半个世纪以来,英国必须迁徙和部分迁徙的雀形目鸟类在形态和燃料负荷方面的不同变化。

IF 3.9 1区 生物学 Q2 ECOLOGY
Holly R W Pickett, Robert A Robinson, Robert L Nudds
{"title":"半个世纪以来,英国必须迁徙和部分迁徙的雀形目鸟类在形态和燃料负荷方面的不同变化。","authors":"Holly R W Pickett, Robert A Robinson, Robert L Nudds","doi":"10.1186/s40462-024-00497-3","DOIUrl":null,"url":null,"abstract":"<p><p>Migratory distances and stopover locations are changing for many passerines in response to climate change. Morphological changes have been linked to rising global temperatures in both migrants and residents, but the implications of these changes on fuel loads, and associated flight ranges are little studied. Wing length and body mass changes between 1964 and 2020 were calculated for 15 migrant and partially migrant passerines in Britain. Changes in fuel load and lean body mass were also estimated and used to predict flight ranges. Twelve of the species have undergone morphological changes and eight species, estimated fuel load changes. Nine species were estimated to have reduced flight ranges, indicating that the morphological changes have not compensated fully for the reduction in flight range experienced since 1964. Partial migrants showed greater decreases in flight ranges than did full migrants, which may indicate greater behavioural plasticity in the former. Those species which do not adapt morphologically or behaviourally may be unable to complete long migrations, resulting in restriction to sub-optimal breeding/wintering habitats, or a need for a sooner first stop and more stops en route. This highlights the importance of conserving migratory stopover sites, particularly in the Mediterranean and North Africa that immediately precede major geographical barriers, as-well-as breeding and wintering grounds.</p>","PeriodicalId":54288,"journal":{"name":"Movement Ecology","volume":"12 1","pages":"60"},"PeriodicalIF":3.9000,"publicationDate":"2024-09-02","publicationTypes":"Journal Article","fieldsOfStudy":null,"isOpenAccess":false,"openAccessPdf":"https://www.ncbi.nlm.nih.gov/pmc/articles/PMC11370066/pdf/","citationCount":"0","resultStr":"{\"title\":\"Differential changes in the morphology and fuel loads of obligatory and partial migrant passerines over half a century in Britain.\",\"authors\":\"Holly R W Pickett, Robert A Robinson, Robert L Nudds\",\"doi\":\"10.1186/s40462-024-00497-3\",\"DOIUrl\":null,\"url\":null,\"abstract\":\"<p><p>Migratory distances and stopover locations are changing for many passerines in response to climate change. Morphological changes have been linked to rising global temperatures in both migrants and residents, but the implications of these changes on fuel loads, and associated flight ranges are little studied. Wing length and body mass changes between 1964 and 2020 were calculated for 15 migrant and partially migrant passerines in Britain. Changes in fuel load and lean body mass were also estimated and used to predict flight ranges. Twelve of the species have undergone morphological changes and eight species, estimated fuel load changes. Nine species were estimated to have reduced flight ranges, indicating that the morphological changes have not compensated fully for the reduction in flight range experienced since 1964. Partial migrants showed greater decreases in flight ranges than did full migrants, which may indicate greater behavioural plasticity in the former. Those species which do not adapt morphologically or behaviourally may be unable to complete long migrations, resulting in restriction to sub-optimal breeding/wintering habitats, or a need for a sooner first stop and more stops en route. This highlights the importance of conserving migratory stopover sites, particularly in the Mediterranean and North Africa that immediately precede major geographical barriers, as-well-as breeding and wintering grounds.</p>\",\"PeriodicalId\":54288,\"journal\":{\"name\":\"Movement Ecology\",\"volume\":\"12 1\",\"pages\":\"60\"},\"PeriodicalIF\":3.9000,\"publicationDate\":\"2024-09-02\",\"publicationTypes\":\"Journal Article\",\"fieldsOfStudy\":null,\"isOpenAccess\":false,\"openAccessPdf\":\"https://www.ncbi.nlm.nih.gov/pmc/articles/PMC11370066/pdf/\",\"citationCount\":\"0\",\"resultStr\":null,\"platform\":\"Semanticscholar\",\"paperid\":null,\"PeriodicalName\":\"Movement Ecology\",\"FirstCategoryId\":\"99\",\"ListUrlMain\":\"https://doi.org/10.1186/s40462-024-00497-3\",\"RegionNum\":1,\"RegionCategory\":\"生物学\",\"ArticlePicture\":[],\"TitleCN\":null,\"AbstractTextCN\":null,\"PMCID\":null,\"EPubDate\":\"\",\"PubModel\":\"\",\"JCR\":\"Q2\",\"JCRName\":\"ECOLOGY\",\"Score\":null,\"Total\":0}","platform":"Semanticscholar","paperid":null,"PeriodicalName":"Movement Ecology","FirstCategoryId":"99","ListUrlMain":"https://doi.org/10.1186/s40462-024-00497-3","RegionNum":1,"RegionCategory":"生物学","ArticlePicture":[],"TitleCN":null,"AbstractTextCN":null,"PMCID":null,"EPubDate":"","PubModel":"","JCR":"Q2","JCRName":"ECOLOGY","Score":null,"Total":0}
引用次数: 0

