉验证评估了所开发模型的准确性,结果表明这些模型能够同时准确估计所有常规性状的表型。深度学习使我们能够提取与输出(即目标性状的表型)具有强相关性的特征,并从输入数据中准确估计特征值。我们将提取的低维特征视为潜在空间中的表型,并尝试根据常规性状的表型对其进行注释。此外,我们还通过评估基因组预测的准确性来验证这些低维潜在特征是否受基因控制。结果揭示了这些低维潜在特征在实际育种场景中的潜在用途。
本文章由计算机程序翻译,如有差异,请以英文原文为准。

High-Throughput Phenotyping of Soybean Biomass: Conventional Trait Estimation and Novel Latent Feature Extraction Using UAV Remote Sensing and Deep Learning Models.

High-Throughput Phenotyping of Soybean Biomass: Conventional Trait Estimation and Novel Latent Feature Extraction Using UAV Remote Sensing and Deep Learning Models.

High-Throughput Phenotyping of Soybean Biomass: Conventional Trait Estimation and Novel Latent Feature Extraction Using UAV Remote Sensing and Deep Learning Models.

High-Throughput Phenotyping of Soybean Biomass: Conventional Trait Estimation and Novel Latent Feature Extraction Using UAV Remote Sensing and Deep Learning Models.

High-throughput phenotyping serves as a framework to reduce chronological costs and accelerate breeding cycles. In this study, we developed models to estimate the phenotypes of biomass-related traits in soybean (Glycine max) using unmanned aerial vehicle (UAV) remote sensing and deep learning models. In 2018, a field experiment was conducted using 198 soybean germplasm accessions with known whole-genome sequences under 2 irrigation conditions: drought and control. We used a convolutional neural network (CNN) as a model to estimate the phenotypic values of 5 conventional biomass-related traits: dry weight, main stem length, numbers of nodes and branches, and plant height. We utilized manually measured phenotypes of conventional traits along with RGB images and digital surface models from UAV remote sensing to train our CNN models. The accuracy of the developed models was assessed through 10-fold cross-validation, which demonstrated their ability to accurately estimate the phenotypes of all conventional traits simultaneously. Deep learning enabled us to extract features that exhibited strong correlations with the output (i.e., phenotypes of the target traits) and accurately estimate the values of the features from the input data. We considered the extracted low-dimensional features as phenotypes in the latent space and attempted to annotate them based on the phenotypes of conventional traits. Furthermore, we validated whether these low-dimensional latent features were genetically controlled by assessing the accuracy of genomic predictions. The results revealed the potential utility of these low-dimensional latent features in actual breeding scenarios.

求助全文
通过发布文献求助,成功后即可免费获取论文全文。 去求助
来源期刊
Plant Phenomics
Plant Phenomics Multiple-
CiteScore
8.60
自引率
9.20%
发文量
26
审稿时长
14 weeks
期刊介绍: Plant Phenomics is an Open Access journal published in affiliation with the State Key Laboratory of Crop Genetics & Germplasm Enhancement, Nanjing Agricultural University (NAU) and published by the American Association for the Advancement of Science (AAAS). Like all partners participating in the Science Partner Journal program, Plant Phenomics is editorially independent from the Science family of journals. The mission of Plant Phenomics is to publish novel research that will advance all aspects of plant phenotyping from the cell to the plant population levels using innovative combinations of sensor systems and data analytics. Plant Phenomics aims also to connect phenomics to other science domains, such as genomics, genetics, physiology, molecular biology, bioinformatics, statistics, mathematics, and computer sciences. Plant Phenomics should thus contribute to advance plant sciences and agriculture/forestry/horticulture by addressing key scientific challenges in the area of plant phenomics. The scope of the journal covers the latest technologies in plant phenotyping for data acquisition, data management, data interpretation, modeling, and their practical applications for crop cultivation, plant breeding, forestry, horticulture, ecology, and other plant-related domains.
×
引用
GB/T 7714-2015
复制
MLA
复制
APA
复制
导出至
BibTeX EndNote RefMan NoteFirst NoteExpress
×
提示
您的信息不完整,为了账户安全,请先补充。
现在去补充
×
提示
您因"违规操作"
具体请查看互助需知
我知道了
×
提示
确定
请完成安全验证×
copy
已复制链接
快去分享给好友吧!
我知道了
右上角分享
点击右上角分享
0
联系我们:info@booksci.cn Book学术提供免费学术资源搜索服务,方便国内外学者检索中英文文献。致力于提供最便捷和优质的服务体验。 Copyright © 2023 布克学术 All rights reserved.
京ICP备2023020795号-1
ghs 京公网安备 11010802042870号
Book学术文献互助
Book学术文献互助群
群 号:604180095
Book学术官方微信