以斑马鱼(Danio rerio)为实验对象,评估 Pichia pastoris 表达的气溶胶酶突变体作为口服疫苗的效果。

IF 5.3 2区 生物学 Q1 MARINE & FRESHWATER BIOLOGY
Marine Life Science & Technology Pub Date : 2024-08-20 eCollection Date: 2024-08-01 DOI:10.1007/s42995-024-00239-9
Yuan-Yuan Yao, Qing-Shuang Zhang, Shu-Bin Liu, Hong-Wei Yang, Xing-Yu Chen, Ya-Lin Yang, Chen-Chen Gao, Chao Ran, Tsegay Teame, Zhen Zhang, Zhi-Gang Zhou
{"title":"以斑马鱼(Danio rerio)为实验对象,评估 Pichia pastoris 表达的气溶胶酶突变体作为口服疫苗的效果。","authors":"Yuan-Yuan Yao, Qing-Shuang Zhang, Shu-Bin Liu, Hong-Wei Yang, Xing-Yu Chen, Ya-Lin Yang, Chen-Chen Gao, Chao Ran, Tsegay Teame, Zhen Zhang, Zhi-Gang Zhou","doi":"10.1007/s42995-024-00239-9","DOIUrl":null,"url":null,"abstract":"<p><p>Vaccines are one of the most practical means to stop the spreading of <i>Aeromonas veronii</i> in aquaculture. In this study, virulence factor aerolysin mutant NTaer which has lost its hemolytic activity was used as a target antigen. <i>Pichia pastoris</i> constitutive secretory expression NTaer (GS115-NTaer) was used as a potential safe oral vaccine to evaluate its effectiveness on zebrafish immunity. The result shows that vaccination of GS115- NTaer for four weeks did not affect the growth performance of the host, while eliciting an effective immune protective response. Compared with the control group, the GS115-NTaer could significantly up-regulate the relative expression level of the intestinal tight junction protein 1α (<i>TJP1α</i>) gene, and significantly increased the contents of lysozyme (LYZ), complement C3 and C4 in the gut, indicating that the innate immune response of the fish was activated. The relative gene expression levels of macrophage-expressed gene 1 (<i>MPEG1</i>) and T cell receptor (<i>TCR-α</i>) in the gut, and <i>MPEG1</i>, <i>CD4</i>, <i>CD8</i>, <i>TCR-α</i>, <i>GATA3,</i> and <i>T-bet</i> in the spleen were all increased significantly, indicating that the cellular immune response of the fish was activated. Furthermore, the contents of serum IgM and intestinal mucosa IgZ antibodies were significantly increased, which showed that humoral immunity was also activated. Moreover, inoculation with GS115-NTaer significantly changed the structure of gut microbiota. In particular, the relative ratio of (Firmicutes + Fusobacteriota + Bacteroidota)/Proteobacteria was significantly higher than that of the control and GS115 groups. Lastly, the vaccinated fish were challenged with <i>A. veronii,</i> and the relative percent survival of GS115 and the GS115-NTear groups was 14.28% and 33.43%. This improvement of immunity was not only due to the specific immune response but also attributed to the improvement of innate immunity and the gut microbiota which was demonstrated by the germ-free zebrafish model. Collectively, this study provides information on the effectiveness of GS115-NTear as an oral vaccine for the green prevention and control of <i>A. veronii</i> infection in fish aquaculture.</p>","PeriodicalId":53218,"journal":{"name":"Marine Life Science & Technology","volume":"6 3","pages":"475-487"},"PeriodicalIF":5.3000,"publicationDate":"2024-08-20","publicationTypes":"Journal Article","fieldsOfStudy":null,"isOpenAccess":false,"openAccessPdf":"https://www.ncbi.nlm.nih.gov/pmc/articles/PMC11358560/pdf/","citationCount":"0","resultStr":"{\"title\":\"<i>Pichia pastoris</i> composition expressed aerolysin mutant of <i>Aeromonas veronii</i> as an oral vaccine evaluated in zebrafish (<i>Danio rerio</i>).\",\"authors\":\"Yuan-Yuan Yao, Qing-Shuang Zhang, Shu-Bin Liu, Hong-Wei Yang, Xing-Yu Chen, Ya-Lin Yang, Chen-Chen Gao, Chao Ran, Tsegay Teame, Zhen Zhang, Zhi-Gang Zhou\",\"doi\":\"10.1007/s42995-024-00239-9\",\"DOIUrl\":null,\"url\":null,\"abstract\":\"<p><p>Vaccines are one of the most practical means to stop the spreading of <i>Aeromonas veronii</i> in aquaculture. In this study, virulence factor aerolysin mutant NTaer which has lost its hemolytic activity was used as a target antigen. <i>Pichia pastoris</i> constitutive secretory expression NTaer (GS115-NTaer) was used as a potential safe oral vaccine to evaluate its effectiveness on zebrafish immunity. The result shows that vaccination of GS115- NTaer for four weeks did not affect the growth performance of the host, while eliciting an effective immune protective response. Compared with the control group, the GS115-NTaer could significantly up-regulate the relative expression level of the intestinal tight junction protein 1α (<i>TJP1α</i>) gene, and significantly increased the contents of lysozyme (LYZ), complement C3 and C4 in the gut, indicating that the innate immune response of the fish was activated. The relative gene expression levels of macrophage-expressed gene 1 (<i>MPEG1</i>) and T cell receptor (<i>TCR-α</i>) in the gut, and <i>MPEG1</i>, <i>CD4</i>, <i>CD8</i>, <i>TCR-α</i>, <i>GATA3,</i> and <i>T-bet</i> in the spleen were all increased significantly, indicating that the cellular immune response of the fish was activated. Furthermore, the contents of serum IgM and intestinal mucosa IgZ antibodies were significantly increased, which showed that humoral immunity was also activated. Moreover, inoculation with GS115-NTaer significantly changed the structure of gut microbiota. In particular, the relative ratio of (Firmicutes + Fusobacteriota + Bacteroidota)/Proteobacteria was significantly higher than that of the control and GS115 groups. Lastly, the vaccinated fish were challenged with <i>A. veronii,</i> and the relative percent survival of GS115 and the GS115-NTear groups was 14.28% and 33.43%. This improvement of immunity was not only due to the specific immune response but also attributed to the improvement of innate immunity and the gut microbiota which was demonstrated by the germ-free zebrafish model. Collectively, this study provides information on the effectiveness of GS115-NTear as an oral vaccine for the green prevention and control of <i>A. veronii</i> infection in fish aquaculture.</p>\",\"PeriodicalId\":53218,\"journal\":{\"name\":\"Marine Life Science & Technology\",\"volume\":\"6 3\",\"pages\":\"475-487\"},\"PeriodicalIF\":5.3000,\"publicationDate\":\"2024-08-20\",\"publicationTypes\":\"Journal Article\",\"fieldsOfStudy\":null,\"isOpenAccess\":false,\"openAccessPdf\":\"https://www.ncbi.nlm.nih.gov/pmc/articles/PMC11358560/pdf/\",\"citationCount\":\"0\",\"resultStr\":null,\"platform\":\"Semanticscholar\",\"paperid\":null,\"PeriodicalName\":\"Marine Life Science & Technology\",\"FirstCategoryId\":\"99\",\"ListUrlMain\":\"https://doi.org/10.1007/s42995-024-00239-9\",\"RegionNum\":2,\"RegionCategory\":\"生物学\",\"ArticlePicture\":[],\"TitleCN\":null,\"AbstractTextCN\":null,\"PMCID\":null,\"EPubDate\":\"2024/8/1 0:00:00\",\"PubModel\":\"eCollection\",\"JCR\":\"Q1\",\"JCRName\":\"MARINE & FRESHWATER BIOLOGY\",\"Score\":null,\"Total\":0}","platform":"Semanticscholar","paperid":null,"PeriodicalName":"Marine Life Science & Technology","FirstCategoryId":"99","ListUrlMain":"https://doi.org/10.1007/s42995-024-00239-9","RegionNum":2,"RegionCategory":"生物学","ArticlePicture":[],"TitleCN":null,"AbstractTextCN":null,"PMCID":null,"EPubDate":"2024/8/1 0:00:00","PubModel":"eCollection","JCR":"Q1","JCRName":"MARINE & FRESHWATER BIOLOGY","Score":null,"Total":0}
引用次数: 0

