钱能买到爱礼物是比交谈更有效的急性社会支持形式

IF 6.1 2区 管理学 Q2 BUSINESS
Holly S. Howe, Hillary J. D. Wiener, Tanya L. Chartrand
{"title":"钱能买到爱礼物是比交谈更有效的急性社会支持形式","authors":"Holly S. Howe,&nbsp;Hillary J. D. Wiener,&nbsp;Tanya L. Chartrand","doi":"10.1002/jcpy.1438","DOIUrl":null,"url":null,"abstract":"<p>If you are having a hard day, what can someone else do to help you feel better? Maybe they could verbally comfort you or maybe they could give you a small gift. In seven studies, including an in-person real gifting study, we find that receiving a small material gift, such as a candy bar or flowers, improves receivers' affect more than a supportive conversation with a close other does. We investigate the mechanism for this effect and find that support receivers perceive a gift to be a larger sacrifice than a conversation. This occurs because gifts seem more receiver-focused (i.e., actions done solely to benefit the receiver) than do conversations. This difference in perceived sacrifice makes gifts (vs. conversations) more effective at promoting emotional recovery.</p>","PeriodicalId":48365,"journal":{"name":"Journal of Consumer Psychology","volume":"35 3","pages":"397-414"},"PeriodicalIF":6.1000,"publicationDate":"2024-08-16","publicationTypes":"Journal Article","fieldsOfStudy":null,"isOpenAccess":false,"openAccessPdf":"https://onlinelibrary.wiley.com/doi/epdf/10.1002/jcpy.1438","citationCount":"0","resultStr":"{\"title\":\"Money can buy me love: Gifts are a more effective form of acute social support than conversations\",\"authors\":\"Holly S. Howe,&nbsp;Hillary J. D. Wiener,&nbsp;Tanya L. Chartrand\",\"doi\":\"10.1002/jcpy.1438\",\"DOIUrl\":null,\"url\":null,\"abstract\":\"<p>If you are having a hard day, what can someone else do to help you feel better? Maybe they could verbally comfort you or maybe they could give you a small gift. In seven studies, including an in-person real gifting study, we find that receiving a small material gift, such as a candy bar or flowers, improves receivers' affect more than a supportive conversation with a close other does. We investigate the mechanism for this effect and find that support receivers perceive a gift to be a larger sacrifice than a conversation. This occurs because gifts seem more receiver-focused (i.e., actions done solely to benefit the receiver) than do conversations. This difference in perceived sacrifice makes gifts (vs. conversations) more effective at promoting emotional recovery.</p>\",\"PeriodicalId\":48365,\"journal\":{\"name\":\"Journal of Consumer Psychology\",\"volume\":\"35 3\",\"pages\":\"397-414\"},\"PeriodicalIF\":6.1000,\"publicationDate\":\"2024-08-16\",\"publicationTypes\":\"Journal Article\",\"fieldsOfStudy\":null,\"isOpenAccess\":false,\"openAccessPdf\":\"https://onlinelibrary.wiley.com/doi/epdf/10.1002/jcpy.1438\",\"citationCount\":\"0\",\"resultStr\":null,\"platform\":\"Semanticscholar\",\"paperid\":null,\"PeriodicalName\":\"Journal of Consumer Psychology\",\"FirstCategoryId\":\"102\",\"ListUrlMain\":\"https://myscp.onlinelibrary.wiley.com/doi/10.1002/jcpy.1438\",\"RegionNum\":2,\"RegionCategory\":\"管理学\",\"ArticlePicture\":[],\"TitleCN\":null,\"AbstractTextCN\":null,\"PMCID\":null,\"EPubDate\":\"\",\"PubModel\":\"\",\"JCR\":\"Q2\",\"JCRName\":\"BUSINESS\",\"Score\":null,\"Total\":0}","platform":"Semanticscholar","paperid":null,"PeriodicalName":"Journal of Consumer Psychology","FirstCategoryId":"102","ListUrlMain":"https://myscp.onlinelibrary.wiley.com/doi/10.1002/jcpy.1438","RegionNum":2,"RegionCategory":"管理学","ArticlePicture":[],"TitleCN":null,"AbstractTextCN":null,"PMCID":null,"EPubDate":"","PubModel":"","JCR":"Q2","JCRName":"BUSINESS","Score":null,"Total":0}
引用次数: 0

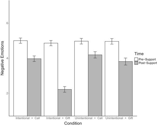
摘要

如果你今天过得不好,别人可以做些什么来帮助你感觉好些?也许他们可以口头安慰你,也许他们可以送你一份小礼物。在七项研究(包括一项面对面的真实馈赠研究)中,我们发现收到糖果或鲜花等小礼物比与亲密的人进行支持性谈话更能改善接受者的情绪。我们对这一效应的机制进行了研究,发现与交谈相比,接受支持者认为礼物是一种更大的牺牲。这是因为礼物似乎比谈话更以接受者为中心(即行为的唯一目的是使接受者受益)。这种感知牺牲的差异使得礼物(相对于谈话)在促进情感恢复方面更为有效。
本文章由计算机程序翻译,如有差异,请以英文原文为准。

Money can buy me love: Gifts are a more effective form of acute social support than conversations

Money can buy me love: Gifts are a more effective form of acute social support than conversations

Money can buy me love: Gifts are a more effective form of acute social support than conversations

Money can buy me love: Gifts are a more effective form of acute social support than conversations

Money can buy me love: Gifts are a more effective form of acute social support than conversations

If you are having a hard day, what can someone else do to help you feel better? Maybe they could verbally comfort you or maybe they could give you a small gift. In seven studies, including an in-person real gifting study, we find that receiving a small material gift, such as a candy bar or flowers, improves receivers' affect more than a supportive conversation with a close other does. We investigate the mechanism for this effect and find that support receivers perceive a gift to be a larger sacrifice than a conversation. This occurs because gifts seem more receiver-focused (i.e., actions done solely to benefit the receiver) than do conversations. This difference in perceived sacrifice makes gifts (vs. conversations) more effective at promoting emotional recovery.

求助全文
通过发布文献求助,成功后即可免费获取论文全文。 去求助
来源期刊
CiteScore
8.40
自引率
14.60%
发文量
51
期刊介绍: The Journal of Consumer Psychology is devoted to psychological perspectives on the study of the consumer. It publishes articles that contribute both theoretically and empirically to an understanding of psychological processes underlying consumers thoughts, feelings, decisions, and behaviors. Areas of emphasis include, but are not limited to, consumer judgment and decision processes, attitude formation and change, reactions to persuasive communications, affective experiences, consumer information processing, consumer-brand relationships, affective, cognitive, and motivational determinants of consumer behavior, family and group decision processes, and cultural and individual differences in consumer behavior.
×
引用
GB/T 7714-2015
复制
MLA
复制
APA
复制
导出至
BibTeX EndNote RefMan NoteFirst NoteExpress
×
提示
您的信息不完整,为了账户安全,请先补充。
现在去补充
×
提示
您因"违规操作"
具体请查看互助需知
我知道了
×
提示
确定
请完成安全验证×
copy
已复制链接
快去分享给好友吧!
我知道了
右上角分享
点击右上角分享
0
联系我们:info@booksci.cn Book学术提供免费学术资源搜索服务,方便国内外学者检索中英文文献。致力于提供最便捷和优质的服务体验。 Copyright © 2023 布克学术 All rights reserved.
京ICP备2023020795号-1
ghs 京公网安备 11010802042870号
Book学术文献互助
Book学术文献互助群
群 号:604180095
Book学术官方微信