体外冲击波疗法对足底筋膜炎患者的疗效和耐受性:通过荟萃分析和荟萃回归进行的系统综述。

IF 3.4 3区 医学 Q1 REHABILITATION
Lorenzo Lippi, Arianna Folli, Stefano Moalli, Alessio Turco, Antonio Ammendolia, Alessandro de Sire, Marco Invernizzi
{"title":"体外冲击波疗法对足底筋膜炎患者的疗效和耐受性:通过荟萃分析和荟萃回归进行的系统综述。","authors":"Lorenzo Lippi, Arianna Folli, Stefano Moalli, Alessio Turco, Antonio Ammendolia, Alessandro de Sire, Marco Invernizzi","doi":"10.23736/S1973-9087.24.08136-X","DOIUrl":null,"url":null,"abstract":"<p><strong>Introduction: </strong>Plantar fasciopathy (PF) is a common musculoskeletal condition characterized by heel pain and functional impairment. Extracorporeal shock wave therapy (ESWT) has gained increasing interest in the treatment of PF, but the optimal ESWT program is still debated. Therefore, this systematic review with meta-analysis and meta-regression aimed at providing a comprehensive assessment of the efficacy and tolerability of ESWT in PF management.</p><p><strong>Evidence acquisition: </strong>Randomized controlled trials (RCTs) published until February 2023 were systematically searched on PubMed/MEDLINE, Scopus, Web of Science, Cochrane Central Register of Controlled Trials (CENTRAL), and PEDro. Studies assessing adult patients with PF treated with ESWT were considered. The primary outcome was the tolerability of ESWT, measured by treatment adherence, dropouts, and safety. Secondary outcomes were pain intensity and functional outcomes. Meta-analysis and meta-regression were performed to examine the relationship between ESWT program characteristics and treatment outcomes. The quality of included studies was assessed using the Jadad scale and the Cochrane risk-of-bias tool.</p><p><strong>Evidence synthesis: </strong>Eleven studies met the inclusion criteria and were included in the analysis. Our findings showed that ESWT is effective in reducing pain intensity assessed by Visual Analogue Scale [focal-ESWT: -2.818 (SE 0.803, -4.393, -1.244; P< 0.0001; radial-ESWT: -3.038 (SE 0.428, -3.878, -2.199; P<0.001)]. Meta-regression analysis indicated a positive relationship between specific ESWT parameters (frequency, number of pulses, energy flux density and frequency, and number of pulses, pressure) and pain intensity (all P<0.05) and dropout (all P<0.05).</p><p><strong>Conclusions: </strong>ESWT seems to be an effective and tolerable treatment for PF, albeit the peculiarity of parameters might affect both the efficacy in pain relief and the adherence to the treatment. Physicians should consider individual patient characteristics when selecting the ESWT parameters for PF treatment. Further high-quality studies are warranted to establish the optimal ESWT protocol to treat PF.</p>","PeriodicalId":12044,"journal":{"name":"European journal of physical and rehabilitation medicine","volume":" ","pages":"832-846"},"PeriodicalIF":3.4000,"publicationDate":"2024-10-01","publicationTypes":"Journal Article","fieldsOfStudy":null,"isOpenAccess":false,"openAccessPdf":"https://www.ncbi.nlm.nih.gov/pmc/articles/PMC11561739/pdf/","citationCount":"0","resultStr":"{\"title\":\"Efficacy and tolerability of extracorporeal shock wave therapy in patients with plantar fasciopathy: a systematic review with meta-analysis and meta-regression.\",\"authors\":\"Lorenzo Lippi, Arianna Folli, Stefano Moalli, Alessio Turco, Antonio Ammendolia, Alessandro de Sire, Marco Invernizzi\",\"doi\":\"10.23736/S1973-9087.24.08136-X\",\"DOIUrl\":null,\"url\":null,\"abstract\":\"<p><strong>Introduction: </strong>Plantar fasciopathy (PF) is a common musculoskeletal condition characterized by heel pain and functional impairment. Extracorporeal shock wave therapy (ESWT) has gained increasing interest in the treatment of PF, but the optimal ESWT program is still debated. Therefore, this systematic review with meta-analysis and meta-regression aimed at providing a comprehensive assessment of the efficacy and tolerability of ESWT in PF management.</p><p><strong>Evidence acquisition: </strong>Randomized controlled trials (RCTs) published until February 2023 were systematically searched on PubMed/MEDLINE, Scopus, Web of Science, Cochrane Central Register of Controlled Trials (CENTRAL), and PEDro. Studies assessing adult patients with PF treated with ESWT were considered. The primary outcome was the tolerability of ESWT, measured by treatment adherence, dropouts, and safety. Secondary outcomes were pain intensity and functional outcomes. Meta-analysis and meta-regression were performed to examine the relationship between ESWT program characteristics and treatment outcomes. The quality of included studies was assessed using the Jadad scale and the Cochrane risk-of-bias tool.</p><p><strong>Evidence synthesis: </strong>Eleven studies met the inclusion criteria and were included in the analysis. Our findings showed that ESWT is effective in reducing pain intensity assessed by Visual Analogue Scale [focal-ESWT: -2.818 (SE 0.803, -4.393, -1.244; P< 0.0001; radial-ESWT: -3.038 (SE 0.428, -3.878, -2.199; P<0.001)]. Meta-regression analysis indicated a positive relationship between specific ESWT parameters (frequency, number of pulses, energy flux density and frequency, and number of pulses, pressure) and pain intensity (all P<0.05) and dropout (all P<0.05).</p><p><strong>Conclusions: </strong>ESWT seems to be an effective and tolerable treatment for PF, albeit the peculiarity of parameters might affect both the efficacy in pain relief and the adherence to the treatment. Physicians should consider individual patient characteristics when selecting the ESWT parameters for PF treatment. Further high-quality studies are warranted to establish the optimal ESWT protocol to treat PF.</p>\",\"PeriodicalId\":12044,\"journal\":{\"name\":\"European journal of physical and rehabilitation medicine\",\"volume\":\" \",\"pages\":\"832-846\"},\"PeriodicalIF\":3.4000,\"publicationDate\":\"2024-10-01\",\"publicationTypes\":\"Journal Article\",\"fieldsOfStudy\":null,\"isOpenAccess\":false,\"openAccessPdf\":\"https://www.ncbi.nlm.nih.gov/pmc/articles/PMC11561739/pdf/\",\"citationCount\":\"0\",\"resultStr\":null,\"platform\":\"Semanticscholar\",\"paperid\":null,\"PeriodicalName\":\"European journal of physical and rehabilitation medicine\",\"FirstCategoryId\":\"88\",\"ListUrlMain\":\"https://doi.org/10.23736/S1973-9087.24.08136-X\",\"RegionNum\":3,\"RegionCategory\":\"医学\",\"ArticlePicture\":[],\"TitleCN\":null,\"AbstractTextCN\":null,\"PMCID\":null,\"EPubDate\":\"2024/9/11 0:00:00\",\"PubModel\":\"Epub\",\"JCR\":\"Q1\",\"JCRName\":\"REHABILITATION\",\"Score\":null,\"Total\":0}","platform":"Semanticscholar","paperid":null,"PeriodicalName":"European journal of physical and rehabilitation medicine","FirstCategoryId":"88","ListUrlMain":"https://doi.org/10.23736/S1973-9087.24.08136-X","RegionNum":3,"RegionCategory":"医学","ArticlePicture":[],"TitleCN":null,"AbstractTextCN":null,"PMCID":null,"EPubDate":"2024/9/11 0:00:00","PubModel":"Epub","JCR":"Q1","JCRName":"REHABILITATION","Score":null,"Total":0}
引用次数: 0

