乳腺癌和宫颈癌早期检测方面的地区差异和不平等:来自印度全国代表性调查的证据。

IF 3 2区 医学 Q1 PUBLIC, ENVIRONMENTAL & OCCUPATIONAL HEALTH
Journal of Epidemiology Pub Date : 2025-03-05 Epub Date: 2025-01-31 DOI:10.2188/jea.JE20240065
Md Mahfuzur Rahman, Md Shafiur Rahman, Md Rashedul Islam, Stuart Gilmour, Rei Haruyama, Atul Budukh, Abhishek Shankar, Gauravi Mishra, Ravi Mehrotra, Tomohiro Matsuda, Manami Inoue, Sarah Krull Abe
{"title":"乳腺癌和宫颈癌早期检测方面的地区差异和不平等:来自印度全国代表性调查的证据。","authors":"Md Mahfuzur Rahman, Md Shafiur Rahman, Md Rashedul Islam, Stuart Gilmour, Rei Haruyama, Atul Budukh, Abhishek Shankar, Gauravi Mishra, Ravi Mehrotra, Tomohiro Matsuda, Manami Inoue, Sarah Krull Abe","doi":"10.2188/jea.JE20240065","DOIUrl":null,"url":null,"abstract":"<p><strong>Background: </strong>The burden of cancer in India has been rising, yet testing for early detection remains low. This study explored inequalities in the uptake of breast cancer (BC) examination and cervical cancer (CC) among Indian women, focusing on socioeconomic, regional, and educational differences.</p><p><strong>Methods: </strong>Data from the 2019-21 National Family Health Survey (n = 353,518) were used to assess the uptake of BC examination and CC testing. Inequalities were quantified using the slope index of inequality (SII), relative index of inequality (RII), and relative concentration index (RCI). SII measured absolute inequality, while RII and RCI assessed relative inequality between disadvantaged and advantaged groups.</p><p><strong>Results: </strong>The ever uptake of tests for early detection of BC and CC were low at 9 and 20 per 1,000 women, respectively. Higher uptake was observed among women from the richest households compared to the poorest (SII: 1.1 for BC and 1.8 for CC). The magnitude of relative socioeconomic inequalities was more pronounced in rural areas (RCI: 22.5 for BC and 21.3 for CC) compared to urban areas. Similarly, higher-educated women were 4.84 times (RII: 4.84) and 2.12 times (RII: 2.12) more likely to undergo BC examination and CC testing, respectively, compared to non-educated women. The Northeastern region exhibited greater socioeconomic inequality, while the Western region showed more education-based inequality.</p><p><strong>Conclusion: </strong>The lower uptake of BC examination and CC testing and the marked inequalities underscore the need for targeted interventions to improve access and utilization of testing services, especially among lower-educated women, and those in rural areas.</p>","PeriodicalId":15799,"journal":{"name":"Journal of Epidemiology","volume":" ","pages":"129-140"},"PeriodicalIF":3.0000,"publicationDate":"2025-03-05","publicationTypes":"Journal Article","fieldsOfStudy":null,"isOpenAccess":false,"openAccessPdf":"https://www.ncbi.nlm.nih.gov/pmc/articles/PMC11821381/pdf/","citationCount":"0","resultStr":"{\"title\":\"Regional Variations and Inequalities in Testing for Early Detection of Breast and Cervical Cancer: Evidence From a Nationally Representative Survey in India.\",\"authors\":\"Md Mahfuzur Rahman, Md Shafiur Rahman, Md Rashedul Islam, Stuart Gilmour, Rei Haruyama, Atul Budukh, Abhishek Shankar, Gauravi Mishra, Ravi Mehrotra, Tomohiro Matsuda, Manami Inoue, Sarah Krull Abe\",\"doi\":\"10.2188/jea.JE20240065\",\"DOIUrl\":null,\"url\":null,\"abstract\":\"<p><strong>Background: </strong>The burden of cancer in India has been rising, yet testing for early detection remains low. This study explored inequalities in the uptake of breast cancer (BC) examination and cervical cancer (CC) among Indian women, focusing on socioeconomic, regional, and educational differences.</p><p><strong>Methods: </strong>Data from the 2019-21 National Family Health Survey (n = 353,518) were used to assess the uptake of BC examination and CC testing. Inequalities were quantified using the slope index of inequality (SII), relative index of inequality (RII), and relative concentration index (RCI). SII measured absolute inequality, while RII and RCI assessed relative inequality between disadvantaged and advantaged groups.</p><p><strong>Results: </strong>The ever uptake of tests for early detection of BC and CC were low at 9 and 20 per 1,000 women, respectively. Higher uptake was observed among women from the richest households compared to the poorest (SII: 1.1 for BC and 1.8 for CC). The magnitude of relative socioeconomic inequalities was more pronounced in rural areas (RCI: 22.5 for BC and 21.3 for CC) compared to urban areas. Similarly, higher-educated women were 4.84 times (RII: 4.84) and 2.12 times (RII: 2.12) more likely to undergo BC examination and CC testing, respectively, compared to non-educated women. The Northeastern region exhibited greater socioeconomic inequality, while the Western region showed more education-based inequality.</p><p><strong>Conclusion: </strong>The lower uptake of BC examination and CC testing and the marked inequalities underscore the need for targeted interventions to improve access and utilization of testing services, especially among lower-educated women, and those in rural areas.</p>\",\"PeriodicalId\":15799,\"journal\":{\"name\":\"Journal of Epidemiology\",\"volume\":\" \",\"pages\":\"129-140\"},\"PeriodicalIF\":3.0000,\"publicationDate\":\"2025-03-05\",\"publicationTypes\":\"Journal Article\",\"fieldsOfStudy\":null,\"isOpenAccess\":false,\"openAccessPdf\":\"https://www.ncbi.nlm.nih.gov/pmc/articles/PMC11821381/pdf/\",\"citationCount\":\"0\",\"resultStr\":null,\"platform\":\"Semanticscholar\",\"paperid\":null,\"PeriodicalName\":\"Journal of Epidemiology\",\"FirstCategoryId\":\"3\",\"ListUrlMain\":\"https://doi.org/10.2188/jea.JE20240065\",\"RegionNum\":2,\"RegionCategory\":\"医学\",\"ArticlePicture\":[],\"TitleCN\":null,\"AbstractTextCN\":null,\"PMCID\":null,\"EPubDate\":\"2025/1/31 0:00:00\",\"PubModel\":\"Epub\",\"JCR\":\"Q1\",\"JCRName\":\"PUBLIC, ENVIRONMENTAL & OCCUPATIONAL HEALTH\",\"Score\":null,\"Total\":0}","platform":"Semanticscholar","paperid":null,"PeriodicalName":"Journal of Epidemiology","FirstCategoryId":"3","ListUrlMain":"https://doi.org/10.2188/jea.JE20240065","RegionNum":2,"RegionCategory":"医学","ArticlePicture":[],"TitleCN":null,"AbstractTextCN":null,"PMCID":null,"EPubDate":"2025/1/31 0:00:00","PubModel":"Epub","JCR":"Q1","JCRName":"PUBLIC, ENVIRONMENTAL & OCCUPATIONAL HEALTH","Score":null,"Total":0}
引用次数: 0

