利用磁共振成像检测代谢功能障碍相关脂肪性肝病高危患者肝脏脂肪变性的受控衰减参数的准确性:系统回顾和荟萃分析。

IF 2.2 Q3 GASTROENTEROLOGY & HEPATOLOGY
Annals of Gastroenterology Pub Date : 2024-09-01 Epub Date: 2024-08-19 DOI:10.20524/aog.2024.0910
Konstantinos Malandris, Anastasia Katsoula, Aris Liakos, Eleni Bekiari, Thomas Karagiannis, Eleni Theocharidou, Olga Giouleme, Emmanouil Sinakos, Apostolos Tsapas
{"title":"利用磁共振成像检测代谢功能障碍相关脂肪性肝病高危患者肝脏脂肪变性的受控衰减参数的准确性:系统回顾和荟萃分析。","authors":"Konstantinos Malandris, Anastasia Katsoula, Aris Liakos, Eleni Bekiari, Thomas Karagiannis, Eleni Theocharidou, Olga Giouleme, Emmanouil Sinakos, Apostolos Tsapas","doi":"10.20524/aog.2024.0910","DOIUrl":null,"url":null,"abstract":"<p><strong>Background: </strong>The controlled attenuation parameter (CAP) enables the noninvasive assessment of liver steatosis. We performed a systematic review and meta-analysis to evaluate the diagnostic accuracy of CAP for identifying liver steatosis in patients at risk for metabolic dysfunction-associated steatotic liver disease (MASLD), using magnetic resonance imaging proton density fat fraction (MRI-PDFF) as the reference standard.</p><p><strong>Methods: </strong>We searched Medline, Embase, Cochrane Library and gray literature sources up to March 2024. We defined MASLD as MRI-PDFF ≥5%. We also assessed the accuracy of CAP for identifying patients with MRI-PDFF ≥10%. We calculated pooled sensitivity and specificity estimates using hierarchical random-effects models. We assessed the risk of bias using the Quality Assessment of Diagnostic Accuracy Studies 2 tool, and the certainty in meta-analysis estimates using the Grading of Recommendations Assessment, Development and Evaluation framework.</p><p><strong>Results: </strong>We included 8 studies with 1116 participants. The prevalence of MASLD ranged from 65.2-93.9%. Pooled sensitivity and specificity of CAP for MRI-PDFF ≥5% were 0.84 (95% confidence interval [CI] 0.79-0.88) and 0.77 (95%CI 0.68-0.84), respectively, with an area under the receiver operating characteristic curve (AUROC) of 0.88. The pooled sensitivity and specificity for MRI-PDFF ≥10% were 0.83 (95%CI 0.80-0.87) and 0.72 (95%CI 0.59-0.82), with an AUROC of 0.85. The certainty in our estimates was low to very low because of the high risk of bias, inconsistency and imprecision.</p><p><strong>Conclusions: </strong>CAP has acceptable diagnostic accuracy for both MRI-PDFF ≥5% and MRI-PDFF ≥10%. Adequately powered and rigorously conducted diagnostic accuracy studies are warranted to establish the optimal CAP thresholds.</p>","PeriodicalId":7978,"journal":{"name":"Annals of Gastroenterology","volume":"37 5","pages":"579-587"},"PeriodicalIF":2.2000,"publicationDate":"2024-09-01","publicationTypes":"Journal Article","fieldsOfStudy":null,"isOpenAccess":false,"openAccessPdf":"https://www.ncbi.nlm.nih.gov/pmc/articles/PMC11372538/pdf/","citationCount":"0","resultStr":"{\"title\":\"Accuracy of controlled attenuation parameter for liver steatosis in patients at risk for metabolic dysfunction-associated steatotic liver disease using magnetic resonance imaging: a systematic review and meta-analysis.\",\"authors\":\"Konstantinos Malandris, Anastasia Katsoula, Aris Liakos, Eleni Bekiari, Thomas Karagiannis, Eleni Theocharidou, Olga Giouleme, Emmanouil Sinakos, Apostolos Tsapas\",\"doi\":\"10.20524/aog.2024.0910\",\"DOIUrl\":null,\"url\":null,\"abstract\":\"<p><strong>Background: </strong>The controlled attenuation parameter (CAP) enables the noninvasive assessment of liver steatosis. We performed a systematic review and meta-analysis to evaluate the diagnostic accuracy of CAP for identifying liver steatosis in patients at risk for metabolic dysfunction-associated steatotic liver disease (MASLD), using magnetic resonance imaging proton density fat fraction (MRI-PDFF) as the reference standard.</p><p><strong>Methods: </strong>We searched Medline, Embase, Cochrane Library and gray literature sources up to March 2024. We defined MASLD as MRI-PDFF ≥5%. We also assessed the accuracy of CAP for identifying patients with MRI-PDFF ≥10%. We calculated pooled sensitivity and specificity estimates using hierarchical random-effects models. We assessed the risk of bias using the Quality Assessment of Diagnostic Accuracy Studies 2 tool, and the certainty in meta-analysis estimates using the Grading of Recommendations Assessment, Development and Evaluation framework.</p><p><strong>Results: </strong>We included 8 studies with 1116 participants. The prevalence of MASLD ranged from 65.2-93.9%. Pooled sensitivity and specificity of CAP for MRI-PDFF ≥5% were 0.84 (95% confidence interval [CI] 0.79-0.88) and 0.77 (95%CI 0.68-0.84), respectively, with an area under the receiver operating characteristic curve (AUROC) of 0.88. The pooled sensitivity and specificity for MRI-PDFF ≥10% were 0.83 (95%CI 0.80-0.87) and 0.72 (95%CI 0.59-0.82), with an AUROC of 0.85. The certainty in our estimates was low to very low because of the high risk of bias, inconsistency and imprecision.</p><p><strong>Conclusions: </strong>CAP has acceptable diagnostic accuracy for both MRI-PDFF ≥5% and MRI-PDFF ≥10%. Adequately powered and rigorously conducted diagnostic accuracy studies are warranted to establish the optimal CAP thresholds.</p>\",\"PeriodicalId\":7978,\"journal\":{\"name\":\"Annals of Gastroenterology\",\"volume\":\"37 5\",\"pages\":\"579-587\"},\"PeriodicalIF\":2.2000,\"publicationDate\":\"2024-09-01\",\"publicationTypes\":\"Journal Article\",\"fieldsOfStudy\":null,\"isOpenAccess\":false,\"openAccessPdf\":\"https://www.ncbi.nlm.nih.gov/pmc/articles/PMC11372538/pdf/\",\"citationCount\":\"0\",\"resultStr\":null,\"platform\":\"Semanticscholar\",\"paperid\":null,\"PeriodicalName\":\"Annals of Gastroenterology\",\"FirstCategoryId\":\"1085\",\"ListUrlMain\":\"https://doi.org/10.20524/aog.2024.0910\",\"RegionNum\":0,\"RegionCategory\":null,\"ArticlePicture\":[],\"TitleCN\":null,\"AbstractTextCN\":null,\"PMCID\":null,\"EPubDate\":\"2024/8/19 0:00:00\",\"PubModel\":\"Epub\",\"JCR\":\"Q3\",\"JCRName\":\"GASTROENTEROLOGY & HEPATOLOGY\",\"Score\":null,\"Total\":0}","platform":"Semanticscholar","paperid":null,"PeriodicalName":"Annals of Gastroenterology","FirstCategoryId":"1085","ListUrlMain":"https://doi.org/10.20524/aog.2024.0910","RegionNum":0,"RegionCategory":null,"ArticlePicture":[],"TitleCN":null,"AbstractTextCN":null,"PMCID":null,"EPubDate":"2024/8/19 0:00:00","PubModel":"Epub","JCR":"Q3","JCRName":"GASTROENTEROLOGY & HEPATOLOGY","Score":null,"Total":0}
引用次数: 0

