Rosmarinus officinalis L.提取物对三阴性和Luminal A型乳腺癌的抑制潜力

IF 0.8 Q3 MEDICINE, RESEARCH & EXPERIMENTAL
Kamran Eghbalpour, Nahid Eghbalpour, Saideh Khademi, Laleh Arzi
{"title":"Rosmarinus officinalis L.提取物对三阴性和Luminal A型乳腺癌的抑制潜力","authors":"Kamran Eghbalpour, Nahid Eghbalpour, Saideh Khademi, Laleh Arzi","doi":"10.22088/IJMCM.BUMS.13.2.198","DOIUrl":null,"url":null,"abstract":"<p><p>Rosemary is an aromatic plant with ancient and modern applications as a spice and herbal remedy. Due to the strong antioxidant potential of rosemary, the present study investigated the anti-proliferative and pro-apoptotic characteristics of rosemary on luminal A and triple-negative breast cancer cells. The effect of rosemary extract on the WNT10B and β-Catenin genes was also evaluated. The WNT10B and β-Catenin expression were measured by real-time PCR. The outcomes of the MTT assay and AnnexinV/PI flow cytometry assay showed that exposure of MCF-7 and MDA-MB-231 cells to rosemary reduced cell viability in a dose-time-dependent routine and promoted apoptosis in breast cancer cells. It was revealed that the extract could exert cytotoxic and apoptotic effects by downregulation of WNT10B and β-Catenin. Our results suggest rosemary as a promising complementary herbal medicine for breast cancers, without the adverse effects of chemotherapy drugs.</p>","PeriodicalId":14152,"journal":{"name":"International Journal of Molecular and Cellular Medicine","volume":"13 2","pages":"198-209"},"PeriodicalIF":0.8000,"publicationDate":"2024-01-01","publicationTypes":"Journal Article","fieldsOfStudy":null,"isOpenAccess":false,"openAccessPdf":"https://www.ncbi.nlm.nih.gov/pmc/articles/PMC11344568/pdf/","citationCount":"0","resultStr":"{\"title\":\"Suppressive Potential of <i>Rosmarinus officinalis</i> L. Extract against Triple-Negative and Luminal A Breast Cancer.\",\"authors\":\"Kamran Eghbalpour, Nahid Eghbalpour, Saideh Khademi, Laleh Arzi\",\"doi\":\"10.22088/IJMCM.BUMS.13.2.198\",\"DOIUrl\":null,\"url\":null,\"abstract\":\"<p><p>Rosemary is an aromatic plant with ancient and modern applications as a spice and herbal remedy. Due to the strong antioxidant potential of rosemary, the present study investigated the anti-proliferative and pro-apoptotic characteristics of rosemary on luminal A and triple-negative breast cancer cells. The effect of rosemary extract on the WNT10B and β-Catenin genes was also evaluated. The WNT10B and β-Catenin expression were measured by real-time PCR. The outcomes of the MTT assay and AnnexinV/PI flow cytometry assay showed that exposure of MCF-7 and MDA-MB-231 cells to rosemary reduced cell viability in a dose-time-dependent routine and promoted apoptosis in breast cancer cells. It was revealed that the extract could exert cytotoxic and apoptotic effects by downregulation of WNT10B and β-Catenin. Our results suggest rosemary as a promising complementary herbal medicine for breast cancers, without the adverse effects of chemotherapy drugs.</p>\",\"PeriodicalId\":14152,\"journal\":{\"name\":\"International Journal of Molecular and Cellular Medicine\",\"volume\":\"13 2\",\"pages\":\"198-209\"},\"PeriodicalIF\":0.8000,\"publicationDate\":\"2024-01-01\",\"publicationTypes\":\"Journal Article\",\"fieldsOfStudy\":null,\"isOpenAccess\":false,\"openAccessPdf\":\"https://www.ncbi.nlm.nih.gov/pmc/articles/PMC11344568/pdf/\",\"citationCount\":\"0\",\"resultStr\":null,\"platform\":\"Semanticscholar\",\"paperid\":null,\"PeriodicalName\":\"International Journal of Molecular and Cellular Medicine\",\"FirstCategoryId\":\"1085\",\"ListUrlMain\":\"https://doi.org/10.22088/IJMCM.BUMS.13.2.198\",\"RegionNum\":0,\"RegionCategory\":null,\"ArticlePicture\":[],\"TitleCN\":null,\"AbstractTextCN\":null,\"PMCID\":null,\"EPubDate\":\"\",\"PubModel\":\"\",\"JCR\":\"Q3\",\"JCRName\":\"MEDICINE, RESEARCH & EXPERIMENTAL\",\"Score\":null,\"Total\":0}","platform":"Semanticscholar","paperid":null,"PeriodicalName":"International Journal of Molecular and Cellular Medicine","FirstCategoryId":"1085","ListUrlMain":"https://doi.org/10.22088/IJMCM.BUMS.13.2.198","RegionNum":0,"RegionCategory":null,"ArticlePicture":[],"TitleCN":null,"AbstractTextCN":null,"PMCID":null,"EPubDate":"","PubModel":"","JCR":"Q3","JCRName":"MEDICINE, RESEARCH & EXPERIMENTAL","Score":null,"Total":0}
引用次数: 0

