通过无监督聚类分析将血浆细胞因子模式作为食管鳞状细胞癌的预后标志物。

IF 1.8 3区 医学 Q3 ONCOLOGY
Oncology Pub Date : 2025-01-01 Epub Date: 2024-09-20 DOI:10.1159/000541371
Cheng-Hsun Chuang, Pei-Ming Huang, Sung-Tzu Liang, Ke-Cheng Chen, Mong-Wei Lin, Shuenn-Wen Kuo, Hsien-Chi Liao, Jang-Ming Lee
{"title":"通过无监督聚类分析将血浆细胞因子模式作为食管鳞状细胞癌的预后标志物。","authors":"Cheng-Hsun Chuang, Pei-Ming Huang, Sung-Tzu Liang, Ke-Cheng Chen, Mong-Wei Lin, Shuenn-Wen Kuo, Hsien-Chi Liao, Jang-Ming Lee","doi":"10.1159/000541371","DOIUrl":null,"url":null,"abstract":"<p><strong>Introduction: </strong>Cytokines such as tumor necrosis factor-alpha (TNF-α), interleukin 6 (IL6), interferon-gamma (IFN-γ), interleukin 17-alpha (IL17-α), and interleukin 33 (IL33) play critical roles in immune responses and may impact cancer prognosis in future. However, few studies have simultaneously explored the prognostic impact of these cytokines for cancer. In this study, we aim to apply the unsupervised clustering analysis to approach the correlation between the expression of these cytokines and the subsequent prognosis of patients with esophageal squamous cell carcinoma (ESCC).</p><p><strong>Methods: </strong>A robust clustering algorithm was used, the Gaussian mixture method (GMM), through the mclust R package to group patients based on the expression of their cytokines in plasma or tumors. The 324 NTU patients were grouped into 4 clusters, and the 179 GSE53625 patients were grouped into 3 clusters based on expression in plasma and tumors, respectively. Five- and 3-year overall survival (OS) and progression-free survival (PFS) curves of each cluster were compared. Univariate and multivariate Cox regression analyses were also performed.</p><p><strong>Results: </strong>We successfully distinguished the multimodal distribution of cytokines through GMM clustering and discovered the relationship between cytokines and clinical outcomes. We observed that NTU-G3 and NTU-G4 subgroups showed most variation in 5-, 3-year OS and 5-, 3-year PFS with NTU-G3 being associated with poorer prognosis compared to NTU-G4 (p = 0.016, 0.0052, 0.0575, and 0.0168, respectively). NTU-G3 was characterized with higher TNF-α (median = 3.855, N = 78) and lower IL33 (median = 0.000, N = 78), while NTU-G4 showed lower TNF-α (median = 1.76, N = 51) and higher IL33 (median = 1.070, N = 51). The difference was statistically significant for TNF-α and IL33, with p = 0.0002 and p < 0.0001, respectively. A multivariate Cox-regression analysis revealed that GMM clustering and T/N stage were independent factors for prognosis, suggesting that the prognosis might be dependent on these cytokines.</p><p><strong>Conclusions: </strong>Our data suggest that expression patterns of IL33 and TNF-α in plasma might serve as a convenient marker to predict the prognosis of ESCC in the future.</p>","PeriodicalId":19497,"journal":{"name":"Oncology","volume":" ","pages":"427-438"},"PeriodicalIF":1.8000,"publicationDate":"2025-01-01","publicationTypes":"Journal Article","fieldsOfStudy":null,"isOpenAccess":false,"openAccessPdf":"https://www.ncbi.nlm.nih.gov/pmc/articles/PMC12048106/pdf/","citationCount":"0","resultStr":"{\"title\":\"Plasma Cytokines Pattern as a Prognostic Marker for Esophageal Squamous Cell Carcinoma via Unsupervised Clustering Analyses.\",\"authors\":\"Cheng-Hsun Chuang, Pei-Ming Huang, Sung-Tzu Liang, Ke-Cheng Chen, Mong-Wei Lin, Shuenn-Wen Kuo, Hsien-Chi Liao, Jang-Ming Lee\",\"doi\":\"10.1159/000541371\",\"DOIUrl\":null,\"url\":null,\"abstract\":\"<p><strong>Introduction: </strong>Cytokines such as tumor necrosis factor-alpha (TNF-α), interleukin 6 (IL6), interferon-gamma (IFN-γ), interleukin 17-alpha (IL17-α), and interleukin 33 (IL33) play critical roles in immune responses and may impact cancer prognosis in future. However, few studies have simultaneously explored the prognostic impact of these cytokines for cancer. In this study, we aim to apply the unsupervised clustering analysis to approach the correlation between the expression of these cytokines and the subsequent prognosis of patients with esophageal squamous cell carcinoma (ESCC).</p><p><strong>Methods: </strong>A robust clustering algorithm was used, the Gaussian mixture method (GMM), through the mclust R package to group patients based on the expression of their cytokines in plasma or tumors. The 324 NTU patients were grouped into 4 clusters, and the 179 GSE53625 patients were grouped into 3 clusters based on expression in plasma and tumors, respectively. Five- and 3-year overall survival (OS) and progression-free survival (PFS) curves of each cluster were compared. Univariate and multivariate Cox regression analyses were also performed.</p><p><strong>Results: </strong>We successfully distinguished the multimodal distribution of cytokines through GMM clustering and discovered the relationship between cytokines and clinical outcomes. We observed that NTU-G3 and NTU-G4 subgroups showed most variation in 5-, 3-year OS and 5-, 3-year PFS with NTU-G3 being associated with poorer prognosis compared to NTU-G4 (p = 0.016, 0.0052, 0.0575, and 0.0168, respectively). NTU-G3 was characterized with higher TNF-α (median = 3.855, N = 78) and lower IL33 (median = 0.000, N = 78), while NTU-G4 showed lower TNF-α (median = 1.76, N = 51) and higher IL33 (median = 1.070, N = 51). The difference was statistically significant for TNF-α and IL33, with p = 0.0002 and p < 0.0001, respectively. A multivariate Cox-regression analysis revealed that GMM clustering and T/N stage were independent factors for prognosis, suggesting that the prognosis might be dependent on these cytokines.</p><p><strong>Conclusions: </strong>Our data suggest that expression patterns of IL33 and TNF-α in plasma might serve as a convenient marker to predict the prognosis of ESCC in the future.</p>\",\"PeriodicalId\":19497,\"journal\":{\"name\":\"Oncology\",\"volume\":\" \",\"pages\":\"427-438\"},\"PeriodicalIF\":1.8000,\"publicationDate\":\"2025-01-01\",\"publicationTypes\":\"Journal Article\",\"fieldsOfStudy\":null,\"isOpenAccess\":false,\"openAccessPdf\":\"https://www.ncbi.nlm.nih.gov/pmc/articles/PMC12048106/pdf/\",\"citationCount\":\"0\",\"resultStr\":null,\"platform\":\"Semanticscholar\",\"paperid\":null,\"PeriodicalName\":\"Oncology\",\"FirstCategoryId\":\"3\",\"ListUrlMain\":\"https://doi.org/10.1159/000541371\",\"RegionNum\":3,\"RegionCategory\":\"医学\",\"ArticlePicture\":[],\"TitleCN\":null,\"AbstractTextCN\":null,\"PMCID\":null,\"EPubDate\":\"2024/9/20 0:00:00\",\"PubModel\":\"Epub\",\"JCR\":\"Q3\",\"JCRName\":\"ONCOLOGY\",\"Score\":null,\"Total\":0}","platform":"Semanticscholar","paperid":null,"PeriodicalName":"Oncology","FirstCategoryId":"3","ListUrlMain":"https://doi.org/10.1159/000541371","RegionNum":3,"RegionCategory":"医学","ArticlePicture":[],"TitleCN":null,"AbstractTextCN":null,"PMCID":null,"EPubDate":"2024/9/20 0:00:00","PubModel":"Epub","JCR":"Q3","JCRName":"ONCOLOGY","Score":null,"Total":0}
引用次数: 0

