心理健康素养与公众耻辱感:研究 17 个国家的联系。

Medical research archives Pub Date : 2024-07-01 Epub Date: 2024-07-31 DOI:10.18103/mra.v12i7.5471
Gabriele Ciciurkaite, Bernice A Pescosolido
{"title":"心理健康素养与公众耻辱感:研究 17 个国家的联系。","authors":"Gabriele Ciciurkaite, Bernice A Pescosolido","doi":"10.18103/mra.v12i7.5471","DOIUrl":null,"url":null,"abstract":"<p><strong>Background: </strong>Literacy campaigns stand as the most common approach to raising awareness of mental health problems, increasing the use of services, and reducing stigma. However, research suggests that more informed public beliefs may have little effect or even trigger the stigma backlash. We aim to provide a wider, cross-national examination of how stigma varies globally and to examine whether the ability to recognize a mental health problem and see it as \"a disease like any other\" is the optimal roadmap for stigma reduction.</p><p><strong>Methods: </strong>Data came from the Stigma in Global Context - Mental Health Study (SGC-MHS), which were collected from non-institutionalized adults 18 years of age or older through face-to-face interviews using vignettes meeting the Diagnostic and Statistical Manual of Mental Disorders, 4<sup>th</sup> edition clinical criteria for schizophrenia and major depression in 17 countries (N = 18,342; response rate 65.9%). Analyses of association between the public's endorsement of problem recognition, disease attributions, and severity on the desire for social distance were conducted using multivariate regression models in the structural equation modeling framework.</p><p><strong>Results: </strong>For both depression and schizophrenia, countries fell into three groups of low, medium and high levels of public stigma. Consistently, Brazil and Germany anchored the lowest levels, Bangladesh and Hungary reported the highest levels, with Great Britain, USA, Belgium falling in midrange. Measures of mental health literacy did not have uniform effects, but, where significant, tended to align with expectations under labelling theory's ideas about rejection rather than attribution theory's claims for mental health literacy. Ironically, the most stable factor associated with lower stigma is the assessment that the situation will improve on its own, in direct contradiction to literacy theories.</p><p><strong>Conclusion: </strong>Overall results suggest that anti-stigma efforts should move past a focus on mental health literacy or at least recognize its limitation and potential unintended consequences. Recognizing a situation as a mental illness can change the public's support for mental health services to some extent. The association between seeing the problem resolving on its own and lower stigma levels suggests that newer approaches that focus on connectedness and mental health may hold greater purchase to decrease public stigma and increase recovery.</p>","PeriodicalId":94137,"journal":{"name":"Medical research archives","volume":"12 7","pages":""},"PeriodicalIF":0.0000,"publicationDate":"2024-07-01","publicationTypes":"Journal Article","fieldsOfStudy":null,"isOpenAccess":false,"openAccessPdf":"https://www.ncbi.nlm.nih.gov/pmc/articles/PMC11376373/pdf/","citationCount":"0","resultStr":"{\"title\":\"Mental Health Literacy and Public Stigma: Examining the Link in 17 Countries.\",\"authors\":\"Gabriele Ciciurkaite, Bernice A Pescosolido\",\"doi\":\"10.18103/mra.v12i7.5471\",\"DOIUrl\":null,\"url\":null,\"abstract\":\"<p><strong>Background: </strong>Literacy campaigns stand as the most common approach to raising awareness of mental health problems, increasing the use of services, and reducing stigma. However, research suggests that more informed public beliefs may have little effect or even trigger the stigma backlash. We aim to provide a wider, cross-national examination of how stigma varies globally and to examine whether the ability to recognize a mental health problem and see it as \\\"a disease like any other\\\" is the optimal roadmap for stigma reduction.</p><p><strong>Methods: </strong>Data came from the Stigma in Global Context - Mental Health Study (SGC-MHS), which were collected from non-institutionalized adults 18 years of age or older through face-to-face interviews using vignettes meeting the Diagnostic and Statistical Manual of Mental Disorders, 4<sup>th</sup> edition clinical criteria for schizophrenia and major depression in 17 countries (N = 18,342; response rate 65.9%). Analyses of association between the public's endorsement of problem recognition, disease attributions, and severity on the desire for social distance were conducted using multivariate regression models in the structural equation modeling framework.</p><p><strong>Results: </strong>For both depression and schizophrenia, countries fell into three groups of low, medium and high levels of public stigma. Consistently, Brazil and Germany anchored the lowest levels, Bangladesh and Hungary reported the highest levels, with Great Britain, USA, Belgium falling in midrange. Measures of mental health literacy did not have uniform effects, but, where significant, tended to align with expectations under labelling theory's ideas about rejection rather than attribution theory's claims for mental health literacy. Ironically, the most stable factor associated with lower stigma is the assessment that the situation will improve on its own, in direct contradiction to literacy theories.</p><p><strong>Conclusion: </strong>Overall results suggest that anti-stigma efforts should move past a focus on mental health literacy or at least recognize its limitation and potential unintended consequences. Recognizing a situation as a mental illness can change the public's support for mental health services to some extent. The association between seeing the problem resolving on its own and lower stigma levels suggests that newer approaches that focus on connectedness and mental health may hold greater purchase to decrease public stigma and increase recovery.</p>\",\"PeriodicalId\":94137,\"journal\":{\"name\":\"Medical research archives\",\"volume\":\"12 7\",\"pages\":\"\"},\"PeriodicalIF\":0.0000,\"publicationDate\":\"2024-07-01\",\"publicationTypes\":\"Journal Article\",\"fieldsOfStudy\":null,\"isOpenAccess\":false,\"openAccessPdf\":\"https://www.ncbi.nlm.nih.gov/pmc/articles/PMC11376373/pdf/\",\"citationCount\":\"0\",\"resultStr\":null,\"platform\":\"Semanticscholar\",\"paperid\":null,\"PeriodicalName\":\"Medical research archives\",\"FirstCategoryId\":\"1085\",\"ListUrlMain\":\"https://doi.org/10.18103/mra.v12i7.5471\",\"RegionNum\":0,\"RegionCategory\":null,\"ArticlePicture\":[],\"TitleCN\":null,\"AbstractTextCN\":null,\"PMCID\":null,\"EPubDate\":\"2024/7/31 0:00:00\",\"PubModel\":\"Epub\",\"JCR\":\"\",\"JCRName\":\"\",\"Score\":null,\"Total\":0}","platform":"Semanticscholar","paperid":null,"PeriodicalName":"Medical research archives","FirstCategoryId":"1085","ListUrlMain":"https://doi.org/10.18103/mra.v12i7.5471","RegionNum":0,"RegionCategory":null,"ArticlePicture":[],"TitleCN":null,"AbstractTextCN":null,"PMCID":null,"EPubDate":"2024/7/31 0:00:00","PubModel":"Epub","JCR":"","JCRName":"","Score":null,"Total":0}
引用次数: 0

