危险的生意捕食者化学线索介导淡水蜗牛的形态变化

IF 1.9 4区 生物学 Q2 BIOLOGY
Integrative Organismal Biology Pub Date : 2024-09-02 eCollection Date: 2024-01-01 DOI:10.1093/iob/obae033
M J Wagner, P A Moore
{"title":"危险的生意捕食者化学线索介导淡水蜗牛的形态变化","authors":"M J Wagner, P A Moore","doi":"10.1093/iob/obae033","DOIUrl":null,"url":null,"abstract":"<p><p>Many prey organisms respond to the nonconsumptive effects of predators by altering their physiology, morphology, and behavior. These inducible defenses can create refuges for prey by decreasing the likelihood of consumption by predators. Some prey, as in marine mollusks, have been shown to alter their morphology in response to the presence of size-limited predation. To extend this work, we exposed pointed campeloma snails (<i>Campeloma decisum</i>) to chemical cues from a natural predator, the rusty crayfish (<i>Faxonius rusticus</i>), to better understand how snail morphology changes under the threat of predation. The total force needed to crush shells, total shell length, aperture width, and total weight, along with changes to these 3 body measurements, were recorded for each individual and used to quantify morphological changes as a function of risk. Snails exposed to crayfish chemical cues had shells that required significantly more force to crush their shells than controls (<i>P</i> = 0.023). Total shell length was greater in crayfish-exposed snails than in control snails (<i>P</i> = 0.012), and snails in the crayfish treatment also showed significantly more change in shell length than control snails (<i>P</i> = 0.007). Similarly, aperture width was significantly greater in exposed snails (<i>P</i> = 0.011). However, exposed snails exhibited significantly less change in aperture width than controls (<i>P</i> = 0.03). Finally, we found that snails exposed to crayfish weighed significantly more than snails in the control (<i>P</i> = 0.008). Thus, the results of this study show that morphology of gastropods is altered in the presence of predators, and this may be an antipredator tactic directly related to predation risk.</p>","PeriodicalId":13666,"journal":{"name":"Integrative Organismal Biology","volume":"6 1","pages":"obae033"},"PeriodicalIF":1.9000,"publicationDate":"2024-09-02","publicationTypes":"Journal Article","fieldsOfStudy":null,"isOpenAccess":false,"openAccessPdf":"https://www.ncbi.nlm.nih.gov/pmc/articles/PMC11404504/pdf/","citationCount":"0","resultStr":"{\"title\":\"Risky Business: Predator Chemical Cues Mediate Morphological Changes in Freshwater Snails.\",\"authors\":\"M J Wagner, P A Moore\",\"doi\":\"10.1093/iob/obae033\",\"DOIUrl\":null,\"url\":null,\"abstract\":\"<p><p>Many prey organisms respond to the nonconsumptive effects of predators by altering their physiology, morphology, and behavior. These inducible defenses can create refuges for prey by decreasing the likelihood of consumption by predators. Some prey, as in marine mollusks, have been shown to alter their morphology in response to the presence of size-limited predation. To extend this work, we exposed pointed campeloma snails (<i>Campeloma decisum</i>) to chemical cues from a natural predator, the rusty crayfish (<i>Faxonius rusticus</i>), to better understand how snail morphology changes under the threat of predation. The total force needed to crush shells, total shell length, aperture width, and total weight, along with changes to these 3 body measurements, were recorded for each individual and used to quantify morphological changes as a function of risk. Snails exposed to crayfish chemical cues had shells that required significantly more force to crush their shells than controls (<i>P</i> = 0.023). Total shell length was greater in crayfish-exposed snails than in control snails (<i>P</i> = 0.012), and snails in the crayfish treatment also showed significantly more change in shell length than control snails (<i>P</i> = 0.007). Similarly, aperture width was significantly greater in exposed snails (<i>P</i> = 0.011). However, exposed snails exhibited significantly less change in aperture width than controls (<i>P</i> = 0.03). Finally, we found that snails exposed to crayfish weighed significantly more than snails in the control (<i>P</i> = 0.008). Thus, the results of this study show that morphology of gastropods is altered in the presence of predators, and this may be an antipredator tactic directly related to predation risk.</p>\",\"PeriodicalId\":13666,\"journal\":{\"name\":\"Integrative Organismal Biology\",\"volume\":\"6 1\",\"pages\":\"obae033\"},\"PeriodicalIF\":1.9000,\"publicationDate\":\"2024-09-02\",\"publicationTypes\":\"Journal Article\",\"fieldsOfStudy\":null,\"isOpenAccess\":false,\"openAccessPdf\":\"https://www.ncbi.nlm.nih.gov/pmc/articles/PMC11404504/pdf/\",\"citationCount\":\"0\",\"resultStr\":null,\"platform\":\"Semanticscholar\",\"paperid\":null,\"PeriodicalName\":\"Integrative Organismal Biology\",\"FirstCategoryId\":\"99\",\"ListUrlMain\":\"https://doi.org/10.1093/iob/obae033\",\"RegionNum\":4,\"RegionCategory\":\"生物学\",\"ArticlePicture\":[],\"TitleCN\":null,\"AbstractTextCN\":null,\"PMCID\":null,\"EPubDate\":\"2024/1/1 0:00:00\",\"PubModel\":\"eCollection\",\"JCR\":\"Q2\",\"JCRName\":\"BIOLOGY\",\"Score\":null,\"Total\":0}","platform":"Semanticscholar","paperid":null,"PeriodicalName":"Integrative Organismal Biology","FirstCategoryId":"99","ListUrlMain":"https://doi.org/10.1093/iob/obae033","RegionNum":4,"RegionCategory":"生物学","ArticlePicture":[],"TitleCN":null,"AbstractTextCN":null,"PMCID":null,"EPubDate":"2024/1/1 0:00:00","PubModel":"eCollection","JCR":"Q2","JCRName":"BIOLOGY","Score":null,"Total":0}
引用次数: 0

