通过视频胶囊内镜确诊的克罗恩病患者的临床特征和长期病程:一项多中心回顾性匹配病例对照研究。

IF 3.9 Q2 GASTROENTEROLOGY & HEPATOLOGY
Intestinal Research Pub Date : 2025-07-01 Epub Date: 2024-08-29 DOI:10.5217/ir.2024.00056
June Hwa Bae, Su Hyun Park, Jung-Bin Park, Ji Eun Baek, Seung Wook Hong, Sung Wook Hwang, Dong-Hoon Yang, Byong Duk Ye, Jeong-Sik Byeon, Seung-Jae Myung, Suk-Kyun Yang, Kyeong Ok Kim, Byung Ik Jang, Mi Rae Lee, Eun Soo Kim, Sang Hyoung Park
{"title":"通过视频胶囊内镜确诊的克罗恩病患者的临床特征和长期病程:一项多中心回顾性匹配病例对照研究。","authors":"June Hwa Bae, Su Hyun Park, Jung-Bin Park, Ji Eun Baek, Seung Wook Hong, Sung Wook Hwang, Dong-Hoon Yang, Byong Duk Ye, Jeong-Sik Byeon, Seung-Jae Myung, Suk-Kyun Yang, Kyeong Ok Kim, Byung Ik Jang, Mi Rae Lee, Eun Soo Kim, Sang Hyoung Park","doi":"10.5217/ir.2024.00056","DOIUrl":null,"url":null,"abstract":"<p><strong>Background/aims: </strong>Video capsule endoscopy is rarely used to diagnose Crohn's disease in patients with negative ileocolonoscopy or cross-sectional image findings. We evaluated clinical characteristics and long-term outcomes of these rare cases.</p><p><strong>Methods: </strong>This multicenter study included patients with Crohn's disease from 3 tertiary hospitals from January 2007 to October 2022. Patients with normal findings on ileocolonoscopy and computed tomography (CT)/magnetic resonance (MR) enterography but had ulcerations at the small bowel detected by video capsule endoscopy were included. The controls were patients with abnormal findings on endoscopy or CT/MR enterography. Controls were case-matched in a ratio of 3:1 for sex, calendar year of diagnosis, and age at diagnosis.</p><p><strong>Results: </strong>Among 3,752 patients, 24 (0.6%) were diagnosed with Crohn's disease using video capsule endoscopy findings. The disease location (P< 0.001) and behavior at diagnosis (P= 0.013) of the cases significantly differed from that of controls. The perianal fistula modifier (25.0% vs. 33.3%, P= 0.446) did not differ significantly between the 2 groups. Initial disease activity and C-reactive protein and fecal calprotectin levels were significantly lower in cases versus controls. The median Lewis score was 838 (interquartile range, 393-1,803). Over 10 years of follow-up, the cases showed significantly lower cumulative risk of complicated behavior, biologics use, Crohn's disease-related hospitalization, and surgeries (log-rank test P< 0.05).</p><p><strong>Conclusions: </strong>Patients with Crohn's disease whose lesions were observed only by video capsule endoscopy were rare, and exhibit different clinical characteristics and a more favorable long-term disease course compared to those who were conventionally diagnosed.</p>","PeriodicalId":14481,"journal":{"name":"Intestinal Research","volume":" ","pages":"290-301"},"PeriodicalIF":3.9000,"publicationDate":"2025-07-01","publicationTypes":"Journal Article","fieldsOfStudy":null,"isOpenAccess":false,"openAccessPdf":"https://www.ncbi.nlm.nih.gov/pmc/articles/PMC12332284/pdf/","citationCount":"0","resultStr":"{\"title\":\"Clinical characteristics and long-term disease course in patients with Crohn's disease as diagnosed by video capsule endoscopy: a multicenter retrospective matched case-control study.\",\"authors\":\"June Hwa Bae, Su Hyun Park, Jung-Bin Park, Ji Eun Baek, Seung Wook Hong, Sung Wook Hwang, Dong-Hoon Yang, Byong Duk Ye, Jeong-Sik Byeon, Seung-Jae Myung, Suk-Kyun Yang, Kyeong Ok Kim, Byung Ik Jang, Mi Rae Lee, Eun Soo Kim, Sang Hyoung Park\",\"doi\":\"10.5217/ir.2024.00056\",\"DOIUrl\":null,\"url\":null,\"abstract\":\"<p><strong>Background/aims: </strong>Video capsule endoscopy is rarely used to diagnose Crohn's disease in patients with negative ileocolonoscopy or cross-sectional image findings. We evaluated clinical characteristics and long-term outcomes of these rare cases.</p><p><strong>Methods: </strong>This multicenter study included patients with Crohn's disease from 3 tertiary hospitals from January 2007 to October 2022. Patients with normal findings on ileocolonoscopy and computed tomography (CT)/magnetic resonance (MR) enterography but had ulcerations at the small bowel detected by video capsule endoscopy were included. The controls were patients with abnormal findings on endoscopy or CT/MR enterography. Controls were case-matched in a ratio of 3:1 for sex, calendar year of diagnosis, and age at diagnosis.</p><p><strong>Results: </strong>Among 3,752 patients, 24 (0.6%) were diagnosed with Crohn's disease using video capsule endoscopy findings. The disease location (P< 0.001) and behavior at diagnosis (P= 0.013) of the cases significantly differed from that of controls. The perianal fistula modifier (25.0% vs. 33.3%, P= 0.446) did not differ significantly between the 2 groups. Initial disease activity and C-reactive protein and fecal calprotectin levels were significantly lower in cases versus controls. The median Lewis score was 838 (interquartile range, 393-1,803). Over 10 years of follow-up, the cases showed significantly lower cumulative risk of complicated behavior, biologics use, Crohn's disease-related hospitalization, and surgeries (log-rank test P< 0.05).</p><p><strong>Conclusions: </strong>Patients with Crohn's disease whose lesions were observed only by video capsule endoscopy were rare, and exhibit different clinical characteristics and a more favorable long-term disease course compared to those who were conventionally diagnosed.</p>\",\"PeriodicalId\":14481,\"journal\":{\"name\":\"Intestinal Research\",\"volume\":\" \",\"pages\":\"290-301\"},\"PeriodicalIF\":3.9000,\"publicationDate\":\"2025-07-01\",\"publicationTypes\":\"Journal Article\",\"fieldsOfStudy\":null,\"isOpenAccess\":false,\"openAccessPdf\":\"https://www.ncbi.nlm.nih.gov/pmc/articles/PMC12332284/pdf/\",\"citationCount\":\"0\",\"resultStr\":null,\"platform\":\"Semanticscholar\",\"paperid\":null,\"PeriodicalName\":\"Intestinal Research\",\"FirstCategoryId\":\"1085\",\"ListUrlMain\":\"https://doi.org/10.5217/ir.2024.00056\",\"RegionNum\":0,\"RegionCategory\":null,\"ArticlePicture\":[],\"TitleCN\":null,\"AbstractTextCN\":null,\"PMCID\":null,\"EPubDate\":\"2024/8/29 0:00:00\",\"PubModel\":\"Epub\",\"JCR\":\"Q2\",\"JCRName\":\"GASTROENTEROLOGY & HEPATOLOGY\",\"Score\":null,\"Total\":0}","platform":"Semanticscholar","paperid":null,"PeriodicalName":"Intestinal Research","FirstCategoryId":"1085","ListUrlMain":"https://doi.org/10.5217/ir.2024.00056","RegionNum":0,"RegionCategory":null,"ArticlePicture":[],"TitleCN":null,"AbstractTextCN":null,"PMCID":null,"EPubDate":"2024/8/29 0:00:00","PubModel":"Epub","JCR":"Q2","JCRName":"GASTROENTEROLOGY & HEPATOLOGY","Score":null,"Total":0}
引用次数: 0