摘要

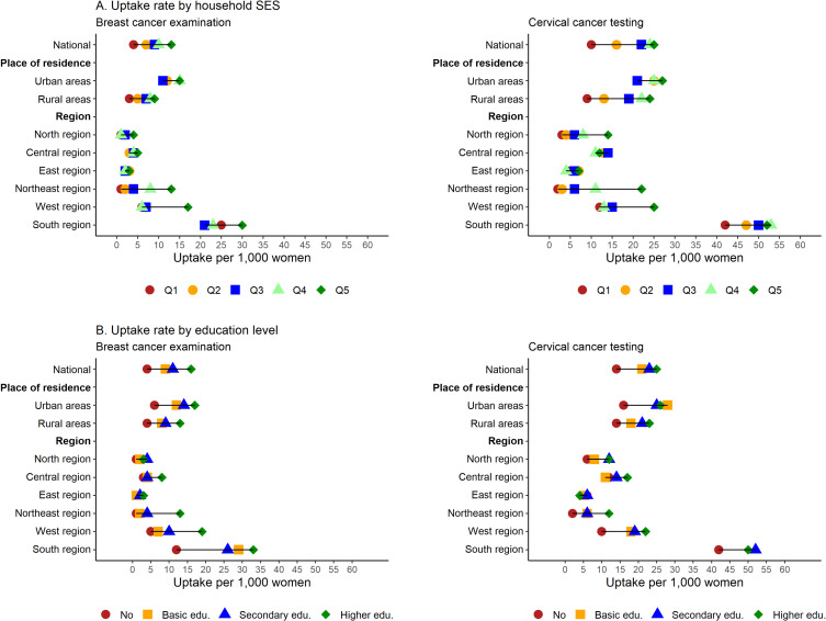
背景:印度的癌症发病率一直在上升,但早期检测率却很低。本研究探讨了印度妇女接受乳腺癌(BC)检查和宫颈癌(CC)检查的不平等现象,重点关注社会经济、地区和教育差异:方法:使用2019-21年全国家庭健康调查(n=353,518)的数据来评估接受乳腺癌检查和宫颈癌检测的情况。采用不平等斜率指数(SII)、相对不平等指数(RII)和相对集中指数(RCI)对不平等进行量化。SII 衡量的是绝对不平等,而 RII 和 RCI 评估的是弱势群体和优势群体之间的相对不平等:结果:早期检测 BC 和 CC 的检测率较低,分别为千分之九和千分之二十。与最贫困家庭的妇女相比,最富裕家庭的妇女接受检测的比例更高(SII:BC 为 1.1,CC 为 1.8)。与城市地区相比,农村地区的相对社会经济不平等程度更为明显(RCI:BC 为 22.5,CC 为 21.3)。同样,与未受过教育的妇女相比,受过高等教育的妇女接受 BC 检查和 CC 检测的可能性分别高出 4.84 倍(RII:4.84)和 2.12 倍(RII:2.12)。东北部地区表现出更大的社会经济不平等,而西部地区则表现出更大的教育不平等:结论:接受 BC 检查和 CC 检测的比例较低以及明显的不平等现象突出表明,有必要采取有针对性的干预措施,以改善检测服务的获取和利用情况,尤其是在受教育程度较低的女性和农村地区。
本文章由计算机程序翻译,如有差异,请以英文原文为准。

