从运动模式检测海鸟行为的效率:取样频率对推断鳞翅目海鸟运动指标的影响。

IF 3.9 1区 生物学 Q2 ECOLOGY
Stefan Schoombie, Rory P Wilson, Yan Ropert-Coudert, Ben J Dilley, Peter G Ryan
{"title":"从运动模式检测海鸟行为的效率:取样频率对推断鳞翅目海鸟运动指标的影响。","authors":"Stefan Schoombie, Rory P Wilson, Yan Ropert-Coudert, Ben J Dilley, Peter G Ryan","doi":"10.1186/s40462-024-00499-1","DOIUrl":null,"url":null,"abstract":"<p><strong>Background: </strong>Recent technological advances have resulted in low-cost GPS loggers that are small enough to be used on a range of seabirds, producing accurate location estimates (± 5 m) at sampling intervals as low as 1 s. However, tradeoffs between battery life and sampling frequency result in studies using GPS loggers on flying seabirds yielding locational data at a wide range of sampling intervals. Metrics derived from these data are known to be scale-sensitive, but quantification of these errors is rarely available. Very frequent sampling, coupled with limited movement, can result in measurement error, overestimating movement, but a much more pervasive problem results from sampling at long intervals, which grossly underestimates path lengths.</p><p><strong>Methods: </strong>We use fine-scale (1 Hz) GPS data from a range of albatrosses and petrels to study the effect of sampling interval on metrics derived from the data. The GPS paths were sub-sampled at increasing intervals to show the effect on path length (i.e. ground speed), turning angles, total distance travelled, as well as inferred behavioural states.</p><p><strong>Results: </strong>We show that distances (and per implication ground speeds) are overestimated (4% on average, but up to 20%) at the shortest sampling intervals (1-5 s) and underestimated at longer intervals. The latter bias is greater for more sinuous flights (underestimated by on average 40% when sampling > 1-min intervals) as opposed to straight flight (11%). Although sample sizes were modest, the effect of the bias seemingly varied with species, where species with more sinuous flight modes had larger bias. Sampling intervals also played a large role when inferring behavioural states from path length and turning angles.</p><p><strong>Conclusions: </strong>Location estimates from low-cost GPS loggers are appropriate to study the large-scale movements of seabirds when using coarse sampling intervals, but actual flight distances are underestimated. When inferring behavioural states from path lengths and turning angles, moderate sampling intervals (10-30 min) may provide more stable models, but the accuracy of the inferred behavioural states will depend on the time period associated with specific behaviours. Sampling rates have to be considered when comparing behaviours derived using varying sampling intervals and the use of bias-informed analyses are encouraged.</p>","PeriodicalId":54288,"journal":{"name":"Movement Ecology","volume":"12 1","pages":"59"},"PeriodicalIF":3.9000,"publicationDate":"2024-09-02","publicationTypes":"Journal Article","fieldsOfStudy":null,"isOpenAccess":false,"openAccessPdf":"https://www.ncbi.nlm.nih.gov/pmc/articles/PMC11370088/pdf/","citationCount":"0","resultStr":"{\"title\":\"The efficiency of detecting seabird behaviour from movement patterns: the effect of sampling frequency on inferring movement metrics in Procellariiformes.\",\"authors\":\"Stefan Schoombie, Rory P Wilson, Yan Ropert-Coudert, Ben J Dilley, Peter G Ryan\",\"doi\":\"10.1186/s40462-024-00499-1\",\"DOIUrl\":null,\"url\":null,\"abstract\":\"<p><strong>Background: </strong>Recent technological advances have resulted in low-cost GPS loggers that are small enough to be used on a range of seabirds, producing accurate location estimates (± 5 m) at sampling intervals as low as 1 s. However, tradeoffs between battery life and sampling frequency result in studies using GPS loggers on flying seabirds yielding locational data at a wide range of sampling intervals. Metrics derived from these data are known to be scale-sensitive, but quantification of these errors is rarely available. Very frequent sampling, coupled with limited movement, can result in measurement error, overestimating movement, but a much more pervasive problem results from sampling at long intervals, which grossly underestimates path lengths.</p><p><strong>Methods: </strong>We use fine-scale (1 Hz) GPS data from a range of albatrosses and petrels to study the effect of sampling interval on metrics derived from the data. The GPS paths were sub-sampled at increasing intervals to show the effect on path length (i.e. ground speed), turning angles, total distance travelled, as well as inferred behavioural states.</p><p><strong>Results: </strong>We show that distances (and per implication ground speeds) are overestimated (4% on average, but up to 20%) at the shortest sampling intervals (1-5 s) and underestimated at longer intervals. The latter bias is greater for more sinuous flights (underestimated by on average 40% when sampling > 1-min intervals) as opposed to straight flight (11%). Although sample sizes were modest, the effect of the bias seemingly varied with species, where species with more sinuous flight modes had larger bias. Sampling intervals also played a large role when inferring behavioural states from path length and turning angles.</p><p><strong>Conclusions: </strong>Location estimates from low-cost GPS loggers are appropriate to study the large-scale movements of seabirds when using coarse sampling intervals, but actual flight distances are underestimated. When inferring behavioural states from path lengths and turning angles, moderate sampling intervals (10-30 min) may provide more stable models, but the accuracy of the inferred behavioural states will depend on the time period associated with specific behaviours. Sampling rates have to be considered when comparing behaviours derived using varying sampling intervals and the use of bias-informed analyses are encouraged.</p>\",\"PeriodicalId\":54288,\"journal\":{\"name\":\"Movement Ecology\",\"volume\":\"12 1\",\"pages\":\"59\"},\"PeriodicalIF\":3.9000,\"publicationDate\":\"2024-09-02\",\"publicationTypes\":\"Journal Article\",\"fieldsOfStudy\":null,\"isOpenAccess\":false,\"openAccessPdf\":\"https://www.ncbi.nlm.nih.gov/pmc/articles/PMC11370088/pdf/\",\"citationCount\":\"0\",\"resultStr\":null,\"platform\":\"Semanticscholar\",\"paperid\":null,\"PeriodicalName\":\"Movement Ecology\",\"FirstCategoryId\":\"99\",\"ListUrlMain\":\"https://doi.org/10.1186/s40462-024-00499-1\",\"RegionNum\":1,\"RegionCategory\":\"生物学\",\"ArticlePicture\":[],\"TitleCN\":null,\"AbstractTextCN\":null,\"PMCID\":null,\"EPubDate\":\"\",\"PubModel\":\"\",\"JCR\":\"Q2\",\"JCRName\":\"ECOLOGY\",\"Score\":null,\"Total\":0}","platform":"Semanticscholar","paperid":null,"PeriodicalName":"Movement Ecology","FirstCategoryId":"99","ListUrlMain":"https://doi.org/10.1186/s40462-024-00499-1","RegionNum":1,"RegionCategory":"生物学","ArticlePicture":[],"TitleCN":null,"AbstractTextCN":null,"PMCID":null,"EPubDate":"","PubModel":"","JCR":"Q2","JCRName":"ECOLOGY","Score":null,"Total":0}
引用次数: 0