摘要

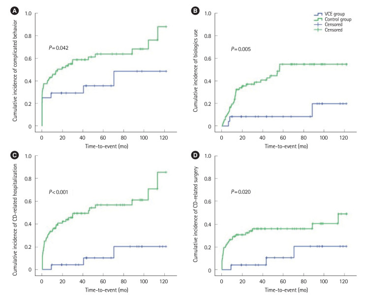
背景/目的:视频胶囊内镜很少用于诊断回肠结肠镜检查或横断面图像检查结果阴性的克罗恩病患者。我们对这些罕见病例的临床特征和长期疗效进行了评估:这项多中心研究纳入了 2007 年 1 月至 2022 年 10 月期间 3 家三级医院的克罗恩病患者。研究对象包括回结肠镜检查和计算机断层扫描(CT)/磁共振(MR)肠造影检查结果正常,但视频胶囊内镜检查发现小肠有溃疡的患者。对照组为内镜检查或 CT/MR 肠造影检查结果异常的患者。对照组与病例在性别、诊断日历年和诊断时年龄方面的匹配比例为 3:1:结果:在 3752 名患者中,有 24 人(0.6%)通过视频胶囊内镜检查结果确诊为克罗恩病。病例的发病部位(P< 0.001)和诊断时的行为(P= 0.013)与对照组有显著差异。两组患者的肛周瘘改良剂(25.0% vs. 33.3%,P= 0.446)无明显差异。病例的初始疾病活动度、C反应蛋白和粪便钙蛋白水平明显低于对照组。路易斯评分的中位数为 838 分(四分位间范围为 393-1803 分)。在10年的随访中,病例发生复杂行为、使用生物制剂、克罗恩病相关住院和手术的累积风险明显较低(对数秩检验P< 0.05):结论:仅通过视频胶囊内镜观察到病变的克罗恩病患者很少见,与传统诊断的克罗恩病患者相比,他们表现出不同的临床特征和更有利的长期病程。
本文章由计算机程序翻译,如有差异,请以英文原文为准。

Clinical characteristics and long-term disease course in patients with Crohn's disease as diagnosed by video capsule endoscopy: a multicenter retrospective matched case-control study.