摘要

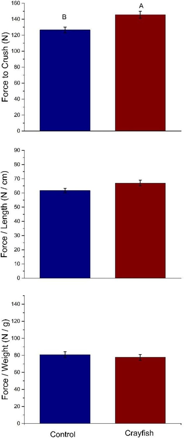
许多猎物生物通过改变其生理、形态和行为来应对捕食者的非消耗性影响。这些诱导性防御可以降低被捕食者吃掉的可能性,从而为猎物创造庇护所。一些猎物,如海洋软体动物,已被证明会改变其形态以应对捕食者的大小限制。为了扩展这项工作,我们让尖角瘤蜗牛(Campeloma decisum)接触来自天敌锈螯虾(Faxonius rusticus)的化学线索,以更好地了解蜗牛在捕食威胁下的形态变化。我们记录了每个个体压碎外壳所需的总力量、外壳总长度、孔径宽度和总重量,以及这3个身体测量值的变化,并将其用于量化形态变化与风险的函数关系。与对照组相比,暴露于小龙虾化学线索的蜗牛的壳需要更大的力量才能压碎(P = 0.023)。接触小龙虾的蜗牛的壳总长度比对照组蜗牛的壳总长度大(P = 0.012),小龙虾处理的蜗牛的壳长度变化也明显比对照组蜗牛的壳长度变化大(P = 0.007)。同样,暴露蜗牛的孔径宽度也明显更大(P = 0.011)。不过,暴露蜗牛的孔宽变化明显小于对照组(P = 0.03)。最后,我们发现接触小龙虾的蜗牛体重明显高于对照组(P = 0.008)。因此,本研究结果表明,腹足类动物的形态在捕食者存在时会发生改变,这可能是一种与捕食风险直接相关的反捕食策略。
本文章由计算机程序翻译,如有差异,请以英文原文为准。

Risky Business: Predator Chemical Cues Mediate Morphological Changes in Freshwater Snails.

Risky Business: Predator Chemical Cues Mediate Morphological Changes in Freshwater Snails.

Risky Business: Predator Chemical Cues Mediate Morphological Changes in Freshwater Snails.

Risky Business: Predator Chemical Cues Mediate Morphological Changes in Freshwater Snails.

Many prey organisms respond to the nonconsumptive effects of predators by altering their physiology, morphology, and behavior. These inducible defenses can create refuges for prey by decreasing the likelihood of consumption by predators. Some prey, as in marine mollusks, have been shown to alter their morphology in response to the presence of size-limited predation. To extend this work, we exposed pointed campeloma snails (Campeloma decisum) to chemical cues from a natural predator, the rusty crayfish (Faxonius rusticus), to better understand how snail morphology changes under the threat of predation. The total force needed to crush shells, total shell length, aperture width, and total weight, along with changes to these 3 body measurements, were recorded for each individual and used to quantify morphological changes as a function of risk. Snails exposed to crayfish chemical cues had shells that required significantly more force to crush their shells than controls (P = 0.023). Total shell length was greater in crayfish-exposed snails than in control snails (P = 0.012), and snails in the crayfish treatment also showed significantly more change in shell length than control snails (P = 0.007). Similarly, aperture width was significantly greater in exposed snails (P = 0.011). However, exposed snails exhibited significantly less change in aperture width than controls (P = 0.03). Finally, we found that snails exposed to crayfish weighed significantly more than snails in the control (P = 0.008). Thus, the results of this study show that morphology of gastropods is altered in the presence of predators, and this may be an antipredator tactic directly related to predation risk.

求助全文
通过发布文献求助,成功后即可免费获取论文全文。 去求助
来源期刊
CiteScore
3.70
自引率
6.70%
发文量
48
审稿时长
20 weeks
×
引用
GB/T 7714-2015
复制
MLA
复制
APA
复制
导出至
BibTeX EndNote RefMan NoteFirst NoteExpress
×
提示
您的信息不完整,为了账户安全,请先补充。
现在去补充
×
提示
您因"违规操作"
具体请查看互助需知
我知道了
×
提示
确定
请完成安全验证×
copy
已复制链接
快去分享给好友吧!
我知道了
右上角分享
点击右上角分享
0
联系我们:info@booksci.cn Book学术提供免费学术资源搜索服务,方便国内外学者检索中英文文献。致力于提供最便捷和优质的服务体验。 Copyright © 2023 布克学术 All rights reserved.
京ICP备2023020795号-1
ghs 京公网安备 11010802042870号
Book学术文献互助
Book学术文献互助群
群 号:604180095
Book学术官方微信