MDSCs 的增殖可能表明日本血吸虫病的 CD4+ T 细胞免疫反应较低。

IF 2.4 2区 医学 Q2 PARASITOLOGY
Parasite Pub Date : 2024-01-01 Epub Date: 2024-08-29 DOI:10.1051/parasite/2024050
Bo Peng, Yulin Luo, Shudong Xie, Quan Zhuang, Junhui Li, Pengpeng Zhang, Kai Liu, Yu Zhang, Chen Zhou, Chen Guo, Zhaoqin Zhou, Jie Zhou, Yu Cai, Meng Xia, Ke Cheng, Yingzi Ming
{"title":"MDSCs 的增殖可能表明日本血吸虫病的 CD4+ T 细胞免疫反应较低。","authors":"Bo Peng, Yulin Luo, Shudong Xie, Quan Zhuang, Junhui Li, Pengpeng Zhang, Kai Liu, Yu Zhang, Chen Zhou, Chen Guo, Zhaoqin Zhou, Jie Zhou, Yu Cai, Meng Xia, Ke Cheng, Yingzi Ming","doi":"10.1051/parasite/2024050","DOIUrl":null,"url":null,"abstract":"<p><strong>Background: </strong>Schistosoma japonicum (S. japonicum) is the main species of Schistosoma prevalent in China. Myeloid-derived suppressor cells (MDSCs) are important immunoregulatory cells and generally expand in parasite infection, but there is little research relating to MDSCs in Schistosoma infection.</p><p><strong>Methods: </strong>Fifty-six S. japonicum-infected patients were included in this study. MDSCs and percentages and absolute cell numbers of lymphocyte subsets, including <sup>CD3+</sup> T cells, <sup>CD4+</sup> T cells, <sup>CD8+</sup> T cells, B cells and natural killer (NK) cells were detected using flow cytometry. The degree of liver fibrosis was determined using color Doppler ultrasound.</p><p><strong>Results: </strong>Patients infected with S. japonicum had a much higher percentage of MDSCs among peripheral blood mononuclear cells (PBMCs) than the healthy control. Regarding subpopulations of MDSCs, the percentage of granulocytic myeloid-derived suppressor cells (G-MDSCs) was clearly increased. Correlation analysis showed that the absolute cell counts of T-cell subsets correlated negatively with the percentages of MDSCs and G-MDSCs among PBMCs. The percentage of G-MDSCs in PBMCs was also significantly higher in patients with liver fibrosis diagnosed by color doppler ultrasound (grade > 0), and the percentage of G-MDSCs in PBMCs and liver fibrosis grading based on ultrasound showed a positive correlation.</p><p><strong>Conclusion: </strong>S. japonicum infection contributes to an increase in MDSCs, especially G-MDSCs, whose proliferation may inhibit the number of <sup>CD4+</sup> T cells in peripheral blood. Meanwhile, there is a close relationship between proliferation of G-MDSCs and liver fibrosis in S. japonicum-infected patients.</p>","PeriodicalId":19796,"journal":{"name":"Parasite","volume":"31 ","pages":"52"},"PeriodicalIF":2.4000,"publicationDate":"2024-01-01","publicationTypes":"Journal Article","fieldsOfStudy":null,"isOpenAccess":false,"openAccessPdf":"https://www.ncbi.nlm.nih.gov/pmc/articles/PMC11363901/pdf/","citationCount":"0","resultStr":"{\"title\":\"Proliferation of MDSCs may indicate a lower <sup>CD4+</sup> T cell immune response in schistosomiasis japonica.\",\"authors\":\"Bo Peng, Yulin Luo, Shudong Xie, Quan Zhuang, Junhui Li, Pengpeng Zhang, Kai Liu, Yu Zhang, Chen Zhou, Chen Guo, Zhaoqin Zhou, Jie Zhou, Yu Cai, Meng Xia, Ke Cheng, Yingzi Ming\",\"doi\":\"10.1051/parasite/2024050\",\"DOIUrl\":null,\"url\":null,\"abstract\":\"<p><strong>Background: </strong>Schistosoma japonicum (S. japonicum) is the main species of Schistosoma prevalent in China. Myeloid-derived suppressor cells (MDSCs) are important immunoregulatory cells and generally expand in parasite infection, but there is little research relating to MDSCs in Schistosoma infection.</p><p><strong>Methods: </strong>Fifty-six S. japonicum-infected patients were included in this study. MDSCs and percentages and absolute cell numbers of lymphocyte subsets, including <sup>CD3+</sup> T cells, <sup>CD4+</sup> T cells, <sup>CD8+</sup> T cells, B cells and natural killer (NK) cells were detected using flow cytometry. The degree of liver fibrosis was determined using color Doppler ultrasound.</p><p><strong>Results: </strong>Patients infected with S. japonicum had a much higher percentage of MDSCs among peripheral blood mononuclear cells (PBMCs) than the healthy control. Regarding subpopulations of MDSCs, the percentage of granulocytic myeloid-derived suppressor cells (G-MDSCs) was clearly increased. Correlation analysis showed that the absolute cell counts of T-cell subsets correlated negatively with the percentages of MDSCs and G-MDSCs among PBMCs. The percentage of G-MDSCs in PBMCs was also significantly higher in patients with liver fibrosis diagnosed by color doppler ultrasound (grade > 0), and the percentage of G-MDSCs in PBMCs and liver fibrosis grading based on ultrasound showed a positive correlation.</p><p><strong>Conclusion: </strong>S. japonicum infection contributes to an increase in MDSCs, especially G-MDSCs, whose proliferation may inhibit the number of <sup>CD4+</sup> T cells in peripheral blood. Meanwhile, there is a close relationship between proliferation of G-MDSCs and liver fibrosis in S. japonicum-infected patients.</p>\",\"PeriodicalId\":19796,\"journal\":{\"name\":\"Parasite\",\"volume\":\"31 \",\"pages\":\"52\"},\"PeriodicalIF\":2.4000,\"publicationDate\":\"2024-01-01\",\"publicationTypes\":\"Journal Article\",\"fieldsOfStudy\":null,\"isOpenAccess\":false,\"openAccessPdf\":\"https://www.ncbi.nlm.nih.gov/pmc/articles/PMC11363901/pdf/\",\"citationCount\":\"0\",\"resultStr\":null,\"platform\":\"Semanticscholar\",\"paperid\":null,\"PeriodicalName\":\"Parasite\",\"FirstCategoryId\":\"3\",\"ListUrlMain\":\"https://doi.org/10.1051/parasite/2024050\",\"RegionNum\":2,\"RegionCategory\":\"医学\",\"ArticlePicture\":[],\"TitleCN\":null,\"AbstractTextCN\":null,\"PMCID\":null,\"EPubDate\":\"2024/8/29 0:00:00\",\"PubModel\":\"Epub\",\"JCR\":\"Q2\",\"JCRName\":\"PARASITOLOGY\",\"Score\":null,\"Total\":0}","platform":"Semanticscholar","paperid":null,"PeriodicalName":"Parasite","FirstCategoryId":"3","ListUrlMain":"https://doi.org/10.1051/parasite/2024050","RegionNum":2,"RegionCategory":"医学","ArticlePicture":[],"TitleCN":null,"AbstractTextCN":null,"PMCID":null,"EPubDate":"2024/8/29 0:00:00","PubModel":"Epub","JCR":"Q2","JCRName":"PARASITOLOGY","Score":null,"Total":0}
引用次数: 0