摘要

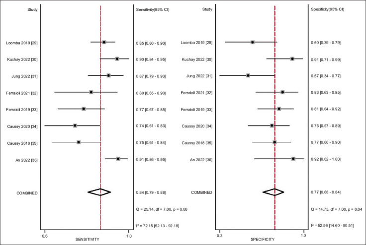
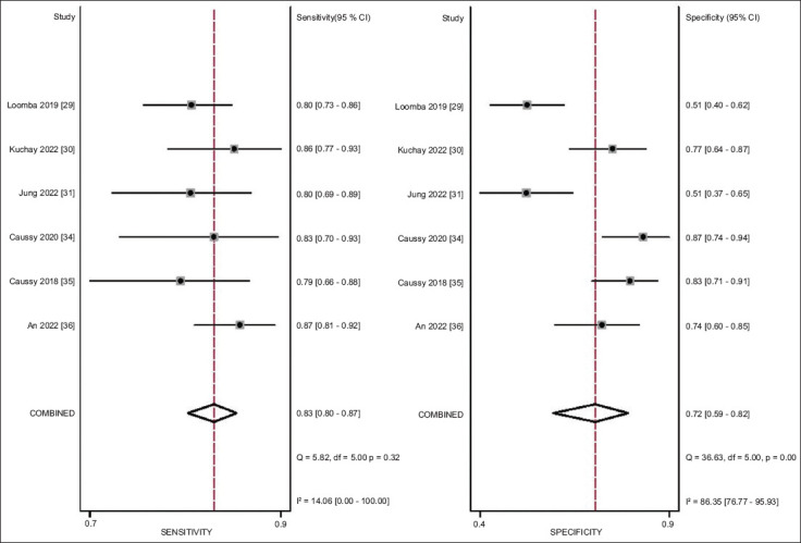
背景:受控衰减参数(CAP)可对肝脏脂肪变性进行无创评估。我们进行了一项系统综述和荟萃分析,以磁共振成像质子密度脂肪分数(MRI-PDFF)为参考标准,评估 CAP 在识别代谢功能障碍相关脂肪性肝病(MASLD)高危患者肝脏脂肪变性方面的诊断准确性:我们检索了 Medline、Embase、Cochrane 图书馆和截至 2024 年 3 月的灰色文献资料。我们将MASLD定义为MRI-PDFF≥5%。我们还评估了 CAP 识别 MRI-PDFF ≥10% 患者的准确性。我们使用分层随机效应模型计算了汇总的灵敏度和特异性估计值。我们使用诊断准确性研究质量评估 2 工具评估了偏倚风险,并使用建议分级评估、开发和评价框架评估了荟萃分析估计值的确定性:我们纳入了 8 项研究,共有 1116 名参与者。MASLD的发病率为65.2%-93.9%。MRI-PDFF≥5%的CAP汇总灵敏度和特异度分别为0.84(95%置信区间[CI] 0.79-0.88)和0.77(95%CI 0.68-0.84),接收者操作特征曲线下面积(AUROC)为0.88。MRI-PDFF ≥10%的集合敏感性和特异性分别为0.83(95%CI 0.80-0.87)和0.72(95%CI 0.59-0.82),接收者操作特征曲线下面积为0.85。由于存在高偏倚风险、不一致性和不精确性,我们的估计值的确定性很低甚至很低:结论:CAP对MRI-PDFF≥5%和MRI-PDFF≥10%的诊断准确性均可接受。为确定最佳的CAP阈值,有必要进行充分的、严格的诊断准确性研究。
本文章由计算机程序翻译,如有差异,请以英文原文为准。