摘要

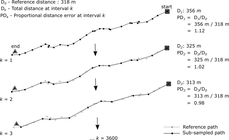
背景:然而,由于电池寿命和采样频率之间的权衡,在对飞行海鸟使用 GPS 记录器进行研究时,得到的定位数据采样间隔范围很广。众所周知,从这些数据中得出的指标对尺度敏感,但很少有量化这些误差的方法。非常频繁的采样,加上有限的运动,可能会导致测量误差,高估运动量,但更普遍的问题是采样间隔过长,严重低估了路径长度:方法:我们使用一系列信天翁和海燕的细粒度(1赫兹)GPS数据,研究取样间隔对从数据中得出的指标的影响。对GPS路径的取样间隔不断增加,以显示对路径长度(即地面速度)、转弯角度、总行程以及推断行为状态的影响:我们发现,在最短的采样间隔(1-5 秒)内,距离(以及地面速度)被高估了(平均 4%,最高达 20%),而在更长的采样间隔内,距离(以及地面速度)被低估了。与直线飞行(11%)相比,蜿蜒飞行(采样间隔大于 1 分钟时平均低估 40%)的后一种偏差更大。虽然样本量不大,但偏差的影响似乎因物种而异,飞行模式更蜿蜒的物种偏差更大。从路径长度和转弯角度推断行为状态时,取样间隔也起了很大作用:结论:当使用较粗的取样间隔时,低成本 GPS 记录器的位置估计值适合研究海鸟的大规模运动,但实际飞行距离会被低估。从路径长度和转弯角度推断行为状态时,中等取样间隔(10-30 分钟)可能提供更稳定的模型,但推断行为状态的准确性取决于与特定行为相关的时间段。在比较使用不同采样间隔得出的行为时,必须考虑采样率,并鼓励使用有偏差的分析方法。
本文章由计算机程序翻译,如有差异,请以英文原文为准。

The efficiency of detecting seabird behaviour from movement patterns: the effect of sampling frequency on inferring movement metrics in Procellariiformes.

