作为柚木(Tectona grandis L.f.)种植园农林业组成部分的阿德雷(Coix lacryma-jobi L.)的表现。

IF 0.9 Q3 BIOLOGY
Tropical life sciences research Pub Date : 2024-07-01 Epub Date: 2024-07-31 DOI:10.21315/tlsr2024.35.2.5
Titi Juhaeti, Nuril Hidayati, Ninik Setyowati, Albert Husen Wawo, Wahyu Widiyono
{"title":"作为柚木(Tectona grandis L.f.)种植园农林业组成部分的阿德雷(Coix lacryma-jobi L.)的表现。","authors":"Titi Juhaeti, Nuril Hidayati, Ninik Setyowati, Albert Husen Wawo, Wahyu Widiyono","doi":"10.21315/tlsr2024.35.2.5","DOIUrl":null,"url":null,"abstract":"<p><p>Adlay is an edible high nutritious minor cereal. The research aimed to study the adlay performance when cultivated intercropped on young teak (<i>Tectona grandis</i> L.f.) plantation. The treatments were consisted of two factors that were arranged by factorial (3 × 3) in randomised completed block design with four replicates. The first factor was three fertilisation dosages of NPK (16-16-16), as 0 g/hole (F0), 2 g/hole (F2) and 4 g/hole (F4). The second factors were three planting space as 2 m × 2 m (PS2), 3 m × 3 m (PS3) and 4 m × 4 m (PS4). The parameter observed were vegetative growth which was consisted of plant height, the number of leaves, tillers and sub tillers, leaf chlorophyll content, grain production and biomass weight. The results revealed that fertilisation treatment were significantly affected the growth and production of adlay. On 12 weeks after planting, the F4 treatment produced the tallest plant, and the highest leaf number. The highest grain number/plant was achieved on the F2 treatment that was significantly different compared with the control (F0). The shading intensity due to the teak coverage significantly affected adlay growth and production. The PS4 treatment produced the highest number of leaves, tillers and grains. The combination of F2 and PS4 treatments resulted in the best growth and production. The PS2 treatment which has lower light intercepted by plants due to lower incident light intensity, resulting in a significant reduction in plant growth and production. It is suggested that adlay offers potency as a component of agro-forestry on the teak plantations.</p>","PeriodicalId":23477,"journal":{"name":"Tropical life sciences research","volume":"35 2","pages":"87-106"},"PeriodicalIF":0.9000,"publicationDate":"2024-07-01","publicationTypes":"Journal Article","fieldsOfStudy":null,"isOpenAccess":false,"openAccessPdf":"https://www.ncbi.nlm.nih.gov/pmc/articles/PMC11371402/pdf/","citationCount":"0","resultStr":"{\"title\":\"The Performances of Adlay (<i>Coix lacryma-jobi</i> L.) As Component of Agroforestry on Teak (<i>Tectona grandis</i> L.f.) Plantation.\",\"authors\":\"Titi Juhaeti, Nuril Hidayati, Ninik Setyowati, Albert Husen Wawo, Wahyu Widiyono\",\"doi\":\"10.21315/tlsr2024.35.2.5\",\"DOIUrl\":null,\"url\":null,\"abstract\":\"<p><p>Adlay is an edible high nutritious minor cereal. The research aimed to study the adlay performance when cultivated intercropped on young teak (<i>Tectona grandis</i> L.f.) plantation. The treatments were consisted of two factors that were arranged by factorial (3 × 3) in randomised completed block design with four replicates. The first factor was three fertilisation dosages of NPK (16-16-16), as 0 g/hole (F0), 2 g/hole (F2) and 4 g/hole (F4). The second factors were three planting space as 2 m × 2 m (PS2), 3 m × 3 m (PS3) and 4 m × 4 m (PS4). The parameter observed were vegetative growth which was consisted of plant height, the number of leaves, tillers and sub tillers, leaf chlorophyll content, grain production and biomass weight. The results revealed that fertilisation treatment were significantly affected the growth and production of adlay. On 12 weeks after planting, the F4 treatment produced the tallest plant, and the highest leaf number. The highest grain number/plant was achieved on the F2 treatment that was significantly different compared with the control (F0). The shading intensity due to the teak coverage significantly affected adlay growth and production. The PS4 treatment produced the highest number of leaves, tillers and grains. The combination of F2 and PS4 treatments resulted in the best growth and production. The PS2 treatment which has lower light intercepted by plants due to lower incident light intensity, resulting in a significant reduction in plant growth and production. It is suggested that adlay offers potency as a component of agro-forestry on the teak plantations.</p>\",\"PeriodicalId\":23477,\"journal\":{\"name\":\"Tropical life sciences research\",\"volume\":\"35 2\",\"pages\":\"87-106\"},\"PeriodicalIF\":0.9000,\"publicationDate\":\"2024-07-01\",\"publicationTypes\":\"Journal Article\",\"fieldsOfStudy\":null,\"isOpenAccess\":false,\"openAccessPdf\":\"https://www.ncbi.nlm.nih.gov/pmc/articles/PMC11371402/pdf/\",\"citationCount\":\"0\",\"resultStr\":null,\"platform\":\"Semanticscholar\",\"paperid\":null,\"PeriodicalName\":\"Tropical life sciences research\",\"FirstCategoryId\":\"1085\",\"ListUrlMain\":\"https://doi.org/10.21315/tlsr2024.35.2.5\",\"RegionNum\":0,\"RegionCategory\":null,\"ArticlePicture\":[],\"TitleCN\":null,\"AbstractTextCN\":null,\"PMCID\":null,\"EPubDate\":\"2024/7/31 0:00:00\",\"PubModel\":\"Epub\",\"JCR\":\"Q3\",\"JCRName\":\"BIOLOGY\",\"Score\":null,\"Total\":0}","platform":"Semanticscholar","paperid":null,"PeriodicalName":"Tropical life sciences research","FirstCategoryId":"1085","ListUrlMain":"https://doi.org/10.21315/tlsr2024.35.2.5","RegionNum":0,"RegionCategory":null,"ArticlePicture":[],"TitleCN":null,"AbstractTextCN":null,"PMCID":null,"EPubDate":"2024/7/31 0:00:00","PubModel":"Epub","JCR":"Q3","JCRName":"BIOLOGY","Score":null,"Total":0}
引用次数: 0