摘要

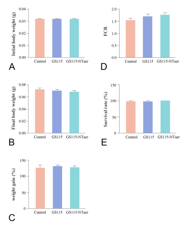
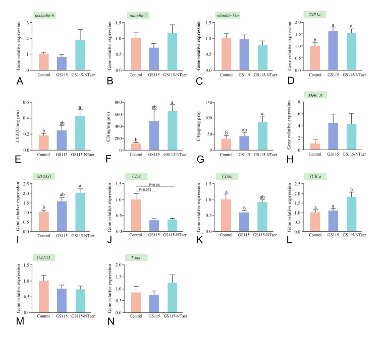
疫苗是阻止蚯蚓气单胞菌在水产养殖中传播的最实用手段之一。本研究以失去溶血活性的毒力因子溶气素突变体 NTaer 为目标抗原。利用Pichia pastoris组成型分泌表达NTaer(GS115-NTaer)作为潜在的安全口服疫苗,评估其对斑马鱼免疫的有效性。结果表明,接种 GS115-NTaer 疫苗四周后,斑马鱼宿主的生长性能未受影响,同时还能引起有效的免疫保护反应。与对照组相比,GS115-NTaer能显著上调肠道紧密连接蛋白1α(TJP1α)基因的相对表达水平,并显著增加肠道中溶菌酶(LYZ)、补体C3和C4的含量,表明鱼类的先天性免疫反应被激活。肠道中巨噬细胞表达基因1(MPEG1)和T细胞受体(TCR-α)的相对基因表达水平,以及脾脏中MPEG1、CD4、CD8、TCR-α、GATA3和T-bet的相对基因表达水平均显著增加,表明鱼类的细胞免疫反应被激活。此外,血清 IgM 和肠粘膜 IgZ 抗体的含量也明显增加,表明体液免疫也被激活。此外,接种 GS115-NTaer 还显著改变了肠道微生物群的结构。特别是,(固着菌+镰刀菌群+类杆菌群)/蛋白菌的相对比例明显高于对照组和 GS115 组。最后,对接种疫苗的鱼进行蚯蚓甲挑战,GS115 组和 GS115-NTear 组的相对存活率分别为 14.28% 和 33.43%。免疫力的提高不仅归功于特异性免疫反应,还归功于先天性免疫和肠道微生物群的改善,无菌斑马鱼模型也证明了这一点。总之,本研究提供了 GS115-NTear 作为口服疫苗在绿色防控水产养殖中感染 A. veronii 的有效性信息。
本文章由计算机程序翻译,如有差异,请以英文原文为准。