Accuracy of controlled attenuation parameter for liver steatosis in patients at risk for metabolic dysfunction-associated steatotic liver disease using magnetic resonance imaging: a systematic review and meta-analysis.

Accuracy of controlled attenuation parameter for liver steatosis in patients at risk for metabolic dysfunction-associated steatotic liver disease using magnetic resonance imaging: a systematic review and meta-analysis.

Accuracy of controlled attenuation parameter for liver steatosis in patients at risk for metabolic dysfunction-associated steatotic liver disease using magnetic resonance imaging: a systematic review and meta-analysis.

Accuracy of controlled attenuation parameter for liver steatosis in patients at risk for metabolic dysfunction-associated steatotic liver disease using magnetic resonance imaging: a systematic review and meta-analysis.

Background: The controlled attenuation parameter (CAP) enables the noninvasive assessment of liver steatosis. We performed a systematic review and meta-analysis to evaluate the diagnostic accuracy of CAP for identifying liver steatosis in patients at risk for metabolic dysfunction-associated steatotic liver disease (MASLD), using magnetic resonance imaging proton density fat fraction (MRI-PDFF) as the reference standard.

Methods: We searched Medline, Embase, Cochrane Library and gray literature sources up to March 2024. We defined MASLD as MRI-PDFF ≥5%. We also assessed the accuracy of CAP for identifying patients with MRI-PDFF ≥10%. We calculated pooled sensitivity and specificity estimates using hierarchical random-effects models. We assessed the risk of bias using the Quality Assessment of Diagnostic Accuracy Studies 2 tool, and the certainty in meta-analysis estimates using the Grading of Recommendations Assessment, Development and Evaluation framework.

Results: We included 8 studies with 1116 participants. The prevalence of MASLD ranged from 65.2-93.9%. Pooled sensitivity and specificity of CAP for MRI-PDFF ≥5% were 0.84 (95% confidence interval [CI] 0.79-0.88) and 0.77 (95%CI 0.68-0.84), respectively, with an area under the receiver operating characteristic curve (AUROC) of 0.88. The pooled sensitivity and specificity for MRI-PDFF ≥10% were 0.83 (95%CI 0.80-0.87) and 0.72 (95%CI 0.59-0.82), with an AUROC of 0.85. The certainty in our estimates was low to very low because of the high risk of bias, inconsistency and imprecision.

Conclusions: CAP has acceptable diagnostic accuracy for both MRI-PDFF ≥5% and MRI-PDFF ≥10%. Adequately powered and rigorously conducted diagnostic accuracy studies are warranted to establish the optimal CAP thresholds.

求助全文
通过发布文献求助,成功后即可免费获取论文全文。 去求助
来源期刊
Annals of Gastroenterology
Annals of Gastroenterology GASTROENTEROLOGY & HEPATOLOGY-
CiteScore
4.30
自引率
0.00%
发文量
58
×
引用
GB/T 7714-2015
复制
MLA
复制
APA
复制
导出至
BibTeX EndNote RefMan NoteFirst NoteExpress
×
提示
您的信息不完整,为了账户安全,请先补充。
现在去补充
×
提示
您因"违规操作"
具体请查看互助需知
我知道了
×
提示
确定
请完成安全验证×
copy
已复制链接
快去分享给好友吧!
我知道了
右上角分享
点击右上角分享
0
联系我们:info@booksci.cn Book学术提供免费学术资源搜索服务,方便国内外学者检索中英文文献。致力于提供最便捷和优质的服务体验。 Copyright © 2023 布克学术 All rights reserved.
京ICP备2023020795号-1
ghs 京公网安备 11010802042870号
Book学术文献互助
Book学术文献互助群
群 号:604180095
Book学术官方微信