1,4-萘醌衍生物的抗真菌潜力、作用机制和毒性。

European journal of microbiology & immunology Pub Date : 2024-08-23 Print Date: 2024-09-11 DOI:10.1556/1886.2024.00072
Juan Diego Ribeiro de Almeida, Raissa Sayumy Kataki Fonseca, Naira Sulany Oliveira de Sousa, Ana Cláudia Alves Cortez, Emerson Silva Lima, Juliana Gomes de Souza Oliveira, Érica Simplício de Souza, Hagen Frickmann, João Vicente Braga de Souza
{"title":"1,4-萘醌衍生物的抗真菌潜力、作用机制和毒性。","authors":"Juan Diego Ribeiro de Almeida, Raissa Sayumy Kataki Fonseca, Naira Sulany Oliveira de Sousa, Ana Cláudia Alves Cortez, Emerson Silva Lima, Juliana Gomes de Souza Oliveira, Érica Simplício de Souza, Hagen Frickmann, João Vicente Braga de Souza","doi":"10.1556/1886.2024.00072","DOIUrl":null,"url":null,"abstract":"<p><strong>Background: </strong>The rising prevalence of fungal infections and challenges such as adverse effects and resistance against existing antifungal agents have driven the exploration of new antifungal substances.</p><p><strong>Methods: </strong>We specifically investigated naphthoquinones, known for their broad biological activities and promising antifungal capabilities. It specifically examined the effects of a particular naphthoquinone on the cellular components of Candida albicans ATCC 60193. The study also assessed cytotoxicity in MRC-5 cells, Artemia salina, and the seeds of tomatoes and arugula.</p><p><strong>Results: </strong>Among four tested naphthoquinones, 2,3-DBNQ (2,3-dibromonaphthalene-1,4-dione) was identified as highly effective, showing potent antifungal activity at concentrations between 1.56 and 6.25 μg mL-1. However, its cytotoxicity in MRC-5 cells (IC50 = 15.44 µM), complete mortality in A. salina at 50 μg mL-1, and significant seed germination inhibition suggest limitations for its clinical use.</p><p><strong>Conclusions: </strong>The findings indicate that primary antifungal mechanism of 2,3-DBNQ might involve disrupting fungal membrane permeability, which leads to increased nucleotide leakage. This insight underscores the need for further research to enhance the selectivity and safety of naphthoquinones for potential therapeutic applications.</p>","PeriodicalId":93998,"journal":{"name":"European journal of microbiology & immunology","volume":" ","pages":"289-295"},"PeriodicalIF":0.0000,"publicationDate":"2024-08-23","publicationTypes":"Journal Article","fieldsOfStudy":null,"isOpenAccess":false,"openAccessPdf":"https://www.ncbi.nlm.nih.gov/pmc/articles/PMC11393642/pdf/","citationCount":"0","resultStr":"{\"title\":\"Antifungal potential, mechanism of action, and toxicity of 1,4-naphthoquinone derivatives.\",\"authors\":\"Juan Diego Ribeiro de Almeida, Raissa Sayumy Kataki Fonseca, Naira Sulany Oliveira de Sousa, Ana Cláudia Alves Cortez, Emerson Silva Lima, Juliana Gomes de Souza Oliveira, Érica Simplício de Souza, Hagen Frickmann, João Vicente Braga de Souza\",\"doi\":\"10.1556/1886.2024.00072\",\"DOIUrl\":null,\"url\":null,\"abstract\":\"<p><strong>Background: </strong>The rising prevalence of fungal infections and challenges such as adverse effects and resistance against existing antifungal agents have driven the exploration of new antifungal substances.</p><p><strong>Methods: </strong>We specifically investigated naphthoquinones, known for their broad biological activities and promising antifungal capabilities. It specifically examined the effects of a particular naphthoquinone on the cellular components of Candida albicans ATCC 60193. The study also assessed cytotoxicity in MRC-5 cells, Artemia salina, and the seeds of tomatoes and arugula.</p><p><strong>Results: </strong>Among four tested naphthoquinones, 2,3-DBNQ (2,3-dibromonaphthalene-1,4-dione) was identified as highly effective, showing potent antifungal activity at concentrations between 1.56 and 6.25 μg mL-1. However, its cytotoxicity in MRC-5 cells (IC50 = 15.44 µM), complete mortality in A. salina at 50 μg mL-1, and significant seed germination inhibition suggest limitations for its clinical use.</p><p><strong>Conclusions: </strong>The findings indicate that primary antifungal mechanism of 2,3-DBNQ might involve disrupting fungal membrane permeability, which leads to increased nucleotide leakage. This insight underscores the need for further research to enhance the selectivity and safety of naphthoquinones for potential therapeutic applications.</p>\",\"PeriodicalId\":93998,\"journal\":{\"name\":\"European journal of microbiology & immunology\",\"volume\":\" \",\"pages\":\"289-295\"},\"PeriodicalIF\":0.0000,\"publicationDate\":\"2024-08-23\",\"publicationTypes\":\"Journal Article\",\"fieldsOfStudy\":null,\"isOpenAccess\":false,\"openAccessPdf\":\"https://www.ncbi.nlm.nih.gov/pmc/articles/PMC11393642/pdf/\",\"citationCount\":\"0\",\"resultStr\":null,\"platform\":\"Semanticscholar\",\"paperid\":null,\"PeriodicalName\":\"European journal of microbiology & immunology\",\"FirstCategoryId\":\"1085\",\"ListUrlMain\":\"https://doi.org/10.1556/1886.2024.00072\",\"RegionNum\":0,\"RegionCategory\":null,\"ArticlePicture\":[],\"TitleCN\":null,\"AbstractTextCN\":null,\"PMCID\":null,\"EPubDate\":\"2024/9/11 0:00:00\",\"PubModel\":\"Print\",\"JCR\":\"\",\"JCRName\":\"\",\"Score\":null,\"Total\":0}","platform":"Semanticscholar","paperid":null,"PeriodicalName":"European journal of microbiology & immunology","FirstCategoryId":"1085","ListUrlMain":"https://doi.org/10.1556/1886.2024.00072","RegionNum":0,"RegionCategory":null,"ArticlePicture":[],"TitleCN":null,"AbstractTextCN":null,"PMCID":null,"EPubDate":"2024/9/11 0:00:00","PubModel":"Print","JCR":"","JCRName":"","Score":null,"Total":0}
引用次数: 0

