神经酰胺是预测 SARS-CoV-2 感染并发急性冠状动脉综合征严重程度的潜在新指标

IF 2 4区 生物学 Q4 CELL BIOLOGY
N G Lozhkina, O I Gushchina, N V Basov, E V Gaisler, A D Rogachev, Yu S Sotnikova, Yu V Patrushev, A G Pokrovsky
{"title":"神经酰胺是预测 SARS-CoV-2 感染并发急性冠状动脉综合征严重程度的潜在新指标","authors":"N G Lozhkina, O I Gushchina, N V Basov, E V Gaisler, A D Rogachev, Yu S Sotnikova, Yu V Patrushev, A G Pokrovsky","doi":"10.32607/actanaturae.27400","DOIUrl":null,"url":null,"abstract":"<p><p>Acute coronary events (ACEs) associated with a SARS-CoV-2 infection can significantly differ from classic ACEs. New biomarkers, such as ceramides, may help in the diagnosis and treatment of this disease. This study included 73 ACE patients for whom the SARS-CoV-2 infection was verified. Two subgroups were formed: the favorable outcome subgroup and the fatal outcome subgroup. Plasma samples were collected from all patients at the time of admission for a metabolomic analysis. The analysis of metabolites revealed that the ceramide levels were significantly lower in the fatal outcome subgroup than in the survivor subgroup. Therefore, determining ceramide levels in patients with ACEs in conjunction with COVID-19 may help assess the prognosis of these patients and manage their risks.</p>","PeriodicalId":6989,"journal":{"name":"Acta Naturae","volume":"16 2","pages":"53-60"},"PeriodicalIF":2.0000,"publicationDate":"2024-04-01","publicationTypes":"Journal Article","fieldsOfStudy":null,"isOpenAccess":false,"openAccessPdf":"https://www.ncbi.nlm.nih.gov/pmc/articles/PMC11345093/pdf/","citationCount":"0","resultStr":"{\"title\":\"Ceramides As Potential New Predictors of the Severity of Acute Coronary Syndrome in Conjunction with SARS-CoV-2 Infection.\",\"authors\":\"N G Lozhkina, O I Gushchina, N V Basov, E V Gaisler, A D Rogachev, Yu S Sotnikova, Yu V Patrushev, A G Pokrovsky\",\"doi\":\"10.32607/actanaturae.27400\",\"DOIUrl\":null,\"url\":null,\"abstract\":\"<p><p>Acute coronary events (ACEs) associated with a SARS-CoV-2 infection can significantly differ from classic ACEs. New biomarkers, such as ceramides, may help in the diagnosis and treatment of this disease. This study included 73 ACE patients for whom the SARS-CoV-2 infection was verified. Two subgroups were formed: the favorable outcome subgroup and the fatal outcome subgroup. Plasma samples were collected from all patients at the time of admission for a metabolomic analysis. The analysis of metabolites revealed that the ceramide levels were significantly lower in the fatal outcome subgroup than in the survivor subgroup. Therefore, determining ceramide levels in patients with ACEs in conjunction with COVID-19 may help assess the prognosis of these patients and manage their risks.</p>\",\"PeriodicalId\":6989,\"journal\":{\"name\":\"Acta Naturae\",\"volume\":\"16 2\",\"pages\":\"53-60\"},\"PeriodicalIF\":2.0000,\"publicationDate\":\"2024-04-01\",\"publicationTypes\":\"Journal Article\",\"fieldsOfStudy\":null,\"isOpenAccess\":false,\"openAccessPdf\":\"https://www.ncbi.nlm.nih.gov/pmc/articles/PMC11345093/pdf/\",\"citationCount\":\"0\",\"resultStr\":null,\"platform\":\"Semanticscholar\",\"paperid\":null,\"PeriodicalName\":\"Acta Naturae\",\"FirstCategoryId\":\"99\",\"ListUrlMain\":\"https://doi.org/10.32607/actanaturae.27400\",\"RegionNum\":4,\"RegionCategory\":\"生物学\",\"ArticlePicture\":[],\"TitleCN\":null,\"AbstractTextCN\":null,\"PMCID\":null,\"EPubDate\":\"\",\"PubModel\":\"\",\"JCR\":\"Q4\",\"JCRName\":\"CELL BIOLOGY\",\"Score\":null,\"Total\":0}","platform":"Semanticscholar","paperid":null,"PeriodicalName":"Acta Naturae","FirstCategoryId":"99","ListUrlMain":"https://doi.org/10.32607/actanaturae.27400","RegionNum":4,"RegionCategory":"生物学","ArticlePicture":[],"TitleCN":null,"AbstractTextCN":null,"PMCID":null,"EPubDate":"","PubModel":"","JCR":"Q4","JCRName":"CELL BIOLOGY","Score":null,"Total":0}
引用次数: 0