摘要

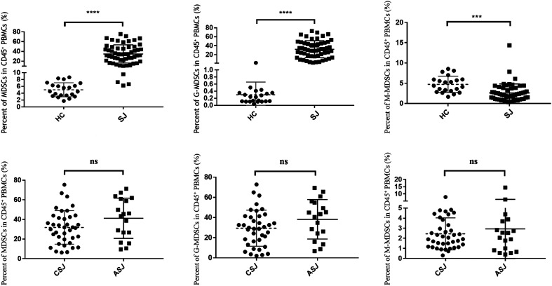
背景:日本血吸虫(S. japonicum)是中国流行的主要血吸虫种类。髓源性抑制细胞(MDSCs)是重要的免疫调节细胞,在寄生虫感染时通常会扩增,但有关MDSCs在血吸虫感染中的研究却很少:本研究纳入了 56 名日本血吸虫感染患者。采用流式细胞术检测MDSCs和淋巴细胞亚群(包括CD3+ T细胞、CD4+ T细胞、CD8+ T细胞、B细胞和自然杀伤(NK)细胞)的百分比和绝对细胞数。使用彩色多普勒超声波测定肝纤维化程度:结果:感染日本鼠的患者外周血单核细胞(PBMCs)中MDSCs的比例远高于健康对照组。在 MDSCs 亚群中,粒细胞髓源性抑制细胞(G-MDSCs)的比例明显增加。相关性分析表明,T 细胞亚群的绝对细胞数与 MDSCs 和 G-MDSCs 在 PBMCs 中的百分比呈负相关。通过彩色多普勒超声诊断出肝脏纤维化(分级>0)的患者,PBMCs中G-MDSCs的百分比也明显较高,PBMCs中G-MDSCs的百分比与基于超声的肝脏纤维化分级呈正相关:结论:日本鼠感染会导致 MDSCs,尤其是 G-MDSCs 的增加,其增殖可能会抑制外周血中 CD4+ T 细胞的数量。同时,日本疟原虫感染患者的 G-MDSCs 增殖与肝纤维化有密切关系。
本文章由计算机程序翻译,如有差异,请以英文原文为准。

Proliferation of MDSCs may indicate a lower <sup>CD4+</sup> T cell immune response in schistosomiasis japonica.