摘要

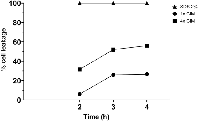
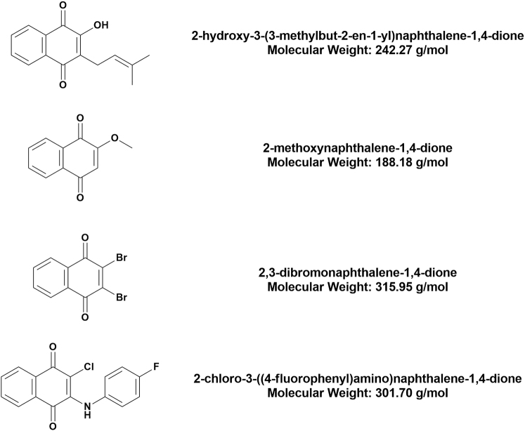
背景:随着真菌感染发病率的上升以及现有抗真菌药物的不良反应和耐药性等挑战,人们开始探索新的抗真菌药物:真菌感染发病率的上升以及现有抗真菌药物的不良反应和耐药性等挑战推动了对新型抗真菌物质的探索:方法:我们特别研究了萘醌类化合物,众所周知,它们具有广泛的生物活性和良好的抗真菌能力。研究特别考察了一种特定萘醌对白念珠菌 ATCC 60193 细胞成分的影响。研究还评估了萘醌对 MRC-5 细胞、盐水蒿、番茄种子和芝麻菜种子的细胞毒性:结果:在四种测试的萘醌类化合物中,2,3-DBNQ(2,3-二溴萘-1,4-二酮)被认为是高效的,在 1.56 至 6.25 μg mL-1 的浓度范围内显示出强大的抗真菌活性。然而,它在 MRC-5 细胞中的细胞毒性(IC50 = 15.44 µM)、在 50 μg mL-1 浓度下对盐藻菌的完全致死性以及对种子萌发的显著抑制作用都表明了其临床应用的局限性:结论:研究结果表明,2,3-DBNQ 的主要抗真菌机制可能是破坏真菌膜的通透性,从而导致核苷酸泄漏增加。这一观点强调了进一步研究的必要性,以提高萘醌类药物在潜在治疗应用中的选择性和安全性。
本文章由计算机程序翻译,如有差异,请以英文原文为准。

Antifungal potential, mechanism of action, and toxicity of 1,4-naphthoquinone derivatives.

Antifungal potential, mechanism of action, and toxicity of 1,4-naphthoquinone derivatives.

Antifungal potential, mechanism of action, and toxicity of 1,4-naphthoquinone derivatives.

Antifungal potential, mechanism of action, and toxicity of 1,4-naphthoquinone derivatives.

Background: The rising prevalence of fungal infections and challenges such as adverse effects and resistance against existing antifungal agents have driven the exploration of new antifungal substances.

Methods: We specifically investigated naphthoquinones, known for their broad biological activities and promising antifungal capabilities. It specifically examined the effects of a particular naphthoquinone on the cellular components of Candida albicans ATCC 60193. The study also assessed cytotoxicity in MRC-5 cells, Artemia salina, and the seeds of tomatoes and arugula.

Results: Among four tested naphthoquinones, 2,3-DBNQ (2,3-dibromonaphthalene-1,4-dione) was identified as highly effective, showing potent antifungal activity at concentrations between 1.56 and 6.25 μg mL-1. However, its cytotoxicity in MRC-5 cells (IC50 = 15.44 µM), complete mortality in A. salina at 50 μg mL-1, and significant seed germination inhibition suggest limitations for its clinical use.

Conclusions: The findings indicate that primary antifungal mechanism of 2,3-DBNQ might involve disrupting fungal membrane permeability, which leads to increased nucleotide leakage. This insight underscores the need for further research to enhance the selectivity and safety of naphthoquinones for potential therapeutic applications.

求助全文
通过发布文献求助,成功后即可免费获取论文全文。 去求助
来源期刊
自引率
0.00%
发文量
0
×
引用
GB/T 7714-2015
复制
MLA
复制
APA
复制
导出至
BibTeX EndNote RefMan NoteFirst NoteExpress
×
提示
您的信息不完整,为了账户安全,请先补充。
现在去补充
×
提示
您因"违规操作"
具体请查看互助需知
我知道了
×
提示
确定
请完成安全验证×
copy
已复制链接
快去分享给好友吧!
我知道了
右上角分享
点击右上角分享
0
联系我们:info@booksci.cn Book学术提供免费学术资源搜索服务,方便国内外学者检索中英文文献。致力于提供最便捷和优质的服务体验。 Copyright © 2023 布克学术 All rights reserved.
京ICP备2023020795号-1
ghs 京公网安备 11010802042870号
Book学术文献互助
Book学术文献互助群
群 号:604180095
Book学术官方微信