<i>Pichia pastoris</i> composition expressed aerolysin mutant of <i>Aeromonas veronii</i> as an oral vaccine evaluated in zebrafish (<i>Danio rerio</i>).

<i>Pichia pastoris</i> composition expressed aerolysin mutant of <i>Aeromonas veronii</i> as an oral vaccine evaluated in zebrafish (<i>Danio rerio</i>).

<i>Pichia pastoris</i> composition expressed aerolysin mutant of <i>Aeromonas veronii</i> as an oral vaccine evaluated in zebrafish (<i>Danio rerio</i>).

Pichia pastoris composition expressed aerolysin mutant of Aeromonas veronii as an oral vaccine evaluated in zebrafish (Danio rerio).

Vaccines are one of the most practical means to stop the spreading of Aeromonas veronii in aquaculture. In this study, virulence factor aerolysin mutant NTaer which has lost its hemolytic activity was used as a target antigen. Pichia pastoris constitutive secretory expression NTaer (GS115-NTaer) was used as a potential safe oral vaccine to evaluate its effectiveness on zebrafish immunity. The result shows that vaccination of GS115- NTaer for four weeks did not affect the growth performance of the host, while eliciting an effective immune protective response. Compared with the control group, the GS115-NTaer could significantly up-regulate the relative expression level of the intestinal tight junction protein 1α (TJP1α) gene, and significantly increased the contents of lysozyme (LYZ), complement C3 and C4 in the gut, indicating that the innate immune response of the fish was activated. The relative gene expression levels of macrophage-expressed gene 1 (MPEG1) and T cell receptor (TCR-α) in the gut, and MPEG1, CD4, CD8, TCR-α, GATA3, and T-bet in the spleen were all increased significantly, indicating that the cellular immune response of the fish was activated. Furthermore, the contents of serum IgM and intestinal mucosa IgZ antibodies were significantly increased, which showed that humoral immunity was also activated. Moreover, inoculation with GS115-NTaer significantly changed the structure of gut microbiota. In particular, the relative ratio of (Firmicutes + Fusobacteriota + Bacteroidota)/Proteobacteria was significantly higher than that of the control and GS115 groups. Lastly, the vaccinated fish were challenged with A. veronii, and the relative percent survival of GS115 and the GS115-NTear groups was 14.28% and 33.43%. This improvement of immunity was not only due to the specific immune response but also attributed to the improvement of innate immunity and the gut microbiota which was demonstrated by the germ-free zebrafish model. Collectively, this study provides information on the effectiveness of GS115-NTear as an oral vaccine for the green prevention and control of A. veronii infection in fish aquaculture.

求助全文
通过发布文献求助,成功后即可免费获取论文全文。 去求助
来源期刊
Marine Life Science & Technology
Marine Life Science & Technology MARINE & FRESHWATER BIOLOGY-
CiteScore
9.60
自引率
10.50%
发文量
58
期刊介绍: Marine Life Science & Technology (MLST), established in 2019, is dedicated to publishing original research papers that unveil new discoveries and theories spanning a wide spectrum of life sciences and technologies. This includes fundamental biology, fisheries science and technology, medicinal bioresources, food science, biotechnology, ecology, and environmental biology, with a particular focus on marine habitats. The journal is committed to nurturing synergistic interactions among these diverse disciplines, striving to advance multidisciplinary approaches within the scientific field. It caters to a readership comprising biological scientists, aquaculture researchers, marine technologists, biological oceanographers, and ecologists.
×
引用
GB/T 7714-2015
复制
MLA
复制
APA
复制
导出至
BibTeX EndNote RefMan NoteFirst NoteExpress
×
提示
您的信息不完整,为了账户安全,请先补充。
现在去补充
×
提示
您因"违规操作"
具体请查看互助需知
我知道了
×
提示
确定
请完成安全验证×
copy
已复制链接
快去分享给好友吧!
我知道了
右上角分享
点击右上角分享
0
联系我们:info@booksci.cn Book学术提供免费学术资源搜索服务,方便国内外学者检索中英文文献。致力于提供最便捷和优质的服务体验。 Copyright © 2023 布克学术 All rights reserved.
京ICP备2023020795号-1
ghs 京公网安备 11010802042870号
Book学术文献互助
Book学术文献互助群
群 号:604180095
Book学术官方微信