摘要

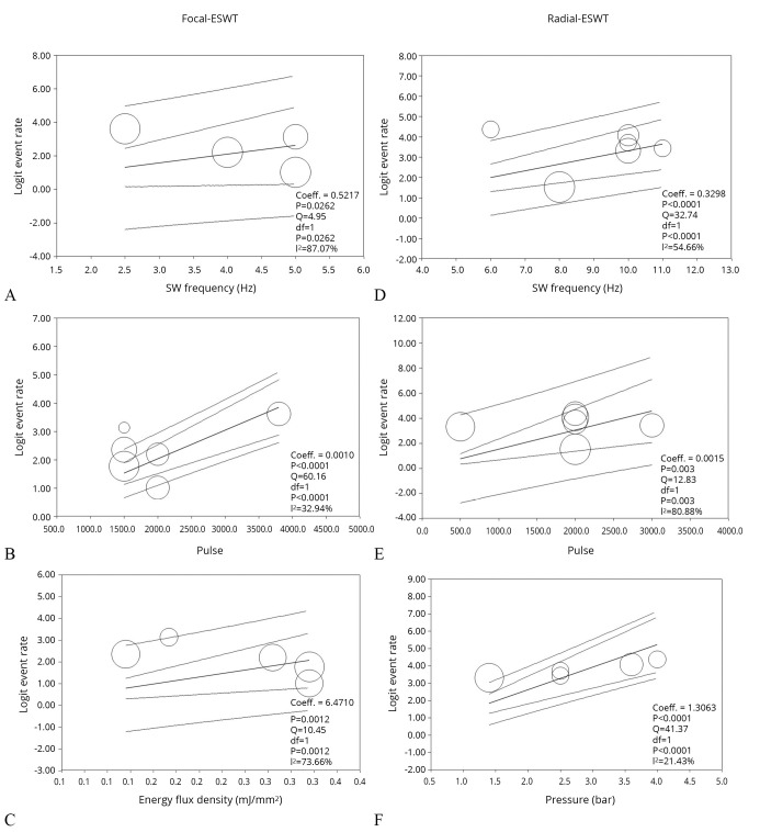
简介:足底筋膜病(PF)是一种常见的肌肉骨骼疾病,其特点是足跟疼痛和功能障碍。体外冲击波疗法(ESWT)在治疗足底筋膜病方面受到越来越多的关注,但最佳的 ESWT 方案仍存在争议。因此,本系统综述结合荟萃分析和荟萃回归,旨在全面评估体外冲击波疗法治疗足外翻的疗效和耐受性:在PubMed/MEDLINE、Scopus、Web of Science、Cochrane对照试验中央注册中心(CENTRAL)和PEDro上系统检索了截至2023年2月发表的随机对照试验(RCT)。研究对象包括接受 ESWT 治疗的 PF 成年患者。主要结果是 ESWT 的耐受性,通过治疗依从性、辍学率和安全性来衡量。次要结果是疼痛强度和功能结果。研究人员进行了元分析和元回归,以检验 ESWT 项目特征与治疗结果之间的关系。使用 Jadad 量表和 Cochrane 偏倚风险工具评估了纳入研究的质量:有 11 项研究符合纳入标准并被纳入分析。我们的研究结果表明,ESWT能有效降低视觉模拟量表评估的疼痛强度[病灶-ESWT:-2.818(SE 0.803,-4.393,-1.244;P< 0.0001;径向-ESWT:-3.038(SE 0.428,-3.878,-2.199;PC结论:ESWT 似乎是一种有效且可耐受的 PF 治疗方法,尽管参数的特殊性可能会影响疼痛缓解的效果和治疗的依从性。医生在选择 ESWT 治疗 PF 的参数时应考虑患者的个体特征。有必要进一步开展高质量的研究,以确定治疗 PF 的最佳 ESWT 方案。
本文章由计算机程序翻译,如有差异,请以英文原文为准。