摘要

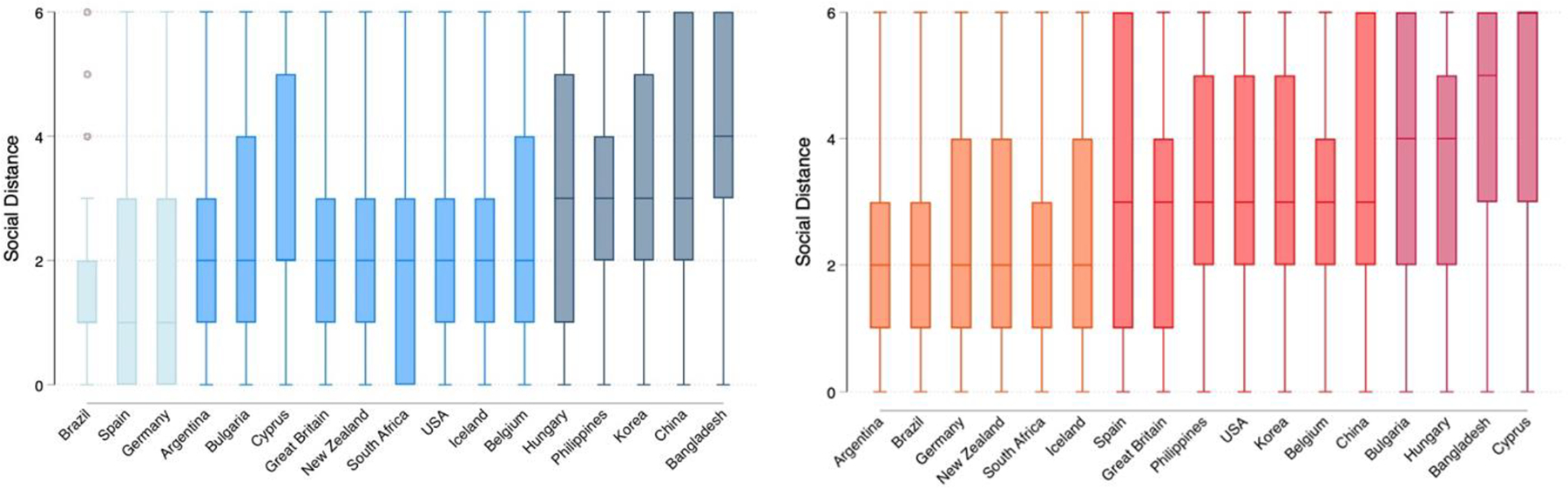
背景:扫盲运动是提高人们对心理健康问题的认识、增加服务的使用和减少耻辱感的最常见方法。然而,研究表明,更多知情的公众信念可能收效甚微,甚至会引发成见反弹。我们的目标是对全球范围内的成见差异进行更广泛的跨国研究,并探讨认识到心理健康问题并将其视为 "与其他疾病一样的疾病 "的能力是否是减少成见的最佳路线图:数据来源于《全球背景下的污名化--心理健康研究》(SGC-MHS),该研究通过面对面访谈的方式收集了17个国家18岁及以上非住院成年人的数据,访谈中使用的小故事符合《精神疾病诊断与统计手册》第四版精神分裂症和重度抑郁症的临床标准(样本数=18342;回复率为65.9%)。在结构方程建模框架下,使用多变量回归模型分析了公众对问题认识、疾病归因和严重程度的认可与对社会距离的渴望之间的关联:就抑郁症和精神分裂症而言,各国的公众污名化程度分为低、中、高三组。巴西和德国的公众污名化程度最低,孟加拉国和匈牙利的公众污名化程度最高,英国、美国和比利时的公众污名化程度处于中等水平。心理健康素养的衡量标准并没有统一的效果,但在有意义的情况下,往往与贴标签理论关于拒绝的观点而不是归因理论关于心理健康素养的主张相一致。具有讽刺意味的是,与降低成见相关的最稳定因素是对情况会自行改善的评估,这与扫盲理论直接矛盾:总体结果表明,反污名化工作应超越对心理健康素养的关注,或至少认识到其局限性和潜在的意外后果。承认某种情况属于精神疾病,可以在一定程度上改变公众对心理健康服务的支持。看到问题自行解决与污名化程度降低之间的联系表明,注重联系性和心理健康的新方法可能更有可能减少公众的污名化,提高康复率。
本文章由计算机程序翻译,如有差异,请以英文原文为准。