Regional Variations and Inequalities in Testing for Early Detection of Breast and Cervical Cancer: Evidence From a Nationally Representative Survey in India.

Regional Variations and Inequalities in Testing for Early Detection of Breast and Cervical Cancer: Evidence From a Nationally Representative Survey in India.

Regional Variations and Inequalities in Testing for Early Detection of Breast and Cervical Cancer: Evidence From a Nationally Representative Survey in India.

Background: The burden of cancer in India has been rising, yet testing for early detection remains low. This study explored inequalities in the uptake of breast cancer (BC) examination and cervical cancer (CC) among Indian women, focusing on socioeconomic, regional, and educational differences.

Methods: Data from the 2019-21 National Family Health Survey (n = 353,518) were used to assess the uptake of BC examination and CC testing. Inequalities were quantified using the slope index of inequality (SII), relative index of inequality (RII), and relative concentration index (RCI). SII measured absolute inequality, while RII and RCI assessed relative inequality between disadvantaged and advantaged groups.

Results: The ever uptake of tests for early detection of BC and CC were low at 9 and 20 per 1,000 women, respectively. Higher uptake was observed among women from the richest households compared to the poorest (SII: 1.1 for BC and 1.8 for CC). The magnitude of relative socioeconomic inequalities was more pronounced in rural areas (RCI: 22.5 for BC and 21.3 for CC) compared to urban areas. Similarly, higher-educated women were 4.84 times (RII: 4.84) and 2.12 times (RII: 2.12) more likely to undergo BC examination and CC testing, respectively, compared to non-educated women. The Northeastern region exhibited greater socioeconomic inequality, while the Western region showed more education-based inequality.

Conclusion: The lower uptake of BC examination and CC testing and the marked inequalities underscore the need for targeted interventions to improve access and utilization of testing services, especially among lower-educated women, and those in rural areas.

求助全文
通过发布文献求助,成功后即可免费获取论文全文。 去求助
来源期刊
Journal of Epidemiology
Journal of Epidemiology 医学-公共卫生、环境卫生与职业卫生
CiteScore
7.50
自引率
4.30%
发文量
172
审稿时长
6-12 weeks
期刊介绍: The Journal of Epidemiology is the official open access scientific journal of the Japan Epidemiological Association. The Journal publishes a broad range of original research on epidemiology as it relates to human health, and aims to promote communication among those engaged in the field of epidemiological research and those who use epidemiological findings.
×
引用
GB/T 7714-2015
复制
MLA
复制
APA
复制
导出至
BibTeX EndNote RefMan NoteFirst NoteExpress
×
提示
您的信息不完整,为了账户安全,请先补充。
现在去补充
×
提示
您因"违规操作"
具体请查看互助需知
我知道了
×
提示
确定
请完成安全验证×
copy
已复制链接
快去分享给好友吧!
我知道了
右上角分享
点击右上角分享
0
联系我们:info@booksci.cn Book学术提供免费学术资源搜索服务,方便国内外学者检索中英文文献。致力于提供最便捷和优质的服务体验。 Copyright © 2023 布克学术 All rights reserved.
京ICP备2023020795号-1
ghs 京公网安备 11010802042870号
Book学术文献互助
Book学术文献互助群
群 号:604180095
Book学术官方微信