Efficacy and tolerability of extracorporeal shock wave therapy in patients with plantar fasciopathy: a systematic review with meta-analysis and meta-regression.

Efficacy and tolerability of extracorporeal shock wave therapy in patients with plantar fasciopathy: a systematic review with meta-analysis and meta-regression.

Efficacy and tolerability of extracorporeal shock wave therapy in patients with plantar fasciopathy: a systematic review with meta-analysis and meta-regression.

Efficacy and tolerability of extracorporeal shock wave therapy in patients with plantar fasciopathy: a systematic review with meta-analysis and meta-regression.

Introduction: Plantar fasciopathy (PF) is a common musculoskeletal condition characterized by heel pain and functional impairment. Extracorporeal shock wave therapy (ESWT) has gained increasing interest in the treatment of PF, but the optimal ESWT program is still debated. Therefore, this systematic review with meta-analysis and meta-regression aimed at providing a comprehensive assessment of the efficacy and tolerability of ESWT in PF management.

Evidence acquisition: Randomized controlled trials (RCTs) published until February 2023 were systematically searched on PubMed/MEDLINE, Scopus, Web of Science, Cochrane Central Register of Controlled Trials (CENTRAL), and PEDro. Studies assessing adult patients with PF treated with ESWT were considered. The primary outcome was the tolerability of ESWT, measured by treatment adherence, dropouts, and safety. Secondary outcomes were pain intensity and functional outcomes. Meta-analysis and meta-regression were performed to examine the relationship between ESWT program characteristics and treatment outcomes. The quality of included studies was assessed using the Jadad scale and the Cochrane risk-of-bias tool.

Evidence synthesis: Eleven studies met the inclusion criteria and were included in the analysis. Our findings showed that ESWT is effective in reducing pain intensity assessed by Visual Analogue Scale [focal-ESWT: -2.818 (SE 0.803, -4.393, -1.244; P< 0.0001; radial-ESWT: -3.038 (SE 0.428, -3.878, -2.199; P<0.001)]. Meta-regression analysis indicated a positive relationship between specific ESWT parameters (frequency, number of pulses, energy flux density and frequency, and number of pulses, pressure) and pain intensity (all P<0.05) and dropout (all P<0.05).

Conclusions: ESWT seems to be an effective and tolerable treatment for PF, albeit the peculiarity of parameters might affect both the efficacy in pain relief and the adherence to the treatment. Physicians should consider individual patient characteristics when selecting the ESWT parameters for PF treatment. Further high-quality studies are warranted to establish the optimal ESWT protocol to treat PF.

求助全文
通过发布文献求助,成功后即可免费获取论文全文。 去求助
来源期刊
CiteScore
8.50
自引率
4.40%
发文量
162
审稿时长
6-12 weeks
期刊介绍: The European Journal of Physical and Rehabilitation Medicine publishes papers of clinical interest in physical and rehabilitation medicine.
×
引用
GB/T 7714-2015
复制
MLA
复制
APA
复制
导出至
BibTeX EndNote RefMan NoteFirst NoteExpress
×
提示
您的信息不完整,为了账户安全,请先补充。
现在去补充
×
提示
您因"违规操作"
具体请查看互助需知
我知道了
×
提示
确定
请完成安全验证×
copy
已复制链接
快去分享给好友吧!
我知道了
右上角分享
点击右上角分享
0
联系我们:info@booksci.cn Book学术提供免费学术资源搜索服务,方便国内外学者检索中英文文献。致力于提供最便捷和优质的服务体验。 Copyright © 2023 布克学术 All rights reserved.
京ICP备2023020795号-1
ghs 京公网安备 11010802042870号
Book学术文献互助
Book学术文献互助群
群 号:604180095
Book学术官方微信