摘要

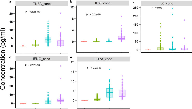
简介肿瘤坏死因子-α(TNF-α)、白细胞介素 6(IL6)、γ 干扰素(IFN-γ)、白细胞介素 17-α(IL17-α)和白细胞介素 33(IL33)等细胞因子在免疫反应中发挥着关键作用,并可能影响未来的癌症预后。然而,很少有研究同时探讨这些细胞因子对癌症预后的影响。在本研究中,我们旨在应用无监督聚类分析方法,探讨这些细胞因子的表达与食管鳞状细胞癌患者后续预后之间的相关性:方法:通过 mclust R 软件包使用鲁棒聚类算法--高斯混合法,根据血浆或肿瘤中细胞因子的表达情况对患者进行分组。根据血浆和肿瘤中细胞因子的表达情况,将324名NTU患者分为4个群组,将179名GSE53625患者分为3个群组。比较了每个群组的五年和三年总生存期(OS)和无进展生存期(PFS)曲线。我们还进行了单变量和多变量考克斯回归分析:结果:我们通过 GMM 聚类成功区分了细胞因子的多模式分布,并发现了细胞因子与临床预后之间的关系。我们观察到,NTU-G3 和 NTU-G4 亚组在 5 年、3 年 OS 和 5 年、3 年 PFS 方面差异最大,NTU-G3 与 NTU-G4 相比预后更差(P = 0.016、0.0052、0.0575 和 0.0168)。NTU-G3的特点是TNF-α较高(中位数=3.855,样本数=78),IL33较低(中位数=0.000,样本数=78),而NTU-G4的特点是TNF-α较低(中位数=1.76,样本数=51),IL33较高(中位数=1.070,样本数=51)。TNF-α和IL33的差异具有统计学意义,分别为P = 0.002和P <0.0001。多变量Cox回归分析显示,GMM聚类和T/N分期是影响预后的独立因素,这表明预后可能取决于这些细胞因子:我们的数据表明,血浆中IL33和TNF-α的表达模式可作为预测ESCC预后的一种便捷标记物。
本文章由计算机程序翻译,如有差异,请以英文原文为准。

Plasma Cytokines Pattern as a Prognostic Marker for Esophageal Squamous Cell Carcinoma via Unsupervised Clustering Analyses.