Mental Health Literacy and Public Stigma: Examining the Link in 17 Countries.

Mental Health Literacy and Public Stigma: Examining the Link in 17 Countries.

Mental Health Literacy and Public Stigma: Examining the Link in 17 Countries.

Background: Literacy campaigns stand as the most common approach to raising awareness of mental health problems, increasing the use of services, and reducing stigma. However, research suggests that more informed public beliefs may have little effect or even trigger the stigma backlash. We aim to provide a wider, cross-national examination of how stigma varies globally and to examine whether the ability to recognize a mental health problem and see it as "a disease like any other" is the optimal roadmap for stigma reduction.

Methods: Data came from the Stigma in Global Context - Mental Health Study (SGC-MHS), which were collected from non-institutionalized adults 18 years of age or older through face-to-face interviews using vignettes meeting the Diagnostic and Statistical Manual of Mental Disorders, 4th edition clinical criteria for schizophrenia and major depression in 17 countries (N = 18,342; response rate 65.9%). Analyses of association between the public's endorsement of problem recognition, disease attributions, and severity on the desire for social distance were conducted using multivariate regression models in the structural equation modeling framework.

Results: For both depression and schizophrenia, countries fell into three groups of low, medium and high levels of public stigma. Consistently, Brazil and Germany anchored the lowest levels, Bangladesh and Hungary reported the highest levels, with Great Britain, USA, Belgium falling in midrange. Measures of mental health literacy did not have uniform effects, but, where significant, tended to align with expectations under labelling theory's ideas about rejection rather than attribution theory's claims for mental health literacy. Ironically, the most stable factor associated with lower stigma is the assessment that the situation will improve on its own, in direct contradiction to literacy theories.

Conclusion: Overall results suggest that anti-stigma efforts should move past a focus on mental health literacy or at least recognize its limitation and potential unintended consequences. Recognizing a situation as a mental illness can change the public's support for mental health services to some extent. The association between seeing the problem resolving on its own and lower stigma levels suggests that newer approaches that focus on connectedness and mental health may hold greater purchase to decrease public stigma and increase recovery.

求助全文
通过发布文献求助,成功后即可免费获取论文全文。 去求助
来源期刊
自引率
0.00%
发文量
0
×
引用
GB/T 7714-2015
复制
MLA
复制
APA
复制
导出至
BibTeX EndNote RefMan NoteFirst NoteExpress
×
提示
您的信息不完整,为了账户安全,请先补充。
现在去补充
×
提示
您因"违规操作"
具体请查看互助需知
我知道了
×
提示
确定
请完成安全验证×
copy
已复制链接
快去分享给好友吧!
我知道了
右上角分享
点击右上角分享
0
联系我们:info@booksci.cn Book学术提供免费学术资源搜索服务,方便国内外学者检索中英文文献。致力于提供最便捷和优质的服务体验。 Copyright © 2023 布克学术 All rights reserved.
京ICP备2023020795号-1
ghs 京公网安备 11010802042870号
Book学术文献互助
Book学术文献互助群
群 号:604180095
Book学术官方微信