摘要

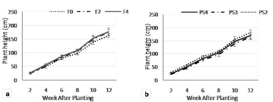
糯稻是一种可食用的高营养小谷物。这项研究的目的是研究在幼柚木(Tectona grandis L.f.)种植园间作种植 Adlay 时的表现。处理由两个因素组成,采用因子(3 × 3)随机整群设计,四个重复。第一个因子是三种氮磷钾(16-16-16)施肥量,分别为 0 克/穴(F0)、2 克/穴(F2)和 4 克/穴(F4)。第二个因素是三种种植空间,分别为 2 米×2 米(PS2)、3 米×3 米(PS3)和 4 米×4 米(PS4)。观察参数为植株生长,包括株高、叶片数、分蘖和亚分蘖数、叶片叶绿素含量、谷物产量和生物量重量。结果表明,施肥处理对簕杜鹃的生长和产量有显著影响。播种 12 周后,F4 处理的植株最高,叶片数也最多。与对照(F0)相比,F2 处理的粒数/株最高,差异显著。柚木覆盖造成的遮荫强度对簕杜鹃的生长和产量有明显影响。PS4 处理的叶片数、分蘖数和谷粒数最高。F2 和 PS4 处理组合的生长和产量最好。PS2 处理由于入射光强度较低,植物截获的光量较少,导致植物生长和产量显著下降。这表明,柚木作为柚木种植园农林业的一个组成部分具有潜力。
本文章由计算机程序翻译,如有差异,请以英文原文为准。

The Performances of Adlay (<i>Coix lacryma-jobi</i> L.) As Component of Agroforestry on Teak (<i>Tectona grandis</i> L.f.) Plantation.

The Performances of Adlay (<i>Coix lacryma-jobi</i> L.) As Component of Agroforestry on Teak (<i>Tectona grandis</i> L.f.) Plantation.

The Performances of Adlay (<i>Coix lacryma-jobi</i> L.) As Component of Agroforestry on Teak (<i>Tectona grandis</i> L.f.) Plantation.

The Performances of Adlay (Coix lacryma-jobi L.) As Component of Agroforestry on Teak (Tectona grandis L.f.) Plantation.

Adlay is an edible high nutritious minor cereal. The research aimed to study the adlay performance when cultivated intercropped on young teak (Tectona grandis L.f.) plantation. The treatments were consisted of two factors that were arranged by factorial (3 × 3) in randomised completed block design with four replicates. The first factor was three fertilisation dosages of NPK (16-16-16), as 0 g/hole (F0), 2 g/hole (F2) and 4 g/hole (F4). The second factors were three planting space as 2 m × 2 m (PS2), 3 m × 3 m (PS3) and 4 m × 4 m (PS4). The parameter observed were vegetative growth which was consisted of plant height, the number of leaves, tillers and sub tillers, leaf chlorophyll content, grain production and biomass weight. The results revealed that fertilisation treatment were significantly affected the growth and production of adlay. On 12 weeks after planting, the F4 treatment produced the tallest plant, and the highest leaf number. The highest grain number/plant was achieved on the F2 treatment that was significantly different compared with the control (F0). The shading intensity due to the teak coverage significantly affected adlay growth and production. The PS4 treatment produced the highest number of leaves, tillers and grains. The combination of F2 and PS4 treatments resulted in the best growth and production. The PS2 treatment which has lower light intercepted by plants due to lower incident light intensity, resulting in a significant reduction in plant growth and production. It is suggested that adlay offers potency as a component of agro-forestry on the teak plantations.

求助全文
通过发布文献求助,成功后即可免费获取论文全文。 去求助
来源期刊
CiteScore
2.60
自引率
0.00%
发文量
40
审稿时长
20 weeks
期刊介绍: Tropical Life Sciences Research (TLSR) formerly known as Journal of Bioscience seeks to publish relevant ideas and knowledge addressing vital life sciences issues in the tropical region. The Journal’s scope is interdisciplinary in nature and covers any aspects related to issues on life sciences especially from the field of biochemistry, microbiology, biotechnology and animal, plant, environmental, biomedical and pharmaceutical sciences. TLSR practices double blind peer review system to ensure and maintain the good quality of articles published in this journal. Two issues are published annually in printed and electronic form. TLSR also accepts review articles, experimental papers and short communications. The Chief Editor would like to invite researchers to use this journal as a mean to rapidly promote their research findings.
×
引用
GB/T 7714-2015
复制
MLA
复制
APA
复制
导出至
BibTeX EndNote RefMan NoteFirst NoteExpress
×
提示
您的信息不完整,为了账户安全,请先补充。
现在去补充
×
提示
您因"违规操作"
具体请查看互助需知
我知道了
×
提示
确定
请完成安全验证×
copy
已复制链接
快去分享给好友吧!
我知道了
右上角分享
点击右上角分享
0
联系我们:info@booksci.cn Book学术提供免费学术资源搜索服务,方便国内外学者检索中英文文献。致力于提供最便捷和优质的服务体验。 Copyright © 2023 布克学术 All rights reserved.
京ICP备2023020795号-1
ghs 京公网安备 11010802042870号
Book学术文献互助
Book学术文献互助群
群 号:604180095
Book学术官方微信