Plasma Cytokines Pattern as a Prognostic Marker for Esophageal Squamous Cell Carcinoma via Unsupervised Clustering Analyses.

Plasma Cytokines Pattern as a Prognostic Marker for Esophageal Squamous Cell Carcinoma via Unsupervised Clustering Analyses.

Plasma Cytokines Pattern as a Prognostic Marker for Esophageal Squamous Cell Carcinoma via Unsupervised Clustering Analyses.

Introduction: Cytokines such as tumor necrosis factor-alpha (TNF-α), interleukin 6 (IL6), interferon-gamma (IFN-γ), interleukin 17-alpha (IL17-α), and interleukin 33 (IL33) play critical roles in immune responses and may impact cancer prognosis in future. However, few studies have simultaneously explored the prognostic impact of these cytokines for cancer. In this study, we aim to apply the unsupervised clustering analysis to approach the correlation between the expression of these cytokines and the subsequent prognosis of patients with esophageal squamous cell carcinoma (ESCC).

Methods: A robust clustering algorithm was used, the Gaussian mixture method (GMM), through the mclust R package to group patients based on the expression of their cytokines in plasma or tumors. The 324 NTU patients were grouped into 4 clusters, and the 179 GSE53625 patients were grouped into 3 clusters based on expression in plasma and tumors, respectively. Five- and 3-year overall survival (OS) and progression-free survival (PFS) curves of each cluster were compared. Univariate and multivariate Cox regression analyses were also performed.

Results: We successfully distinguished the multimodal distribution of cytokines through GMM clustering and discovered the relationship between cytokines and clinical outcomes. We observed that NTU-G3 and NTU-G4 subgroups showed most variation in 5-, 3-year OS and 5-, 3-year PFS with NTU-G3 being associated with poorer prognosis compared to NTU-G4 (p = 0.016, 0.0052, 0.0575, and 0.0168, respectively). NTU-G3 was characterized with higher TNF-α (median = 3.855, N = 78) and lower IL33 (median = 0.000, N = 78), while NTU-G4 showed lower TNF-α (median = 1.76, N = 51) and higher IL33 (median = 1.070, N = 51). The difference was statistically significant for TNF-α and IL33, with p = 0.0002 and p < 0.0001, respectively. A multivariate Cox-regression analysis revealed that GMM clustering and T/N stage were independent factors for prognosis, suggesting that the prognosis might be dependent on these cytokines.

Conclusions: Our data suggest that expression patterns of IL33 and TNF-α in plasma might serve as a convenient marker to predict the prognosis of ESCC in the future.

求助全文
通过发布文献求助,成功后即可免费获取论文全文。 去求助
来源期刊
Oncology
Oncology 医学-肿瘤学
CiteScore
6.00
自引率
2.90%
发文量
76
审稿时长
6-12 weeks
期刊介绍: Although laboratory and clinical cancer research need to be closely linked, observations at the basic level often remain removed from medical applications. This journal works to accelerate the translation of experimental results into the clinic, and back again into the laboratory for further investigation. The fundamental purpose of this effort is to advance clinically-relevant knowledge of cancer, and improve the outcome of prevention, diagnosis and treatment of malignant disease. The journal publishes significant clinical studies from cancer programs around the world, along with important translational laboratory findings, mini-reviews (invited and submitted) and in-depth discussions of evolving and controversial topics in the oncology arena. A unique feature of the journal is a new section which focuses on rapid peer-review and subsequent publication of short reports of phase 1 and phase 2 clinical cancer trials, with a goal of insuring that high-quality clinical cancer research quickly enters the public domain, regardless of the trial’s ultimate conclusions regarding efficacy or toxicity.
×
引用
GB/T 7714-2015
复制
MLA
复制
APA
复制
导出至
BibTeX EndNote RefMan NoteFirst NoteExpress
×
提示
您的信息不完整,为了账户安全,请先补充。
现在去补充
×
提示
您因"违规操作"
具体请查看互助需知
我知道了
×
提示
确定
请完成安全验证×
copy
已复制链接
快去分享给好友吧!
我知道了
右上角分享
点击右上角分享
0
联系我们:info@booksci.cn Book学术提供免费学术资源搜索服务,方便国内外学者检索中英文文献。致力于提供最便捷和优质的服务体验。 Copyright © 2023 布克学术 All rights reserved.
京ICP备2023020795号-1
ghs 京公网安备 11010802042870号
Book学术文献互助
Book学术文献互助群
群 号:604180095
Book学术官方微信