摘要

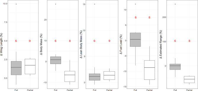
随着气候变化,许多雀形目鸟类的迁徙距离和停留地点都在发生变化。迁徙鸟类和留鸟的形态变化都与全球气温升高有关,但这些变化对燃料负荷和相关飞行范围的影响却鲜有研究。我们计算了英国 15 种迁徙和部分迁徙的雀形目鸟类在 1964 年至 2020 年间的翼长和体重变化。燃料负荷和瘦体重的变化也被估算出来,并用于预测飞行范围。其中 12 个物种发生了形态变化,8 个物种估计了燃料负荷的变化。据估计,9个物种的飞行范围有所缩小,这表明形态变化并没有完全补偿自1964年以来飞行范围的缩小。与完全迁徙的物种相比,部分迁徙的物种飞行范围缩小的幅度更大,这可能表明前者的行为可塑性更大。那些在形态或行为上不适应的物种可能无法完成长途迁徙,从而被限制在次优的繁殖地/越冬栖息地,或需要更快的第一站和更多的途中停留。这凸显了保护迁徙中途停留地的重要性,尤其是在地中海和北非地区,因为这些地区紧邻主要的地理屏障,同时也是繁殖地和越冬地。
本文章由计算机程序翻译,如有差异,请以英文原文为准。

Differential changes in the morphology and fuel loads of obligatory and partial migrant passerines over half a century in Britain.

Differential changes in the morphology and fuel loads of obligatory and partial migrant passerines over half a century in Britain.

Differential changes in the morphology and fuel loads of obligatory and partial migrant passerines over half a century in Britain.

Differential changes in the morphology and fuel loads of obligatory and partial migrant passerines over half a century in Britain.

Migratory distances and stopover locations are changing for many passerines in response to climate change. Morphological changes have been linked to rising global temperatures in both migrants and residents, but the implications of these changes on fuel loads, and associated flight ranges are little studied. Wing length and body mass changes between 1964 and 2020 were calculated for 15 migrant and partially migrant passerines in Britain. Changes in fuel load and lean body mass were also estimated and used to predict flight ranges. Twelve of the species have undergone morphological changes and eight species, estimated fuel load changes. Nine species were estimated to have reduced flight ranges, indicating that the morphological changes have not compensated fully for the reduction in flight range experienced since 1964. Partial migrants showed greater decreases in flight ranges than did full migrants, which may indicate greater behavioural plasticity in the former. Those species which do not adapt morphologically or behaviourally may be unable to complete long migrations, resulting in restriction to sub-optimal breeding/wintering habitats, or a need for a sooner first stop and more stops en route. This highlights the importance of conserving migratory stopover sites, particularly in the Mediterranean and North Africa that immediately precede major geographical barriers, as-well-as breeding and wintering grounds.

求助全文
通过发布文献求助,成功后即可免费获取论文全文。 去求助
来源期刊
Movement Ecology
Movement Ecology Agricultural and Biological Sciences-Ecology, Evolution, Behavior and Systematics
CiteScore
6.60
自引率
4.90%
发文量
47
审稿时长
23 weeks
期刊介绍: Movement Ecology is an open-access interdisciplinary journal publishing novel insights from empirical and theoretical approaches into the ecology of movement of the whole organism - either animals, plants or microorganisms - as the central theme. We welcome manuscripts on any taxa and any movement phenomena (e.g. foraging, dispersal and seasonal migration) addressing important research questions on the patterns, mechanisms, causes and consequences of organismal movement. Manuscripts will be rigorously peer-reviewed to ensure novelty and high quality.
×
引用
GB/T 7714-2015
复制
MLA
复制
APA
复制
导出至
BibTeX EndNote RefMan NoteFirst NoteExpress
×
提示
您的信息不完整,为了账户安全,请先补充。
现在去补充
×
提示
您因"违规操作"
具体请查看互助需知
我知道了
×
提示
确定
请完成安全验证×
copy
已复制链接
快去分享给好友吧!
我知道了
右上角分享
点击右上角分享
0
联系我们:info@booksci.cn Book学术提供免费学术资源搜索服务,方便国内外学者检索中英文文献。致力于提供最便捷和优质的服务体验。 Copyright © 2023 布克学术 All rights reserved.
京ICP备2023020795号-1
ghs 京公网安备 11010802042870号
Book学术文献互助
Book学术文献互助群
群 号:604180095
Book学术官方微信