Clinical characteristics and long-term disease course in patients with Crohn's disease as diagnosed by video capsule endoscopy: a multicenter retrospective matched case-control study.

Clinical characteristics and long-term disease course in patients with Crohn's disease as diagnosed by video capsule endoscopy: a multicenter retrospective matched case-control study.

Clinical characteristics and long-term disease course in patients with Crohn's disease as diagnosed by video capsule endoscopy: a multicenter retrospective matched case-control study.

Background/aims: Video capsule endoscopy is rarely used to diagnose Crohn's disease in patients with negative ileocolonoscopy or cross-sectional image findings. We evaluated clinical characteristics and long-term outcomes of these rare cases.

Methods: This multicenter study included patients with Crohn's disease from 3 tertiary hospitals from January 2007 to October 2022. Patients with normal findings on ileocolonoscopy and computed tomography (CT)/magnetic resonance (MR) enterography but had ulcerations at the small bowel detected by video capsule endoscopy were included. The controls were patients with abnormal findings on endoscopy or CT/MR enterography. Controls were case-matched in a ratio of 3:1 for sex, calendar year of diagnosis, and age at diagnosis.

Results: Among 3,752 patients, 24 (0.6%) were diagnosed with Crohn's disease using video capsule endoscopy findings. The disease location (P< 0.001) and behavior at diagnosis (P= 0.013) of the cases significantly differed from that of controls. The perianal fistula modifier (25.0% vs. 33.3%, P= 0.446) did not differ significantly between the 2 groups. Initial disease activity and C-reactive protein and fecal calprotectin levels were significantly lower in cases versus controls. The median Lewis score was 838 (interquartile range, 393-1,803). Over 10 years of follow-up, the cases showed significantly lower cumulative risk of complicated behavior, biologics use, Crohn's disease-related hospitalization, and surgeries (log-rank test P< 0.05).

Conclusions: Patients with Crohn's disease whose lesions were observed only by video capsule endoscopy were rare, and exhibit different clinical characteristics and a more favorable long-term disease course compared to those who were conventionally diagnosed.

求助全文
通过发布文献求助,成功后即可免费获取论文全文。 去求助
来源期刊
Intestinal Research
Intestinal Research GASTROENTEROLOGY & HEPATOLOGY-
CiteScore
7.40
自引率
10.20%
发文量
69
审稿时长
38 weeks
期刊介绍: Intestinal Research (Intest Res) is the joint official publication of the Asian Organization for Crohn''s and Colitis (AOCC), Chinese Society of IBD (CSIBD), Japanese Society for IBD (JSIBD), Korean Association for the Study of Intestinal Diseases (KASID), Taiwan Society of IBD (TSIBD) and Colitis Crohn''s Foundation (India) (CCF, india). The aim of the Journal is to provide broad and in-depth analysis of intestinal diseases, especially inflammatory bowel disease, which shows increasing tendency and significance. As a Journal specialized in clinical and translational research in gastroenterology, it encompasses multiple aspects of diseases originated from the small and large intestines. The Journal also seeks to propagate and exchange useful innovations, both in ideas and in practice, within the research community. As a mode of scholarly communication, it encourages scientific investigation through the rigorous peer-review system and constitutes a qualified and continual platform for sharing studies of researchers and practitioners. Specifically, the Journal presents up-to-date coverage of medical researches on the physiology, epidemiology, pathophysiology, clinical presentations, and therapeutic interventions of the intestinal diseases. General topics of interest include inflammatory bowel disease, colon and small intestine cancer or polyp, endoscopy, irritable bowel syndrome and other motility disorders, infectious enterocolitis, intestinal tuberculosis, and so forth. The Journal publishes diverse types of academic materials such as editorials, clinical and basic reviews, original articles, case reports, letters to the editor, brief communications, perspective, statement or commentary, and images that are useful to clinicians and researchers.
×
引用
GB/T 7714-2015
复制
MLA
复制
APA
复制
导出至
BibTeX EndNote RefMan NoteFirst NoteExpress
×
提示
您的信息不完整,为了账户安全,请先补充。
现在去补充
×
提示
您因"违规操作"
具体请查看互助需知
我知道了
×
提示
确定
请完成安全验证×
copy
已复制链接
快去分享给好友吧!
我知道了
右上角分享
点击右上角分享
0
联系我们:info@booksci.cn Book学术提供免费学术资源搜索服务,方便国内外学者检索中英文文献。致力于提供最便捷和优质的服务体验。 Copyright © 2023 布克学术 All rights reserved.
京ICP备2023020795号-1
ghs 京公网安备 11010802042870号
Book学术文献互助
Book学术文献互助群
群 号:604180095
Book学术官方微信