The efficiency of detecting seabird behaviour from movement patterns: the effect of sampling frequency on inferring movement metrics in Procellariiformes.

The efficiency of detecting seabird behaviour from movement patterns: the effect of sampling frequency on inferring movement metrics in Procellariiformes.

The efficiency of detecting seabird behaviour from movement patterns: the effect of sampling frequency on inferring movement metrics in Procellariiformes.

Background: Recent technological advances have resulted in low-cost GPS loggers that are small enough to be used on a range of seabirds, producing accurate location estimates (± 5 m) at sampling intervals as low as 1 s. However, tradeoffs between battery life and sampling frequency result in studies using GPS loggers on flying seabirds yielding locational data at a wide range of sampling intervals. Metrics derived from these data are known to be scale-sensitive, but quantification of these errors is rarely available. Very frequent sampling, coupled with limited movement, can result in measurement error, overestimating movement, but a much more pervasive problem results from sampling at long intervals, which grossly underestimates path lengths.

Methods: We use fine-scale (1 Hz) GPS data from a range of albatrosses and petrels to study the effect of sampling interval on metrics derived from the data. The GPS paths were sub-sampled at increasing intervals to show the effect on path length (i.e. ground speed), turning angles, total distance travelled, as well as inferred behavioural states.

Results: We show that distances (and per implication ground speeds) are overestimated (4% on average, but up to 20%) at the shortest sampling intervals (1-5 s) and underestimated at longer intervals. The latter bias is greater for more sinuous flights (underestimated by on average 40% when sampling > 1-min intervals) as opposed to straight flight (11%). Although sample sizes were modest, the effect of the bias seemingly varied with species, where species with more sinuous flight modes had larger bias. Sampling intervals also played a large role when inferring behavioural states from path length and turning angles.

Conclusions: Location estimates from low-cost GPS loggers are appropriate to study the large-scale movements of seabirds when using coarse sampling intervals, but actual flight distances are underestimated. When inferring behavioural states from path lengths and turning angles, moderate sampling intervals (10-30 min) may provide more stable models, but the accuracy of the inferred behavioural states will depend on the time period associated with specific behaviours. Sampling rates have to be considered when comparing behaviours derived using varying sampling intervals and the use of bias-informed analyses are encouraged.

求助全文
通过发布文献求助,成功后即可免费获取论文全文。 去求助
来源期刊
Movement Ecology
Movement Ecology Agricultural and Biological Sciences-Ecology, Evolution, Behavior and Systematics
CiteScore
6.60
自引率
4.90%
发文量
47
审稿时长
23 weeks
期刊介绍: Movement Ecology is an open-access interdisciplinary journal publishing novel insights from empirical and theoretical approaches into the ecology of movement of the whole organism - either animals, plants or microorganisms - as the central theme. We welcome manuscripts on any taxa and any movement phenomena (e.g. foraging, dispersal and seasonal migration) addressing important research questions on the patterns, mechanisms, causes and consequences of organismal movement. Manuscripts will be rigorously peer-reviewed to ensure novelty and high quality.
×
引用
GB/T 7714-2015
复制
MLA
复制
APA
复制
导出至
BibTeX EndNote RefMan NoteFirst NoteExpress
×
提示
您的信息不完整,为了账户安全,请先补充。
现在去补充
×
提示
您因"违规操作"
具体请查看互助需知
我知道了
×
提示
确定
请完成安全验证×
copy
已复制链接
快去分享给好友吧!
我知道了
右上角分享
点击右上角分享
0
联系我们:info@booksci.cn Book学术提供免费学术资源搜索服务,方便国内外学者检索中英文文献。致力于提供最便捷和优质的服务体验。 Copyright © 2023 布克学术 All rights reserved.
京ICP备2023020795号-1
ghs 京公网安备 11010802042870号
Book学术文献互助
Book学术文献互助群
群 号:604180095
Book学术官方微信