摘要

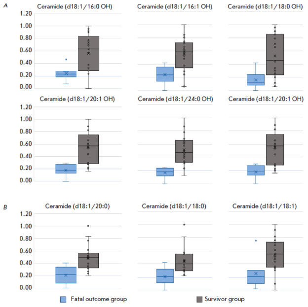
与 SARS-CoV-2 感染相关的急性冠状动脉事件(ACE)与典型的 ACE 有很大不同。神经酰胺等新的生物标志物可能有助于该疾病的诊断和治疗。本研究纳入了 73 例经证实感染了 SARS-CoV-2 的 ACE 患者。分为两个亚组:预后良好亚组和预后不良亚组。所有患者在入院时都采集了血浆样本进行代谢组学分析。代谢物分析结果显示,致命结果亚组的神经酰胺水平明显低于幸存者亚组。因此,结合 COVID-19 测定 ACE 患者的神经酰胺水平有助于评估这些患者的预后和管理他们的风险。
本文章由计算机程序翻译,如有差异,请以英文原文为准。

Ceramides As Potential New Predictors of the Severity of Acute Coronary Syndrome in Conjunction with SARS-CoV-2 Infection.

Ceramides As Potential New Predictors of the Severity of Acute Coronary Syndrome in Conjunction with SARS-CoV-2 Infection.

Acute coronary events (ACEs) associated with a SARS-CoV-2 infection can significantly differ from classic ACEs. New biomarkers, such as ceramides, may help in the diagnosis and treatment of this disease. This study included 73 ACE patients for whom the SARS-CoV-2 infection was verified. Two subgroups were formed: the favorable outcome subgroup and the fatal outcome subgroup. Plasma samples were collected from all patients at the time of admission for a metabolomic analysis. The analysis of metabolites revealed that the ceramide levels were significantly lower in the fatal outcome subgroup than in the survivor subgroup. Therefore, determining ceramide levels in patients with ACEs in conjunction with COVID-19 may help assess the prognosis of these patients and manage their risks.

求助全文
通过发布文献求助,成功后即可免费获取论文全文。 去求助
来源期刊
Acta Naturae
Acta Naturae 农林科学-林学
CiteScore
3.50
自引率
5.00%
发文量
0
审稿时长
>12 weeks
期刊介绍: Acta Naturae is an international journal on life sciences based in Moscow, Russia. Our goal is to present scientific work and discovery in molecular biology, biochemistry, biomedical disciplines and biotechnology. These fields represent the most important priorities for the research and engineering development both in Russia and worldwide. Acta Naturae is also a periodical for those who are curious in various aspects of biotechnological business, innovations in pharmaceutical areas, intellectual property protection and social consequences of scientific progress. The journal publishes analytical industrial surveys focused on the development of different spheres of modern life science and technology. Being a radically new and totally unique journal in Russia, Acta Naturae is useful to both representatives of fundamental research and experts in applied sciences.
×
引用
GB/T 7714-2015
复制
MLA
复制
APA
复制
导出至
BibTeX EndNote RefMan NoteFirst NoteExpress
×
提示
您的信息不完整,为了账户安全,请先补充。
现在去补充
×
提示
您因"违规操作"
具体请查看互助需知
我知道了
×
提示
确定
请完成安全验证×
copy
已复制链接
快去分享给好友吧!
我知道了
右上角分享
点击右上角分享
0
联系我们:info@booksci.cn Book学术提供免费学术资源搜索服务,方便国内外学者检索中英文文献。致力于提供最便捷和优质的服务体验。 Copyright © 2023 布克学术 All rights reserved.
京ICP备2023020795号-1
ghs 京公网安备 11010802042870号
Book学术文献互助
Book学术文献互助群
群 号:604180095
Book学术官方微信