摘要

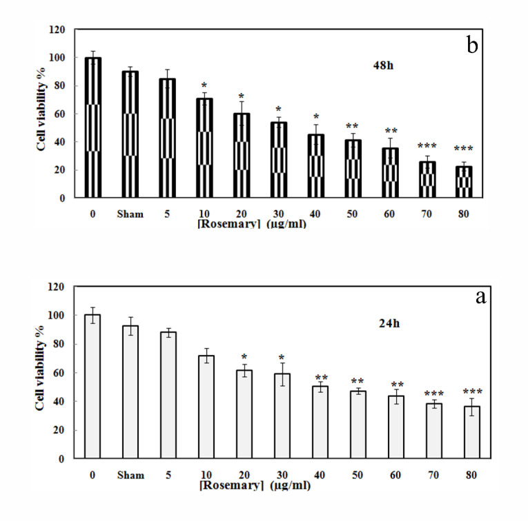
迷迭香是一种芳香植物,古代和现代都被用作香料和草药。由于迷迭香具有很强的抗氧化潜力,本研究调查了迷迭香对腔隙 A 型和三阴性乳腺癌细胞的抗增殖和促凋亡特性。研究还评估了迷迭香提取物对 WNT10B 和 β-Catenin 基因的影响。WNT10B 和 β-Catenin 的表达是通过实时 PCR 检测的。MTT 试验和 AnnexinV/PI 流式细胞术试验的结果表明,MCF-7 和 MDA-MB-231 细胞暴露于迷迭香后,细胞存活率呈剂量-时间依赖性降低,并能促进乳腺癌细胞凋亡。结果表明,迷迭香提取物可通过下调 WNT10B 和 β-Catenin 发挥细胞毒性和凋亡作用。我们的研究结果表明,迷迭香是一种很有前景的治疗乳腺癌的辅助草药,而且不会产生化疗药物的不良反应。
本文章由计算机程序翻译,如有差异,请以英文原文为准。

Suppressive Potential of <i>Rosmarinus officinalis</i> L. Extract against Triple-Negative and Luminal A Breast Cancer.

Suppressive Potential of <i>Rosmarinus officinalis</i> L. Extract against Triple-Negative and Luminal A Breast Cancer.

Suppressive Potential of <i>Rosmarinus officinalis</i> L. Extract against Triple-Negative and Luminal A Breast Cancer.

Suppressive Potential of Rosmarinus officinalis L. Extract against Triple-Negative and Luminal A Breast Cancer.

Rosemary is an aromatic plant with ancient and modern applications as a spice and herbal remedy. Due to the strong antioxidant potential of rosemary, the present study investigated the anti-proliferative and pro-apoptotic characteristics of rosemary on luminal A and triple-negative breast cancer cells. The effect of rosemary extract on the WNT10B and β-Catenin genes was also evaluated. The WNT10B and β-Catenin expression were measured by real-time PCR. The outcomes of the MTT assay and AnnexinV/PI flow cytometry assay showed that exposure of MCF-7 and MDA-MB-231 cells to rosemary reduced cell viability in a dose-time-dependent routine and promoted apoptosis in breast cancer cells. It was revealed that the extract could exert cytotoxic and apoptotic effects by downregulation of WNT10B and β-Catenin. Our results suggest rosemary as a promising complementary herbal medicine for breast cancers, without the adverse effects of chemotherapy drugs.

求助全文
通过发布文献求助,成功后即可免费获取论文全文。 去求助
来源期刊
CiteScore
3.60
自引率
0.00%
发文量
0
期刊介绍: The International Journal of Molecular and Cellular Medicine (IJMCM) is a peer-reviewed, quarterly publication of Cellular and Molecular Biology Research Center (CMBRC), Babol University of Medical Sciences, Babol, Iran. The journal covers all cellular & molecular biology and medicine disciplines such as the genetic basis of disease, biomarker discovery in diagnosis and treatment, genomics and proteomics, bioinformatics, computer applications in human biology, stem cells and tissue engineering, medical biotechnology, nanomedicine, cellular processes related to growth, death and survival, clinical biochemistry, molecular & cellular immunology, molecular and cellular aspects of infectious disease and cancer research. IJMCM is a free access journal. All open access articles published in IJMCM are distributed under the terms of the Creative Commons Attribution CC BY. The journal doesn''t have any submission and article processing charges (APCs).
×
引用
GB/T 7714-2015
复制
MLA
复制
APA
复制
导出至
BibTeX EndNote RefMan NoteFirst NoteExpress
×
提示
您的信息不完整,为了账户安全,请先补充。
现在去补充
×
提示
您因"违规操作"
具体请查看互助需知
我知道了
×
提示
确定
请完成安全验证×
copy
已复制链接
快去分享给好友吧!
我知道了
右上角分享
点击右上角分享
0
联系我们:info@booksci.cn Book学术提供免费学术资源搜索服务,方便国内外学者检索中英文文献。致力于提供最便捷和优质的服务体验。 Copyright © 2023 布克学术 All rights reserved.
京ICP备2023020795号-1
ghs 京公网安备 11010802042870号
Book学术文献互助
Book学术文献互助群
群 号:604180095
Book学术官方微信