Proliferation of MDSCs may indicate a lower <sup>CD4+</sup> T cell immune response in schistosomiasis japonica.

Proliferation of MDSCs may indicate a lower <sup>CD4+</sup> T cell immune response in schistosomiasis japonica.

Proliferation of MDSCs may indicate a lower CD4+ T cell immune response in schistosomiasis japonica.

Background: Schistosoma japonicum (S. japonicum) is the main species of Schistosoma prevalent in China. Myeloid-derived suppressor cells (MDSCs) are important immunoregulatory cells and generally expand in parasite infection, but there is little research relating to MDSCs in Schistosoma infection.

Methods: Fifty-six S. japonicum-infected patients were included in this study. MDSCs and percentages and absolute cell numbers of lymphocyte subsets, including CD3+ T cells, CD4+ T cells, CD8+ T cells, B cells and natural killer (NK) cells were detected using flow cytometry. The degree of liver fibrosis was determined using color Doppler ultrasound.

Results: Patients infected with S. japonicum had a much higher percentage of MDSCs among peripheral blood mononuclear cells (PBMCs) than the healthy control. Regarding subpopulations of MDSCs, the percentage of granulocytic myeloid-derived suppressor cells (G-MDSCs) was clearly increased. Correlation analysis showed that the absolute cell counts of T-cell subsets correlated negatively with the percentages of MDSCs and G-MDSCs among PBMCs. The percentage of G-MDSCs in PBMCs was also significantly higher in patients with liver fibrosis diagnosed by color doppler ultrasound (grade > 0), and the percentage of G-MDSCs in PBMCs and liver fibrosis grading based on ultrasound showed a positive correlation.

Conclusion: S. japonicum infection contributes to an increase in MDSCs, especially G-MDSCs, whose proliferation may inhibit the number of CD4+ T cells in peripheral blood. Meanwhile, there is a close relationship between proliferation of G-MDSCs and liver fibrosis in S. japonicum-infected patients.

求助全文
通过发布文献求助,成功后即可免费获取论文全文。 去求助
来源期刊
Parasite
Parasite 医学-寄生虫学
CiteScore
5.50
自引率
6.90%
发文量
49
审稿时长
3 months
期刊介绍: Parasite is an international open-access, peer-reviewed, online journal publishing high quality papers on all aspects of human and animal parasitology. Reviews, articles and short notes may be submitted. Fields include, but are not limited to: general, medical and veterinary parasitology; morphology, including ultrastructure; parasite systematics, including entomology, acarology, helminthology and protistology, and molecular analyses; molecular biology and biochemistry; immunology of parasitic diseases; host-parasite relationships; ecology and life history of parasites; epidemiology; therapeutics; new diagnostic tools. All papers in Parasite are published in English. Manuscripts should have a broad interest and must not have been published or submitted elsewhere. No limit is imposed on the length of manuscripts, but they should be concisely written. Papers of limited interest such as case reports, epidemiological studies in punctual areas, isolated new geographical records, and systematic descriptions of single species will generally not be accepted, but might be considered if the authors succeed in demonstrating their interest.
×
引用
GB/T 7714-2015
复制
MLA
复制
APA
复制
导出至
BibTeX EndNote RefMan NoteFirst NoteExpress
×
提示
您的信息不完整,为了账户安全,请先补充。
现在去补充
×
提示
您因"违规操作"
具体请查看互助需知
我知道了
×
提示
确定
请完成安全验证×
copy
已复制链接
快去分享给好友吧!
我知道了
右上角分享
点击右上角分享
0
联系我们:info@booksci.cn Book学术提供免费学术资源搜索服务,方便国内外学者检索中英文文献。致力于提供最便捷和优质的服务体验。 Copyright © 2023 布克学术 All rights reserved.
京ICP备2023020795号-1
ghs 京公网安备 11010802042870号
Book学术文献互助
Book学术文献互助群
群 号:604180095
Book学术官方微信